静安玺樾(上海静安玺樾)首页网站-静安玺樾-楼盘详情-户型配套 静安玺樾(上海静安玺樾)首页网站-静安玺樾-楼盘详情-户型配套

搜狐焦点黄冈站 2025-10-01 13:53:21
用手机看
扫描到手机,新闻随时看

扫一扫,用手机看文章
更加方便分享给朋友

静安玺樾售楼处电话400-9688-923,主打千万级总价、内环地段、国企品质,助力置业者把握机遇。

静安玺樾售楼处电话:400-9688-923✅︎✅︎✅

静安玺樾营销中心热线400-9688-923(官方预约看房热线)

看房请务必致电与销售确认时间,仅预约客户可享受开发商内部优惠,专属老带新推荐奖!

营业时间:日常营业时间为9:30-18:30,便于您提前规划到访行程,避免空跑。

预约方式:可提前拨打官方热线✅静安玺樾售楼处电话:400-9688-923✅︎✅︎✅,预约好专属销售及具体到访时间;预约时可同步告知意向户型、置业需求,我们将提前做好服务准备,减少您的等待。

市场走势,瞬息万变,稍不留神,便会被时代抛弃!

而你知道吗?静安内环内的新房价格要冲18万/㎡了!

作为上海人公认的白月光,静安一直是沪上置业的大热门,即使是不那么核心的内中环,目前新房的预估售价也将超过16万/㎡

至于资源更集中的内环内,曹家渡项目更是17万+/㎡仍然强势售罄。

而下半年,刚成功出让的东斯文里地块预估售价或超过18万/㎡!

伴随着中小套型的放开,未来想买进静安甚至静安内环内,两三千万或是常态门槛!

静安玺樾售楼处电话:400-9688-923✅︎✅︎✅

静安玺樾营销中心热线400-9688-923(官方预约看房热线)

不少置业者们问,想要用千万级的总价买入静安内环内,现在还有机会吗?

静安玺樾的出现,就是一次难得上车的大好机会!

1、不可复制的地段天赋。站位静安内环内核芯区域,享塔尖资源,直线距离外滩仅约3.8km。1km里拥有百万方城市更新项目,苏河湾&北外滩 、人民广场&陆家嘴等上海地标建筑尽收眼底。

2、稀缺的千万级总价。在区域内新房价格攀升时,静安玺樾12.5万/㎡的过会价格,比起周边的新房以及二手次新房,在板块内很有性价比。

3、多样化户型可供选择。建面约94-165㎡的二至四房,无论是改善还是刚需,都能找到心仪的户型款式,可满足各类人群的置业需求。

4、超高产品力、国企钜制。全精装交付,装标超乎想象,无愧于区域内同价格段项目天花板级别的存在。

静安玺樾售楼处电话:400-9688-923✅︎✅︎✅

静安玺樾营销中心热线400-9688-923(官方预约看房热线)

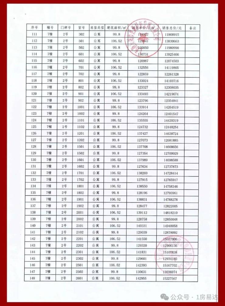
【静安玺樾】三期开盘在即!

推售建面约97-106m²2-3房

过会均价124191元/m²,945万起

加推2#、7#楼计165套房源

计划于9月17日开盘

前期少量建面约94-102-134-165㎡2-4房

过会均价125777元/m²,总价982万起

静安玺樾售楼处电话:400-9688-923✅︎✅︎✅

静安玺樾营销中心热线400-9688-923(官方预约看房热线)

户型图赏鉴

建面约98㎡宽阔两房,非常适合单身或是年轻的小家庭置业。其得房率最高约79%,相较于市面上大多70-75%的项目,实实在在地省下了不少空间的置业成本!

更大的亮点还在项目不回避自身的“抗性”,将实体样板间做在了邻近高架的3号楼,优越的隔音效果与日常居住的静谧程度是置业者可以亲自感受到的。

第一个亮点,室内软装是邀请梁志天大师团队进行设计的,分为两大主题,预设家庭生活场景,围绕家庭成员的居住方式,加载健身、书房、茶室、养宠等功能,展现生活的精致感与摩登感。

第二个亮点,动静分离+客餐厅一体化设计,功能区和休息区互不干扰,客餐厅、厨房等公共活动区集中在一侧,卧室等休息区全部一侧,保证了私密性!

静安玺樾售楼处电话:400-9688-923✅︎✅︎✅

静安玺樾营销中心热线400-9688-923(官方预约看房热线)

第三个亮点,是尺度感!得益于高得房率,客餐厅朝南面宽大,衔接宽阔大阳台,而且像两间卧室都能轻松放下双人床,尤其是对于单身或两口之家,次卧完全可以成为X空间,工作室、电竞房、书房等尽可创意想象!

第四个亮点,是南向主卧套房设计,不仅能放得下2*1.8米双人床,且还能保留约1米的过道;同时带独立卫生间和大飘窗,增强私密性。

静安玺樾售楼处电话:400-9688-923✅︎✅︎✅

静安玺樾营销中心热线400-9688-923(官方预约看房热线)

104㎡3户型特点:该户型多为楼栋的东边套,是一个观景户型。客厅连接270°阳台,视野出众。双卧朝南,阳光满溢。从次卫布局看,如果家庭人口较少,该户型还能做成双套卧。

此外,还具有独立储藏间,非常难得。该户型比较适合三口之家或三代同堂居住。

建面约103㎡3房2卫

该户型适合三口之家或年轻家庭居住的动静分区户型,厨房、餐厅、客厅及阳台一体化设计,动静完全分区设计,相当人性化。

主卧套房设计满满尊崇感,次卫三分离干湿分区设计,考量十分贴心。

静安玺樾售楼处电话:400-9688-923✅︎✅︎✅

静安玺樾营销中心热线400-9688-923(官方预约看房热线)

建面约103㎡2+1房2卫

该户型的精髓是“+1”的灵动空间,可随着家庭结构和需求随心个性定制,书房、学习区、游戏区,女王化妆间等。

若维持两房,你将拥双开间大横厅设计及宽景阳台。同时,次卫设计取巧,可以做成套卧,那就是双套房。

值得一提,主卧套房空间阔绰,刚需面积改善的尺度,摆两个床头柜和衣柜空间都绰绰有余,床尾即使再放置柜子也不影响过道通行。

静安玺樾售楼处电话:400-9688-923✅︎✅︎✅

静安玺樾营销中心热线400-9688-923(官方预约看房热线)

全球奢装品牌领衔,装修豪华。

项目装修配置堪称豪华,空调、地暖为大金或三菱重工(或同档次其它品牌),热水器选用瑞美或能率(或同档次其它品牌);新风为霍尼韦尔或大金(或同档次其它品牌)。

厨电5件套(油烟机、三眼燃气灶、洗碗机、烤箱、冰箱)均为美诺或斯麦格(或同档次其它品牌);水槽和龙头采用铂浪高或弗兰卡(或同档次其它品牌)。同时配置三玻两腔隔音降噪玻璃。

项目样板间实景图

静安玺樾售楼处电话:400-9688-923✅︎✅︎✅

静安玺樾营销中心热线400-9688-923(官方预约看房热线)

项目信息

洪南山宅240街坊也曾经是老闸北区著名的棚户区,该街坊于2019年年初启动征收。洪南山宅240街坊项目开辟了市区联手、两级联动的融资新模式。

静安玺樾售楼处电话:400-9688-923✅︎✅︎✅

静安玺樾营销中心热线400-9688-923(官方预约看房热线)

效果示意图

四至范围:东至302a-05、302a-06地块、南至中华新路、302a-12地块,西至共和新路(南北高架)、302a-07、302a-11地块,北至南山路、302a-03地块。

静安玺樾售楼处电话:400-9688-923✅︎✅︎✅

静安玺樾营销中心热线400-9688-923(官方预约看房热线)

根据出让合同显示,规划用地面积31352.4平方米,地上计容面积为95624.82平方米,容积率为3.05,地块限高100米。该地块将新增926套住宅。

静安玺樾售楼处电话:400-9688-923✅︎✅︎✅

静安玺樾营销中心热线400-9688-923(官方预约看房热线)

根据设计方案显示,该地块共规划了7幢层高在15-33层不等的高层,其中1号楼19,2号楼27层(局部24层),3号楼15层,4号楼33层,5号楼17层,6号楼为30层(局部20层),7号楼30层。

而北侧靠近南山路一侧还规划一幢最高6层的养老设施用房。在小区南北两侧的中华新路和南山路分别设有机动车出入口。

静安玺樾售楼处电话:400-9688-923✅︎✅︎✅

静安玺樾营销中心热线400-9688-923(官方预约看房热线)

静安玺樾售楼处电话:400-9688-923✅︎✅︎✅

静安玺樾营销中心热线400-9688-923(官方预约看房热线)

「静安玺樾」不仅拥有近约10w方规模的完整社区空间,还通过景观花园、泛会所等空间打造出满足儿童玩乐、家人休闲锻炼、社交会客的全年龄人群需求的豪宅优等社区。

静安玺樾售楼处电话:400-9688-923✅︎✅︎✅

静安玺樾营销中心热线400-9688-923(官方预约看房热线)

项目园林由业界知名的奥雅设计操刀设计,打造了一个”翡光礼境“景观社区。

规划了“翡色五境”五大空间氛围,匠造融入时光、人文海派、自然与艺术、家庭与邻里的“四轴、三园、五区、一所”四大功能空间。

设计了“春赏花、夏赏绿、秋赏叶、冬赏姿”四季有景的长效花园,呈现四季景观皆不同的诗意雅致生活氛围。

静安玺樾售楼处电话:400-9688-923✅︎✅︎✅

静安玺樾营销中心热线400-9688-923(官方预约看房热线)

翡色五境社区氛围

翡廊境:尊享连廊的归家体验

翡林境:绿荫包裹的林下漫步

翡溪境:舒适惬意的绿意溪径

翡湾境:放空归静的心灵港湾

翡屿境:欢乐温馨的家庭氛围

社区景观打造上还考虑了空间的功能丰富性,打造了三大花园空间:中心港湾花园、水溪花园,西入口归家花园,实现社区内各区域景观不同的丰富视觉盛宴~

林下空间用于会客、洽谈、休憩使用,零距离接触自然景观,惬意万分~

五大运动活力系统

精心设计的环绕社区的400m跑道系统串联热身区、定制主题儿童活动区、老年健身区、活力健身区和休憩缓冲区五大运动活力系统,家人在社区内锻炼身体的祥和画面呼之欲出。

静安玺樾售楼处电话:400-9688-923✅︎✅︎✅

静安玺樾营销中心热线400-9688-923(官方预约看房热线)

户外定制化主题儿童区+架空层泛会所构成双儿童系统,以“秘境童话专列”的火车主题串联儿童活动空间,兼顾全年龄儿童不同游玩体验。

更有贴心细节设计:儿童活动区和老年健身区的器械均考虑防磕碰设计,地面均采用塑胶,以防磕碰受伤。

架空层位于5#楼王位置楼栋,用作泛会所空间,为孩子提供不受天气影响的社区活动空间,实属优秀~

静安玺樾售楼处电话:400-9688-923✅︎✅︎✅

静安玺樾营销中心热线400-9688-923(官方预约看房热线)

与常规社区的三重归家礼序不同的是,「静安玺樾」创造出升级版“四轴”归家体系:气派入口门楼,精致艺术的归家廊厅,全区花园式入户以及仪式水系轴线空间。让你从社区大门开始就能感受到身为业主的尊崇感~

静安玺樾售楼处电话:400-9688-923✅︎✅︎✅

静安玺樾营销中心热线400-9688-923(官方预约看房热线)

更值得一提的是,「静安玺樾」还设计了更加人性化的室内通行归家路线,更优于社区风雨连廊的设计,业主从南入口保安亭后方的电梯厅可以直达设计了采光排风井的B1层归家,不走地面社区道路就能免受风吹日晒,安全归家。

海派风格外立面+超低能耗住宅

建筑立面采用新海派风格,采用天然石材+真石漆+铝板设计打造,细节精致,线条流畅,优雅大气质感浑然天成。

静安玺樾售楼处电话:400-9688-923✅︎✅︎✅

静安玺樾营销中心热线400-9688-923(官方预约看房热线)

与传统住宅截然不同的是,「静安玺樾」不惜成本打造了超低能耗住宅产品,将为业主带来一个四季如春的空间,享受到更加静谧的居住环境、更清新健康的空气、更安全的居住环境,还能降低更多的能耗!

静安玺樾售楼处电话:400-9688-923✅︎✅︎✅

静安玺樾营销中心热线400-9688-923(官方预约看房热线)

从超一线装标到五星级地库,豪宅品质贯彻始终!

从装标上看,「静安玺樾」在装修标准上是下了功夫的,甚至可以说是“不惜成本”,超一线装标完全称得上“高配低价”这四个字!

中央空调、地暖、新风都是标配,室内厨卫都采用了国际一线品牌,让居住变得更为舒适的同时给足业主体验感和尊崇感。

静安玺樾售楼处电话:400-9688-923✅︎✅︎✅

静安玺樾营销中心热线400-9688-923(官方预约看房热线)

尤其让人惊艳的还有项目豪掷重金为业主打造的五星级地库!

项目车库采用贯穿式鱼尾灯坡道和超耐磨地坪,过道全部采用精装吊顶,地下管道和局部区域进行二次包裹!尤其惊艳的是项目的豪华车马厅,采用水磨石、水晶漆、铝饰面、大板砖、立柱石材包边、门禁系统三合一!

如此用心着力只为给所有业主营造出独属的尊崇归家礼仪!

静安玺樾售楼处电话:400-9688-923✅︎✅︎✅

静安玺樾营销中心热线400-9688-923(官方预约看房热线)

物业服务方面,有万科物业保驾护航!

万科物业,相信不用多说,全国一级物业资质,连续多年蝉联全国物业排名第一!

作为国内第一家通过ISO9002国际质量管理体系认证的物业管理企业,屡获殊荣。

万科物业进驻上海31年!多年口碑积攒下好评如潮,被业内誉为“最懂上海的物业”!

此次进驻「静安玺樾」,万科物业除了将为社区提供优质服务外,并将额外定制提供增值服务,包括:

更整洁的社区:12小时的保洁+夜间值班保洁;

更省心的居家:每年一次空调清洗,每三年一次地暖保养;

更历久弥新的建筑:每年一次外墙清洗。

生活配套

交通方面:项目直线距离8号线中兴路站直线约580米,1号线中山北路站直线约800米,距离3/4号线宝山路站约1.4公里,自驾方面,可以通过南北高架、内环高架通往市区,也可通过内环到达市区各个方向。

商业方面:项目周边配套成熟,购物便利,大型商业2公里内还有静安大悦城、万象天地、大宁永光、大宁国际等高端商业配套,周边还有规划中的百万方中兴城商业综合体。

静安玺樾售楼处电话:400-9688-923✅︎✅︎✅

静安玺樾营销中心热线400-9688-923(官方预约看房热线)

静安大悦城

教育方面:闸北区三中心小学、永兴路第二小学、青云中学、市北初级中学等。(新房不承诺对口学校,具体以实际为准)

市北初级中学

静安玺樾售楼处电话:400-9688-923✅︎✅︎✅

静安玺樾营销中心热线400-9688-923(官方预约看房热线)

医疗方面:三甲医院环伺,为您和家人的健康保驾护航。项目周边有上海第十人民医院分院、上海市中医医院、上海市第一人民医院、上海第十人民医院、同济大学附属口腔医院等等。

生态休闲:在市区寸土寸金的环境下,周边还有芷江绿地、中兴公园等。

静安玺樾售楼处电话:400-9688-923✅︎✅︎✅

静安玺樾营销中心热线400-9688-923(官方预约看房热线)

嘉兴旅游必去十大景点

嘉兴,这座美丽的江南水乡,拥有许多令人心驰神往的旅游景点。如果你计划来嘉兴旅游,不妨看看这份攻略,带你玩转嘉兴的十大必去景点!

1、南湖:是嘉兴的标志性景点之一,南湖红船起航地。红船就停泊在南湖湖心岛。1921年,在国家内忧外患、民族危难的时刻,中国共产党第一次全国代表大会在上海开幕,最后一天的会议转移到浙江嘉兴南湖的游船上举行,这里也便成为一处红色教育基地。

如今,南湖湖面碧波荡漾,游船穿梭其间。登上湖心岛,可以俯瞰整个南湖的美景。

2、乌镇:乌镇古镇,历史文化名镇,文学巨匠茅盾的故乡。镇上河道密布,水街相依,临河人家的吊脚水阁楼是乌镇特有的。主要景点有茅盾故居、双桥、木雕陈列馆、昭明太子读书处、修真观戏台、朱家厅。

3、西塘古镇:相比乌镇,西塘更显得宁静和秀美。走在青石板路上,欣赏着白墙黛瓦的民居,感受这里的慢时光。

西塘古镇是江南六大古镇之一。沿河行道盖的廊棚,旧宅间狭窄幽深的石板弄,跨河的古旧拱桥,是西塘的特色。值得细看的景点还有送子来凤桥、种福堂、西园、薛宅等。

4、钱江潮:与亚马逊潮、恒河潮并列为世界三大强涌潮,而钱江潮是唯一穿城而过的涌潮。潮从海上来与钱塘江在在海宁相遇,潮头陡立,惊险而壮观的钱江潮就这样奔涌而来。

每年农历八月十五,钱塘江涌潮最大,潮头可达数米。平常日子里农历月初与月中皆有大潮可观。距杭州50公里的海宁盐官观潮景区是观潮最佳处。大潮分交叉潮、一线潮、回头潮等。

来此,除了观潮,海宁盐官古城保存了大量的古代建筑和文化遗产。游览古城,了解海宁的历史文化也是不错的选择。

5、月河老街:是嘉兴市市区现存最完整、规模最大、最能反映江南水乡城市居住特色和文化特色的区域之一。

月河老街保留了明清时期的建筑风貌,漫步在古色古香的街道上,仿佛穿越到了古代。

6、嘉兴博物馆:了解嘉兴的历史文化,来嘉兴博物馆准没错。这里收藏了大量的历史文物,让人对嘉兴的历史有更深入的了解。

7、绮园:位于嘉兴市海盐县武原镇,它始建于1870年,原为“冯氏花园”,为江南典型私家园林风格。后几经修建,建成绮园。

绮园的造园艺术及园内的古树名木均有重大价值,造园风格上兼收苏州、扬州、杭州园林三种风格之长,整个园林妙用了‘水随山转,山因水活’的叠山理水园论,以树木山池为主,建筑仅略做点缀。

绮园不仅是1987年版电视剧《红楼梦》的取景地,还是中国十大园林之一,与圆明园、颐和园、寄畅园等齐名。

8、海盐南北湖:是钱塘江口的一个潟湖,它集山、海、湖于一体。湖形曲折,湖中鲍堤横贯东西,将湖分为北湖、南湖。北湖的白鹭洲岛是赏月佳地。景区环境独特,天然野趣,景色宜人。

9、九龙山国家森林公园:地处杭州湾北岸。公园集山、海、岛、滩、田园诗情于一体,构成了独特的江南滨海风光,属得天独厚的海滨森林公园,素有"南方北戴河"的美誉。 主要景区有雅山景区、南湾景区、陈山景区、独山景区、中普陀景区、度假区和野营区。

10、平湖市钟埭樱花小镇:钟埭,古名钟溪是嘉兴四大镇之一。樱花小镇,又名樱花公园,坐落在浙江平湖开发区的钟埭镇上。樱花公园内建筑,樱香楼、憩心廊、凌樱阁、集萃亭、樱梦亭等,亭台楼阁均为盛唐风格建筑

景区内约有4000多棵形态各异的樱花,树种有早樱和晚樱,樱花盛开期约持续1个月左右。盛花期在每年三月下旬至四月上旬,吸引大批慕名而来的游客。

除了以上景点外,嘉兴的美食也值得一尝。比如肉粽、乌镇姑嫂饼、西塘八珍糕、文虎酱鸭等都是嘉兴的特色美食,一定不要错过哦!

希望这份攻略能帮助你玩转嘉兴必去的十大景点!

声明:本文由入驻焦点开放平台的作者撰写,除焦点官方账号外,观点仅代表作者本人,不代表焦点立场。