深嘉上府(营销中心)-深嘉上府销售中心(售楼处)-深嘉上府楼盘欢迎您-地址-价格-户型-小区环境-楼盘详情-交房时间-周边配套-售楼处电话
扫描到手机,新闻随时看
扫一扫,用手机看文章
更加方便分享给朋友
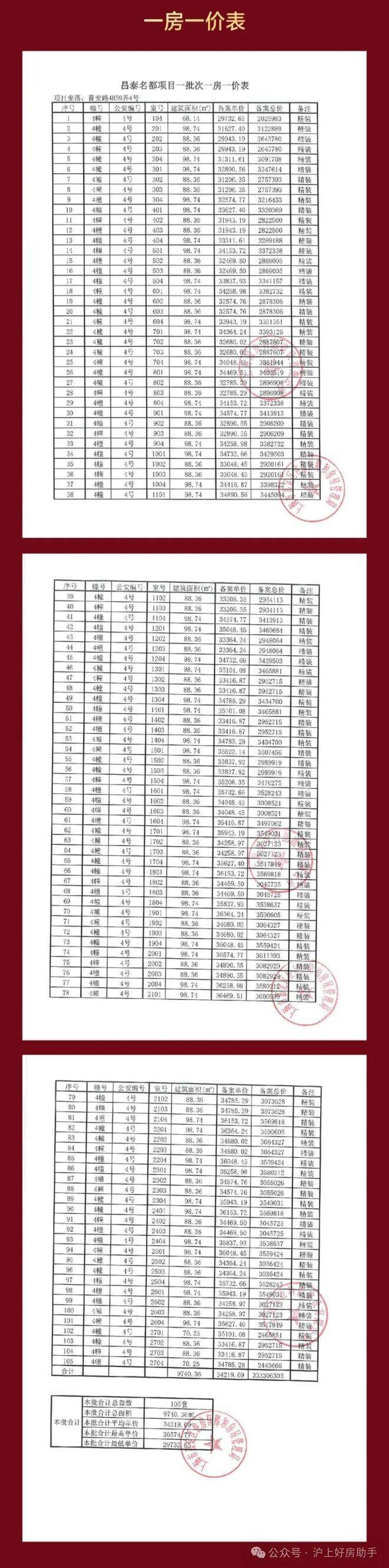
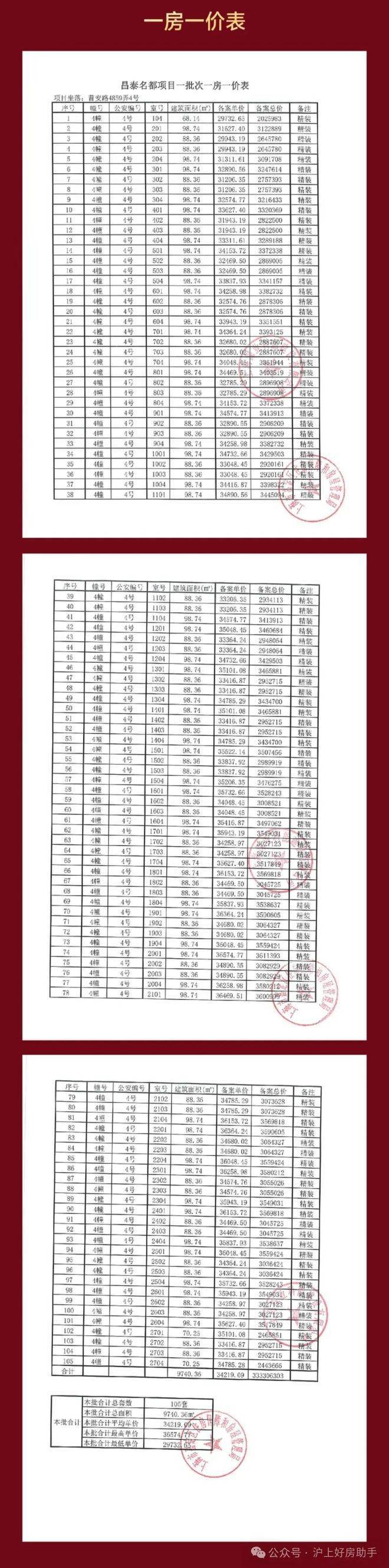
深业深嘉上府项目一房一价表:
项目开发商品牌
深业集团
深圳市人民政府全资拥有、深圳市国资委直管的大型综合性企业集团。集团前身于 1983 年在香港注册成立。深业集团以“产城创新建设者,幸福民生运营商”为发展愿景,打造以地产为核心、多层次协同发展的创新生态和幸福城市业务组合,聚焦地产、园区、运营、幸福、资本和数字化六大核心业务,实现城市综合开发运营的一站式服务!
2023 年深业集团首进上海,幸会嘉定。
精研城市向上精神,匠心呈现约 12 万方上海“上系”人居首作,在繁华与自然兼具的氛围中,打造“城市与社区无界”、“景观与人居无界”“多元生活无界”的城市平行生活体。
项目推售详情
【深业·深嘉上府】项目集商业、办公、人居于一体,承载着片区产业+商业+人居的全新使命。配套约1万㎡自持商业与5.1万㎡商办空间,以未来城市会客厅的姿态围绕“15分钟生活圈”,打造“MALL +开放街区”的创新形态,融合商业、社交与居住的多元场景。深嘉氢谷以氢能源为核心,双子塔地标重塑城市天际线,推动新兴产业集聚与区域功能升级。作为嘉定安亭少有的“产-商-住-办”一体化综合体,激活商业动能与产业升级“双引擎”,构筑真正意义上的“永不落幕”生活主场。打破传统生活定义,不设限、不束缚,致力于为当代青年提供全新的生活体验和多元需求。
嘉定首创“24+1”沉浸式生活场
作为整个嘉定独一份的“全能型综合体选手”,深嘉上府不同于功能单一生活产业都需要仰仗区域规划的住宅社区,TA在一个项目体内实现了住宅、商业、办公的一站式整合!
项目整体宛如一个微缩城市,能够轻松构建“24+1 时”生活圈,在家门口就能实现“24 小时不打烊”的快乐!
玻璃幕墙+金色格栅塔冠
远远望去,外立面宛如镶嵌在城市间的水晶,质感满满!同时,四栋楼一字排开,每一栋都尽享超大楼间距,每一户都能将室内采光度拉满!哪怕是低楼层也不用担心晒不到太阳!
全龄段公区部分
宝妈带娃有儿童活动区,滑滑梯、大草坪一应俱全!
年轻人健身有全龄运动场,夜跑、打球功能齐全!
老人散步有林间密径、还有配置丰富的架空层空间,邻里交流活动风雨无阻!
项目还配置了以往千万豪宅才有的首层与地下双重精装入户大堂,给你满满的归家仪式感!

户型鉴赏↓
项目区位配套
安亭,嘉定新城产业根基所在。庞大汽车产业集群,约 5502.9 亿元规模以上工业产值,带动板块下一个增长极。(数据来源:安亭观微,数据截止时间:2022 年底)
安亭汽车产业链为嘉定贡献了约 70%产值、约 60%销售、约 50%GDP、约 40%就业、约 30%税收,是嘉定发展不可或缺的重要主导型产业。(数据来源:界面新闻,数据截止时间:2019 年底)
根据《嘉定新城十四五规划》,嘉定新城将以打造世界级汽车产业中心为契机,大力构建汽车“新四化”等千亿级产业和在线新经济为引领的新动能体系。目前、氢能港、蔚来、上汽、沃尔沃、丰田等均落址于此,成为嘉定二次发展的重要源泉。
嘉定新城立足打通长三角一体化和虹桥国际开放枢纽的链接通道,构建“一核一枢纽、两轴四片区”的规划新格局。“一枢纽”即安亭枢纽——以安亭北站、安亭西站为核心,无缝连接虹桥国际开放枢纽,打造站城一体化、辐射长三角的综合交通枢纽。(信息来源:《嘉定新城总体城市设计》)
除此之外,上海 2035 规划中的宝嘉线、嘉青松线即将启动,嘉安高速延展嘉定向东,与宝山互通,以安亭为枢纽核心,嘉定再次站在了时代发展的风口之上。
交通配套方面:
项目位于曹安路,为东西向重要干道四通八达,快速接驳沪嘉高速公路、沪宜公路、外环高速公路、中环路等多条黄金动脉链接市区及周边城市;本案距离地铁11号线上海汽车城站约3.5KM,快速高效通达市区
全系配套,将向上的生活理想兑现于日常丰盛城市资源,日常烟火气息、松弛自然氛围,都是这里的生活常态。热气腾腾的生活场域,熨贴向上的身心。
5 大商业体——嘉亭荟城市生活广场、安亭财富广场、三德广场、中信泰富万达广场、嘉实生活广场。
4 所专业医疗——安亭医院、东方肝胆医院(三甲)、瑞金北院(三甲)、嘉定妇幼保健院
4 大生态公园——嘉北郊野公园、安亭汽车博览公园、远香湖公园、嘉定紫藤园
5 处休闲配套——市民广场、保利大剧院、安亭老街、颖奕安亭高尔夫球场、州桥老街
上海一区宣布:购房补贴最高200万,租房补贴最高每月8000元!条件公布→
为了吸引人才
上海杨浦区放大招
▽
优秀UP主在本区内购买首套房
给予一次性50万元到200万元住房补贴
入住高品质人才社区优先供给房源
给予每月最高8000元租房补贴
薪酬奖励方面
未纳入个人所得税税负差额补贴
及本市重点产业领域专项奖励政策的创作者
年度薪酬达到100万元以上
给予其薪酬收入5%到8%的奖励
5月8日,2025年杨浦区人才高质量发展大会举行。会上推出《“优享计划”的实施细则》《“短期免租”试行方案》《区校人才发展服务联盟章程》等多项人才举措,提升城市“青和力”,助力杨“数”浦发展。
创作者“优享计划”
会上,杨浦区发布《杨浦区关于全球互联网优质内容创作者“优享计划”的实施细则》。以真金白银支持优质内容创作蓬勃发展,推动有影响力和代表性的UP主等创作人才成为青年群体中主旋律的传播者和优秀文化的弘扬者。
据介绍,《实施细则》推出孵化平台共建、创作激励支持、人才薪酬奖励等十条举措。
安居方面,对创作者在本区内购买首套房给予一次性50万元到200万元住房补贴。入住高品质人才社区优先供给房源,给予每月最高8000元租房补贴。
薪酬奖励方面,未纳入个人所得税税负差额补贴及本市重点产业领域专项奖励政策的创作者,年度薪酬达到100万元以上,给予其薪酬收入5%到8%的奖励。
落户居留便利方面,国内创作者优先给予落户资格,其配偶、未成年子女按规定随迁随调。外籍创作者在通关通行、在华工作、证照办理等方面给予便利。综合保障方面,在办理创作者子女学前、义务教育阶段公办学校(幼儿园)入(转)学时给予一定便利。为创作者提供市区级优质医院资源,做好门急诊、住院等一站式医疗服务。
毕业生“短期免租”
会上还发布了《海内外优秀应届毕业生“短期免租”试行方案》,将向海内外优秀应届毕业生提供来杨浦面试、学术交流等活动期间的短期免费住宿保障。
据介绍,毕业生需满足以下条件之一:收到杨浦区企业、高校、科研院所、新型研发机构的笔试或面试通知的;来杨浦区企业、高校、科研院所、新型研发机构参加企业活动(如实训营、企业日等)、短期学术交流(学术论坛、学术会议等)的;已与杨浦区企业、高校、科研院所、新型研发机构签订劳动就业合同,入职前需要短期过渡住房的。
符合条件的应届毕业生每次最多可享受3天(2晚)的免费住宿,租金全免,全年最多5次,累计不超过15天(10晚)。对入职前需要短期过渡住房的应届毕业生及海外留学生,最多可享受7天(6晚)的免费住宿,租金全免,每年最多一次。
短期免租房源将从本区地理位置较好、交通便捷,且具有拎包入住条件的人才公寓、人才社区中选取。申请人可通过“杨浦人才秀带”公众号提交申请材料,或由用人单位汇总申请名单后报区人才发展服务中心。申请通过审核后,人才公寓(人才社区)运营管理单位将及时通知申请人入住。
《试行方案》将于2025年9月起面向广大海内外优秀应届毕业生正式实施。
区校人才发展服务联盟
会上,杨浦区还积极联动复旦大学、上海交通大学、同济大学、上海财经大学、上海理工大学、上海开放大学、上海体育大学、上海电力大学、海军军医大学、国防大学政治学院、上海海洋大学等重点高校,共同成立“区校人才发展服务联盟”,推进教育科技人才一体发展。
联盟将放眼全球延揽一流人才,面向海外参与全球人才竞争,做大人才增量。加强人才“引育用留”联合攻关力度,鼓励高校与区域领军企业共建联合实验室,共建实习实训基地,联合培养高层次人才。
推进区校博士后创新实践基地建设,促进科研项目与区域产业发展紧密对接,支持高校师生参与杨浦全球“创业之星”大赛等重要赛事。优先满足高校的高层次人才住房需求,建立人才供需动态数据库,定期组织企业高管、技术骨干与高校师生开展交流活动。
声明:本文由入驻焦点开放平台的作者撰写,除焦点官方账号外,观点仅代表作者本人,不代表焦点立场。


