招商臻境官方售楼处电话→招商臻境售楼中心电话→2025年招商臻境楼盘百科→首页网站→楼盘测评→售楼中心电话→楼盘百科→24小时热线电话
扫描到手机,新闻随时看
扫一扫,用手机看文章
更加方便分享给朋友


High-end luxury residences can serve as investment products
高档豪华住宅可成为投资品
Cracking down on real estate speculation and restricting investment behavior are the main focuses of decision-makers' regulation. However, scholars believe that in the future, high-end luxury residences can be used as investment housing.
打击房地产投机,限制投资行为是决策者调控的主要着力点,但学者认为未来,高档豪华住宅可以作为投资性住房。
On December 7, 2011, at the "Third China Real Estate Forum and 2011 China Real Estate Annual Red List", the impact of the large-scale construction of affordable housing on the market was reflected in the fact that ordinary residential properties, including affordable housing and small and medium-sized ordinary commercial housing, will gradually be de-invested and return to their use value, forming a cost-driven price. This has also become a consensus.
2011年12月7日,在“第三届地产中国论坛暨2011中国房地产年度红榜”上,保障房的大规模建设对市场的影响,表现在包括保障房住房、中小户型普通商品房在内的普通住宅将慢慢去投资化,向使用价值回归,形成以成本主导的价格,这也已形成共识。
He pointed out that based on the experience of European and American countries, the prices of ordinary residences do not deviate too much from the cost. However, currently, housing prices in China are far higher than the cost. To ensure the housing rights of the common people, "even investment is no longer necessary."
他指出,欧美国家的经验看,普通住宅价格不会偏离成本太多,但目前国内住房价格远高于成本,为了保证老百姓住房权利,“连投资这块也觉得不需要了”。
He believes that appropriate investment behavior should still be maintained, and a large number of apartments and high-end luxury residences can be used as investment housing. "Even in the residential market, there should be an internal relationship of coordinated development."
他认为,适当的投资行为仍应保留,大量公寓、高档豪华住宅可以作为投资性的住房,“即使是住宅市场,也应该有一个协调发展的内部关系”。
In addition, enterprises engaged in the production of ordinary residential properties need to adjust their mindset. "It is no longer easy to find the high profit models of the past."
此外,做普通住宅的企业要调整好心态,“再难寻找过去高的利润模式了”。

招商臻境售楼处电话: 400-9939-964招商臻境官方电话: 400-9939-964招商臻境官方售楼处已认证✅︎✅︎✅招商臻境售楼处电话: 400-9939-964招商臻境官方电话: 400-9939-964招商臻境官方售楼处已认证✅︎✅︎招商臻境售楼处电话:400-993-9964招商臻境官方电话:400-993-9964
上海浦东招商臻境售楼处电话:400-993-9964...
招商臻境售楼处电话:400-993-9964招商臻境官方电话:400-993-9964
Shanghai Pudong Zhaoshang Zhenjing Sales Office phone number: 400-993-9964...
上海浦东招商臻境售楼处电话:400-993-9964...
TOP choice for improvement in the Sanlin area of Pudong
浦东三林板块 改善TOP选择
It's about 5 kilometers in a straight line from Qiantan, with a swimming pool and a clubhouse
距前滩直线约5km+泳池+会所
"Zhaoshang Zhenjing" is now available for subscription!
「招商臻境」加推待认购!
There are 96 high-rise and superimposed units with a construction area of approximately 84 to 148 square meters
96套建面约84-148㎡高层&叠加
Luxurious swimming pool club with a light-chasing luxury stone basement
豪华泳池会所 追光式奢石地库
The average price approved on July 12th was 68,668 yuan per square meter
7月12日已过会均价68668元/㎡
Online reservations at the sales office are now in full swing!
售楼处线上火热预约中!
The sales office phone number of China Merchants Zhenjing is 400-993-9964. The official phone number of China Merchants Zhenjing is 400-993-9964
招商臻境售楼处电话:400-993-9964招商臻境官方电话:400-993-9964
上海浦东招商臻境售楼处电话:400-993-9964...

招商臻境售楼处电话:400-993-9964招商臻境官方电话:400-993-9964
Shanghai Pudong Zhaoshang Zhenjing Sales Office phone number: 400-993-9964...
上海浦东招商臻境售楼处电话:400-993-9964...
On October 11, 2023, on the first day of the third round of land auctions in Shanghai, China Merchants Bank successfully sold the project plot at a total price of 7,386,260,000 yuan.
2023年10月11日,上海第三轮土拍首日中,招商以总价738626万元成交该项目地块。
The outer block of Sanlin Ring is adjacent to Pudong Sanlin Software Park and China Telecom Park. It is bordered by Pujin to the west, Kangqiao to the east and Zhoupu to the south. The linked price is 70,000 yuan per square meter, which is higher than the 66,000 yuan per square meter of the new Kangqiao house Hai Shang Xi Yun nearby.
三林环外地块紧邻浦东三林软件园和中国电信园区,西面浦锦、东面康桥,南面周浦,联动价7万/㎡,高于周边的康桥新房海上溪云的6.6万/㎡。

招商臻境售楼处电话:400-993-9964招商臻境官方电话:400-993-9964
Shanghai Pudong Zhaoshang Zhenjing Sales Office phone number: 400-993-9964...
上海浦东招商臻境售楼处电话:400-993-9964...
This area has been out of supply for a long time, and the demand has not been released. It is expected to be a hot property.
这个区域断供很久了,需求一直得不到释放,预计会是个热盘。
The first Zhenjing exhibition hall of China Merchants Shekou in Shanghai, located in the South Sanlin area of Qiantan, the golden Middle Ring Road, is only about 5 kilometers away from Qiantan in a straight line. It has been opened!
择址黄金中环前滩南三林板块、距离前滩直线仅约5KM,招商蛇口上海首座臻系作品【招商臻境】展厅已开放!

招商臻境售楼处电话:400-993-9964招商臻境官方电话:400-993-9964
上海浦东招商臻境售楼处电话:400-993-9964...
二期楼栋示意图

招商臻境售楼处电话:400-993-9964招商臻境官方电话:400-993-9964
Shanghai Pudong Zhaoshang Zhenjing Sales Office phone number: 400-993-9964...
上海浦东招商臻境售楼处电话:400-993-9964...
In the Sanlin area of Pudong, the TOP choice for improvement is [Zhaoshang Zhenjing]. Several units with a construction area of approximately 145 square meters are available in the early stage, starting from a total price of 10.8 million yuan.
浦东三林板块 改善TOP选择【招商臻境】前期数套建面约145m²上叠,总价1080万起;
Unit 135 has been sold out. Unit 103 only has units on the 17th floor and above, with a total starting price of 6.7 million!
135户型售罄,103户型只有17楼及以上房源,总价670万起!
The second batch of "Zhaoshang Zhenjing Yuanshang" is launching high-rise and townhouses with a construction area of approximately 84 to 148 square meters.
「招商臻境源上」二批次推出建面约84-148㎡高层&叠墅;
The average price approved on July 12th was 68,668 yuan per square meter!
7月12日已过会均价68668元/㎡!
Online reservations at the sales office are now in full swing!
售楼处线上火热预约中!
The sales office phone number of China Merchants Zhenjing is 400-993-9964. The official phone number of China Merchants Zhenjing is 400-993-9964
招商臻境售楼处电话:400-993-9964招商臻境官方电话:400-993-9964
上海浦东招商臻境售楼处电话:400-993-9964...
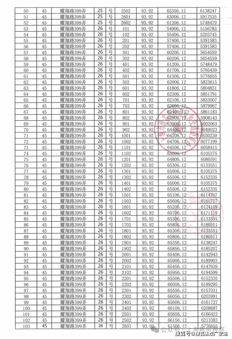
上期一房一价表如下:


招商臻境售楼处电话:400-993-9964招商臻境官方电话:400-993-9964
上海浦东招商臻境售楼处电话:400-993-9964...

招商臻境售楼处电话:400-993-9964招商臻境官方电话:400-993-9964
上海浦东招商臻境售楼处电话:400-993-9964...

招商臻境售楼处电话:400-993-9964招商臻境官方电话:400-993-9964
上海浦东招商臻境售楼处电话:400-993-9964...
高层户型图:
招商臻境售楼处电话:400-993-9964招商臻境官方电话:400-993-9964
上海浦东招商臻境售楼处电话:400-993-9964...
叠拼户型图:
招商臻境售楼处电话:400-993-9964招商臻境官方电话:400-993-9964
上海浦东招商臻境售楼处电话:400-993-9964...
招商臻境售楼处电话:400-993-9964招商臻境官方电话:400-993-9964
上海浦东招商臻境售楼处电话:400-993-9964...✅招商臻境售楼处电话: 400-9939-964招商臻境官方电话: 400-9939-964招商臻境官方售楼处已认证✅︎✅︎招商臻境售楼处电话:400-993-9964招商臻境官方电话:400-993-9964
上海浦东招商臻境售楼处电话:400-993-9964...
招商臻境售楼处电话:400-993-9964招商臻境官方电话:400-993-9964
Shanghai Pudong Zhaoshang Zhenjing Sales Office phone number: 400-993-9964...
上海浦东招商臻境售楼处电话:400-993-9964...
TOP choice for improvement in the Sanlin area of Pudong
浦东三林板块 改善TOP选择
It's about 5 kilometers in a straight line from Qiantan, with a swimming pool and a clubhouse
距前滩直线约5km+泳池+会所
"Zhaoshang Zhenjing" is now available for subscription!
「招商臻境」加推待认购!
There are 96 high-rise and superimposed units with a construction area of approximately 84 to 148 square meters
96套建面约84-148㎡高层&叠加
Luxurious swimming pool club with a light-chasing luxury stone basement
豪华泳池会所 追光式奢石地库
The average price approved on July 12th was 68,668 yuan per square meter
7月12日已过会均价68668元/㎡
Online reservations at the sales office are now in full swing!
售楼处线上火热预约中!
The sales office phone number of China Merchants Zhenjing is 400-993-9964. The official phone number of China Merchants Zhenjing is 400-993-9964
招商臻境售楼处电话:400-993-9964招商臻境官方电话:400-993-9964
上海浦东招商臻境售楼处电话:400-993-9964...

招商臻境售楼处电话:400-993-9964招商臻境官方电话:400-993-9964
Shanghai Pudong Zhaoshang Zhenjing Sales Office phone number: 400-993-9964...
上海浦东招商臻境售楼处电话:400-993-9964...
On October 11, 2023, on the first day of the third round of land auctions in Shanghai, China Merchants Bank successfully sold the project plot at a total price of 7,386,260,000 yuan.
2023年10月11日,上海第三轮土拍首日中,招商以总价738626万元成交该项目地块。
The outer block of Sanlin Ring is adjacent to Pudong Sanlin Software Park and China Telecom Park. It is bordered by Pujin to the west, Kangqiao to the east and Zhoupu to the south. The linked price is 70,000 yuan per square meter, which is higher than the 66,000 yuan per square meter of the new Kangqiao house Hai Shang Xi Yun nearby.
三林环外地块紧邻浦东三林软件园和中国电信园区,西面浦锦、东面康桥,南面周浦,联动价7万/㎡,高于周边的康桥新房海上溪云的6.6万/㎡。

招商臻境售楼处电话:400-993-9964招商臻境官方电话:400-993-9964
Shanghai Pudong Zhaoshang Zhenjing Sales Office phone number: 400-993-9964...
上海浦东招商臻境售楼处电话:400-993-9964...
This area has been out of supply for a long time, and the demand has not been released. It is expected to be a hot property.
这个区域断供很久了,需求一直得不到释放,预计会是个热盘。
The first Zhenjing exhibition hall of China Merchants Shekou in Shanghai, located in the South Sanlin area of Qiantan, the golden Middle Ring Road, is only about 5 kilometers away from Qiantan in a straight line. It has been opened!
择址黄金中环前滩南三林板块、距离前滩直线仅约5KM,招商蛇口上海首座臻系作品【招商臻境】展厅已开放!

招商臻境售楼处电话:400-993-9964招商臻境官方电话:400-993-9964
上海浦东招商臻境售楼处电话:400-993-9964...
二期楼栋示意图

招商臻境售楼处电话:400-993-9964招商臻境官方电话:400-993-9964
Shanghai Pudong Zhaoshang Zhenjing Sales Office phone number: 400-993-9964...
上海浦东招商臻境售楼处电话:400-993-9964...
In the Sanlin area of Pudong, the TOP choice for improvement is [Zhaoshang Zhenjing]. Several units with a construction area of approximately 145 square meters are available in the early stage, starting from a total price of 10.8 million yuan.
浦东三林板块 改善TOP选择【招商臻境】前期数套建面约145m²上叠,总价1080万起;
Unit 135 has been sold out. Unit 103 only has units on the 17th floor and above, with a total starting price of 6.7 million!
135户型售罄,103户型只有17楼及以上房源,总价670万起!
The second batch of "Zhaoshang Zhenjing Yuanshang" is launching high-rise and townhouses with a construction area of approximately 84 to 148 square meters.
「招商臻境源上」二批次推出建面约84-148㎡高层&叠墅;
The average price approved on July 12th was 68,668 yuan per square meter!
7月12日已过会均价68668元/㎡!
Online reservations at the sales office are now in full swing!
售楼处线上火热预约中!
The sales office phone number of China Merchants Zhenjing is 400-993-9964. The official phone number of China Merchants Zhenjing is 400-993-9964
招商臻境售楼处电话:400-993-9964招商臻境官方电话:400-993-9964
上海浦东招商臻境售楼处电话:400-993-9964...
上期一房一价表如下:


招商臻境售楼处电话:400-993-9964招商臻境官方电话:400-993-9964
上海浦东招商臻境售楼处电话:400-993-9964...

招商臻境售楼处电话:400-993-9964招商臻境官方电话:400-993-9964
上海浦东招商臻境售楼处电话:400-993-9964...

招商臻境售楼处电话:400-993-9964招商臻境官方电话:400-993-9964
上海浦东招商臻境售楼处电话:400-993-9964...
高层户型图:
招商臻境售楼处电话:400-993-9964招商臻境官方电话:400-993-9964
上海浦东招商臻境售楼处电话:400-993-9964...
叠拼户型图:
招商臻境售楼处电话:400-993-9964招商臻境官方电话:400-993-9964
上海浦东招商臻境售楼处电话:400-993-9964...
招商臻境售楼处电话:400-993-9964招商臻境官方电话:400-993-9964
上海浦东招商臻境售楼处电话:400-993-9964...✅招商臻境售楼处电话: 400-9939-964招商臻境官方电话: 400-9939-964招商臻境官方售楼处已认证✅︎✅︎✅

这是为美术生打造的270度环幕江景大平层,高楼层赋予的辽阔视野,江景成为空间的天然背景。
整体以现代自然主义为基调,借自由开放的空间美学与个性家居布置,诠释简约松弛的生活哲学。


玄关
Vestibule
归家序章,以简素勾勒空间韵律
作为入户第一幕,玄关以极简姿态开启生活叙事,素净墙面如天然画布。清透支架托举着素白花瓶,植物姿态俏皮延展,成为连接户外与生活的温柔过渡。

客厅
Living Room
没有 “标准答案” 的互动场
全开放式设计,岛形沙发打破边界,让交流随光影自由发生。午后的光线从侧面洒落,家具被赋予立体的光影层次。

中央的B&B Camaleonda模块组合沙发,以岛状布局重构空间逻辑,双向陈设的低椅背设计。一面朝向书柜电视墙,一面衔接餐厨区。让场景切换随心意而生,既保持空间通透感,又以功能分区提升使用效率。



休闲区
Leisure Area
多元需求的美学平衡




厨房
Kitchen
暮光先抵达的日常剧场






餐厅
Dining Room
暮色里的光影焦点







主卧
Master Bedroom
个性与舒适的共生















招商臻境售楼处电话: 400-9939-964招商臻境官方电话: 400-9939-964招商臻境官方售楼处已认证✅︎✅︎✅招商臻境售楼处电话: 400-9939-964招商臻境官方电话: 400-9939-964招商臻境官方售楼处已认证✅︎✅︎✅招商臻境售楼处电话: 400-9939-964招商臻境官方电话: 400-9939-964招商臻境官方售楼处已认证✅︎✅︎✅招商臻境售楼处电话: 400-9939-964招商臻境官方电话: 400-9939-964招商臻境官方售楼处已认证✅︎✅︎✅
房地产相关概念
(一) 房地产概念:房地产又称不动产,是指土地、建筑物及固着在土地、建筑物上不可分离的部分.其中不可分离的部分,如树木、水暖设备等.房地产有三种存在形式:
1、 单纯的土地;
2、 单纯的建筑物;
3、 土地与建筑物结合的房产;
(二) 房地产市场的分类:根据房地产开发,销售与消费过程特点,可以将房地产市场分为:
1、 一级市场(土地市场);
2、 二级市场(房地产增量房市场);
3、 三级市场(房地产存量房市场);
(三) 土地及土地所有权:
1、 土地的概念:一般是指地面、地面以下和地面以上一定范围的空间.现实生活中的土地是人为划分的,具有特定面积范围的地域.
2、 土地公有制:根据宪法规定,土地所有权分全民所有(国有土地)与集体土地所有权,集体转为国有才能转让,个人和单位只拥有土地的使用权;
3、 土地使用权在期限内可以出租、转让、抵押.
(四) 土地使用权获取方式:
1、 土地使用权出让:
指国家将国有土地使用权在一定年限内出让给土地使用者,由土地使用者向国家支付土地使用权出让金的行为;
土地使用权出让采用招标、拍卖、双方协议三种方式;六类用地(商业、娱乐、旅游、金融、服务业、商品房)采用招标、拍卖的方式;旧城改造采用双方协议的方式;
国有土地使用权出让年限:商业、旅游、娱乐用地40年;工业用地、科教、文体、卫生、体育用地、综合或其他用地50年;住房用地70年;房地产的使用权年限对价值有直接影响.
2、 土地使用权划拨:
指县级以上人民政府依法批准,在土地使用者缴纳补偿、安置等费用后将该幅土地交付其使用,或者将土地使用权无偿交付给土地使用者使用的行为;
以划拨方式取得土地使用权的,除法律、行政法规另有规定外,没有使用期限的限制;
下列建设用地的土地使用权,确属必须的,可由县级以上人民政府依法批准划拨: 国家机关用地和军事用地;
城市基础设施用地和公益事业用地;国家重点扶持的能源、交通、水利等项目用地;法律、行政法规规定的其他用地;
(五) 建筑概念
1、 建筑:建筑物和构筑物的总称;
2、 狭义建筑物:指各类房屋,构筑物如树木、电梯、水暖设备等;
3、 合格建筑物的标准:适用、经济、美观;
适用:安全、防水、隔声、保温隔热、采光、功能齐全、空间格局合理;
经济:购置价格合理、维修保养、采暖、空调能耗不高;
美观:建筑造型、色彩美感、与环境协调;
(六) 物业概念
1、 物业:广义的物业就是房地产,狭义的物业,包括各类房屋及其附属的设备、设施和相关场地;
各类房屋:可以是建筑群,如住宅小区,也可以是一幢住宅;附属的设备、设施和相关场地:是指与上述建筑物相配套的室内外各类设施、市政公用设施、道路交通等;
二、房屋建筑常识
1、 容积率:
总建筑面积与总用地面积的比值, 反映土地利用程度、使用强度及其经济性的技术经济指标;
容积率=建筑总面积÷用地面积;
一般来讲:普通住宅≥1.0;非普通住宅<1.0;
2、 建筑密度:
项目用地范围内各种建筑用地面积总和占总用地面积的比例.也可以建筑物基底总面积÷总用地面积,反映建筑用地范围内的空地率和建筑物的密集程度;
3、 绿化率:
指项目规划用地范围内绿化用地总面积占规划建设用地面积的比例;
4、 绿地率:
描述的是居住区用地范围内各类绿地的总和与居住区用地的比率;
5、 层高:
住宅高度以“层”为单位计算,是指下层地板面或楼板面到上层楼层面之间的距离.
6、 净高:
指下层地板面或楼板上表面到上层楼板下表面之间的距离.净高=层高-楼板厚度;
7、 进深:
指住宅的长度,指一间独立的房屋或一幢居住建筑从前墙皮到后墙皮之间的实际长度,为了保证住宅具有良好的自然采光和通风条件,目前我国大量城镇住宅房间的进深一般都限定在5米左右,不能任意扩大.住宅进深过大,就是住宅成为狭长型,距离门窗较远的室内空间自然光线不足,但进深大的住宅可以有效的节约用地;
8、 开间:
指住宅的宽度,指一间房屋内一面墙皮之间到另一面墙皮之间的实际距离,住宅的开间在住宅设计上有严格的规定;较小的开间范围,可缩短楼板的层间跨度,增强住宅结构的整体性、稳定性和抗震性;
9、 建筑面积:
指建筑物外墙外围所围成空间的水平面积.包含了房屋居住可用的实用面积、墙体柱体占地面积、楼梯走道面积、其它公摊面积等;
10、公摊面积:
指建筑物的楼梯、电梯井、外墙、公共门厅、走道、设备间、首层大堂及小区内其它一些配套设施的面积总和;
11、使用面积:
它是建筑面积扣除公摊面积、及墙体柱体所占用的面积后的直接供住户生活的净使用面积,俗称地砖面积;
12、占地面积:
建筑物基底及其功能需要占用的面积,也叫红线面积;
13、套内建筑面积=套内使用面积+套内墙体面积+阳台建筑面积(露台面积按半面积计算);
14、建筑面积=套内建筑面积+公摊面积;
15、销售面积=套内建筑面积+公摊的公用建筑面积;商品房按“套”或“单元”出售;
16、公用建筑面积=整幢建筑面积-套内建筑面积和-不应分摊的建筑面积;
17、公摊的公用建筑面积=套内建筑面积×公用建筑面积分摊系数;
18、公用建筑面积分摊系数:公用建筑面积÷套内建筑面积之和;
19、分摊的公用建筑面积包括:大堂、公共大厅、走廊、过道、共厕、电梯前厅、楼梯间、电梯井、电梯机房、垃圾道、管道井、消防控制室、消防通道、水泵房、水箱间、冷冻机房、配电室、煤气调压室、空调房、电梯工休息室、值班警卫室、卫星接收机房等;
20、不记入的公摊面积:仓库、车库、车道、供暖锅炉房、人防地下室、物管用房、售房单位自营、自用房屋、多幢房屋服务的警卫室;
21、实用率=套内建筑面积÷住宅建筑面积;
22、使用率=使用面积÷住宅面积,一般高层塔楼在72%至75%之间,板楼在78%至80%之间;小于实用率;
23、地下室:
指房间地面低于室外地平面的高度超过该房间净高的1/2;
24、半地下室:
指房间地面低于室外地平面的高度超过该房间净高的1/3,且不超过1/2;
25、阳台:
供居住者进行室外活动/晾晒衣物等的空间;
26、平台:
供居住者进行室外活动的上屋面或由住宅底层地面伸出室外的部分;
27、标准层:
指平面布置相同的住宅楼层;
28、中间层:
底层和最高住户入口层之间的中间楼层.
三、房地产行业术语:
(一)室内设施:
1、 四气:暖气、煤气、热水器、空调;
2、 全齐:家电(电视、冰箱、洗衣机)和家具(床、衣柜、沙发、电视柜、整体橱柜);
(二)装修分类:
1、 毛 坯:水泥地、水泥墙;
2、 简 装 修:地砖、白墙;
3、 中 装 修:大地砖、木地板;
4、 精 装 修:木地板、包门、包窗;
5、 豪华装修:装修前卫、用料讲究;
(三)户型及面积:
1、 一居室:公房面积:30-50平米;商品房面积:40-60平米;
2、 二居室:公房面积:50-70平米;商品房面积:70-100平米;
3、 三居室:公房面积:60-90平米;商品房面积:110-150平米;
4、 越层:房屋使用层跳跃的房型,如一越二,三越四等;
5、 错层:房屋内地面错落的房型;
(四) 楼层及朝向:
1、 楼层描述,多层楼房为6层,房屋所在层3层,简写3/6;
优劣:
楼房中多层楼有“金三银四”的说法,即六层楼三层最佳,四层次之;
高层楼中楼层较高的价位也较高,但二手房中顶楼除外;
2、 朝向(以主卧室窗户所对应的方向为准)多层楼朝向多为南北正向或东西侧向;
高层板楼与多层楼的朝向相似;
高层塔楼多为四角,其朝向多为东南、西南、东北、西北及各种斜向;
四、房地产特性:
(一) 不可移动性;
(二) 独一无二性;
(三) 寿命长久性;
(四) 数量有限性;
(五) 用途多样性;
(六) 相互影响性;
(七) 受政策\市场影响大;
(八) 标的高;
(九) 变现慢;
(十)保值增值性;
五、房屋分类及详解:
(一) 按住宅层数划分:
1、 低层:层数为1-3层;
2、 多层:层数为4-6层;
3、 中高层:层数为7-9层;
4、 高层:10层以上;
(二) 按使用性质划分:
1、 生产性建筑;厂房、车间等;
2、 非生产性建筑;
居住建筑:如住宅等;
公共建筑:如办公、文体、交通等;
(三) 按结构类型划分:
1、 砖混结构:这类建筑物的竖向承重构件采用砖墙或砖柱,水平承重构件采用钢筋混凝土楼板、屋顶板。这种结构房间小、层数低,一般用于多层建筑中;
2、 框架结构:这种结构的承重部分是由钢筋混凝土或钢材制作的梁、板、柱形成的骨架,可用于小高层建筑;
3、 钢筋混凝土剪力墙结构; 这类建筑物的竖向承重构件和水平承重构件均采用钢筋混凝土制作,多用于高层建筑
4、 空间结构:包括:县索结构、网架结构、壳体结构等。如体育馆、大剧院等;
(四) 按建筑材料划分:
1、 砖混:红砖与水泥;承重的主要构件是用砖和混凝土建造的;
2、 钢混:浇注、最为结实;承重的主要构件是用钢、钢筋混凝土建造的;
3、 预制板:预制的混凝土板与钢筋;承重的主要构件是用钢筋混凝土建造的.包括薄壳结构、大模板现浇结构及使用滑模、升板等建造的钢筋混凝土结构的建筑物;
(五) 按楼型外观划分:
1、 板楼:
是指由多个住宅单元组合而成,每单元均设有楼梯或楼梯、电梯皆有的住宅;每个单元用自己单独的楼梯、电梯;
板楼基本形式:多 层:6层以下;小高层:7-12层以内;高层:13-18层;超高层:18层以上甚至更高;
2、 塔楼:
主要是指以共用楼梯、电梯为核心布置多套住房的高层住宅.通俗地说,塔楼以电梯、楼梯为布局核心,上到楼层之后,向四面走可以直接进入户内;
塔楼基本形式:蝶型、品字型、Z字型、塔板结合、十字型、方形塔楼;
补充:筒子楼:卫生间、厨房都集体公用;
写字楼:办公使用;
(六) 按房屋户型划分:
1、 一居室;一卧室;
2、 二居室;二卧室;
3、 三居室;三卧室;
4、 多居室;多卧室;
5、 错 层:主要指的是一套房子不处于同一平面,即房内的厅、卧、卫、厨、阳台处于几个高度不同的平面上。
6、 跃 层:跃层住宅是一套住宅占两个楼层,有内部楼梯联系上下层;一般在首层安排起居室、厨房、餐厅、卫生间,最好有一间卧室,二层安排卧室、书房和卫生间等。
7、 复 式:复式住宅在概念上是一层,但层高较普通的住宅高,可在局部掏出夹层,安排卧室或书房等内容,用楼梯联系上下。其目的是提高住宅空间利用率。
(七) 按产权性质划分:
1、 商品房:指各房地产开发公司投资兴建的,以赢利为目的,按市场规律经营的房子;
分类:
(1) 普通住宅:
容积率1.0(含1.0)以上;
建筑面积在140平方米以下;
成交价低于同级别土地住房平均交易价格1.2倍以下;
(2) 非普通住宅:
甲宅; 24小时电梯、保安,物业费较高;
公寓;商品房、24小时电梯、保安、24小时管道热水;
别墅:(独栋、联排、双拼、叠拼)一般较为偏远;
(3) 商品房销售资质:商品房销售须具备以下五证:《国有土地使用证》、《建设用地规划可证》、《建设工程规划许可证》、《建筑工程施工许可证》、《商品房预销售许可证》;
2、 已购公房:
普通公房: 指按照国家房改有关售房政策,单位职工按成本价、标准价或优惠价购买的原产权属于单位的公有住房.职工根据国家政策,按成本价或标准价购买的由单位建设的安居工程和集资合作建设的住房;
央产房: 指按照国家房改有关售房政策,单位职工按成本价、标准价或优惠价购买的原产权属于中央在京单位,国有大中型企业及国务院各部委机关的公有住房.职工根据国家政策,按成本价或标准价购买的由中央在京单位建设的安居工程住房和集资合作建设的住房;
3、 经济适用房:
定义:以中低收入家庭住房困难户为供应对象,并按国家住宅建设标准建造的,具有社会保障性质的普通住宅.土地供应原则上实行划拨方式,住房设计要体现经济适用美观的原则,使用功能上要满足居民的基本生活需要.经济适用房的供应价格由经济适用房建设的行政主管部门会同物价部门按建设成本确定.
只拥有房屋所有权:表现形式为红色防伪制材的“房屋产权证”并在第一页上部加盖经济适用住房印章或按经济适用房管理;
4、 使用权房:使用权房是计划经济和住房分配体制下的产物,俗称公房。该房屋的产权属于国家或集体,不过,这项使用权是从所有权分离出来的一项独立的财产权,允许使用权人(公房承租人)在一定范围内通过一定方式转让或交换房屋使用权,所获收益扣除应缴税费后归使用权人所有。
5、 私产平房:也称私有住宅,是个人或家庭购买和建造的住宅;在农村,农民的住宅基本上是自建私有住宅。公有住房通过住宅消费市场出售给个人和家庭,也就转为私有住宅。
6、 小产权房:是指在农村集体土地上建设的房屋,未缴纳土地出让金等费用,国家房管部门不予颁发房产证。“小产权房”不是法律概念,是人们在社会实践中形成的一种约定俗成的称谓。该类房没有国家发放的土地使用证和预售许可证,购房合同在国土房管局不会给予备案,买卖此类房屋不能真正享有合法权益。按照国家的相关要求,“小产权房”不得确权发证,不受法律保护。
声明:本文由入驻焦点开放平台的作者撰写,除焦点官方账号外,观点仅代表作者本人,不代表焦点立场。


