上海崇明【光明墅】售楼处电话—地址—售楼中心24小时电话
扫描到手机,新闻随时看
扫一扫,用手机看文章
更加方便分享给朋友
高级生态岛【光明墅】
售楼处电话:400-886-1718 【营销中心】
防疫需要 看房提前来电预约登记
高级生态岛
崇明东滩别墅区
5站直达金桥 10站直达陆家嘴
上海实验+思南路幼儿园旁
容积率仅约1.01 超低密叠加别墅
光明墅
建面约87-120㎡精装叠加
均价约3.1万/㎡
总价约248-400万
(文末附上期一房一价表)
时间过得真快!转眼间,上海的楼市就已经来到了2021年的下半场!
但对于近期要置业的伙伴们来说,买房的规划和行动,不仅依旧不能停,甚至还要抓紧!
对于刚需或者二套资产配置的客户,要在众多楼盘中寻找到“最理想的家”,实在是一件费心费力又费时间的事情!

上海自8月6日起,申请贷款金额,将参考买卖合同价、交易中心核验价、银行评估价三者孰低作为贷款申请房价标准。
这也导致近期频频传出,买二手房首套房部分需要5层首付,对于预算不太充足的小伙伴来说,现在的二手房,有点下不去手。
随着上海的发展,之前大家觉得偏的:浦东祝桥、奉贤临港、金山枫泾等地铁,也相继有楼盘入市触发积分制,而目前上海郊环外新房套均总价也创新高达到了348.8万/套,
并且,在二手房难买的市场下,挤压到新房的购房者会越来越多,低积分买好盘的机会会越来越少。
而且很多楼盘集中在崇明、奉贤以及金山等地,甚至一些区域内的房子,如果积分不够高,甚至有钱都买不到。
生活在上海,人们的日常出行越来越离不开地铁!新房市场上地铁盘(直线距离1km范围内)非常吃香!
上海2021年上半年,三批次集中供应共推出127个新房,共推出36968套房源。其中200-400万级新房共入市18070套房源,占比约48.9%。入市房源虽多,但要买离轨交直线距离约1KM范围内的精装3房,那就非常困难了!
据数据统计,前2轮集中供应80盘中,有34个地铁盘入市,就有23 盘触发积分制,开盘日光;而即使是没有触发积分制的地铁盘,同样也是开盘当天售罄。
而总价在200-400万级新房仅9个楼盘符合要求,占比约11.25%,且所点房源比率也不多。
这9盘中,包括了66.2分的新城千禧公园;57.4分的宝业活力天地;以及奉贤排名前列触发积分制的项目。
选择本来就不多,加上积分限制,能上车就已经说明非常幸运。
买房主要目地无非是自住+投资,哪怕是刚需要购房,也是非常在意自己房子未来能不能升值,升值幅度大不大,而决定房子自住和升值的主要因素一定离不开交通!
2000年6月轨交2号线开通,浦东浦西也正式建立起了排名前列条的轨交大动脉。
而20年后的今天,三分之二的浦东,都已是高攀不起的改善置业地。
同时,青浦在2014年年底开始建造17号线,2018年17号线开通,而根据克尔瑞数据的显示,青浦的房价也是从那时候开始,呈现出持续上扬的态势。
2019年12月11日上午,崇明轨交正式开工建设,未来2站到达外高桥、未来5站到达金桥、10站可达东外滩、12站即达陆家嘴。
而崇明轨交的动工,说明通地铁的时间已不远了,崇明今年出现排名前列个触发积分的项目也标志了崇明岛价格“冰点”已经出现了。

崇明岛东滩板块引进了上海知名幼儿园+9年制上海市实验学校附属东滩学校:
思南路幼儿园:黄浦区思南路幼儿园分园,是一所在国内外享有盛誉的示范性涉外幼儿园,素有"未来人才摇篮"之称。
上海市实验学校附属东滩学校:九年一贯制教育,上海市实验学校是上海较好的公立学校之一,也是上海排名前列梯队的学校。同时规划的高中部,也即将动工,未来将是12年制学校。

同时崇明岛东滩板块经过多年的开发,周边生活配套也逐渐成熟, 由由喜来登酒店、崇明金茂凯悦酒店、名岛生活广场相继开业,完全可以满足业主的日常生活需求。

光明墅位于崇明岛东滩别墅区,项目北至郁金香路、南至雪雁路、西至郁金香路、东至柳兰路;项目占地约7.27万㎡、建筑面积约7.34万㎡、容积率1.01,由39栋4~5层叠加别墅组成,共681户,房源面积段为90~120㎡,精装修交付。
光明墅采用人车分流设计,社区共设有约818个车位,车位配比约1:1.2;小区主要出入口在雪雁路和郁金香路上,车辆进入小区后,可直接进入地下车库,然后进入自家别墅的地下室出口处,然后步行到家,充分保障业主及家人的通行安全,保障了社区景观的完整性,降低噪音及尾气污染,提升居住舒适感。
光明墅采用新中式建筑风格,外立面采用真石漆设计,立面简洁大方。
光明墅的景观围绕“一心、一环、两轴、N庭”的设计理念:
“一心” 位于小区中央的阳光草坪、核心景观会客厅。
“一环” 小区中央设置环形夜光慢跑跑道。
“两轴” 分为艺术文化轴和社区生活轴。
“N庭” 在小区内设有多个运动休息及会客的绿化景观庭院,每个庭院的绿化设计都不相同各有特色。
约90㎡E户型图

建筑面积约90㎡平墅E户型户型设计方正,3开间朝南,横向面宽高达约12米!保证了大面宽、大通风、大采光的特征,横跨客餐厅和两间卧室,并且还有双阳台设计,有更多生活规划空间。
高级生态岛【光明墅】
售楼处电话:400-886-1718 【营销中心】
防疫需要 看房提前来电预约登记
约90㎡B户型图

建筑面积约90㎡叠加B户型上下两层空间,采用了动静分离的设计,完全做到了让生活、会客、休息互不干扰;同时约6米宽度的客餐厅南向面宽保证了家人之间更频繁的互动与感情交流。
约90㎡K户型图

建筑面积约120㎡叠加K户型更是做到了罕见的4开间朝南,超宽的15米大采光面,整个户型方正、“薄透”,采光、通风非常好。
约90㎡G户型图

建筑面积约120㎡叠加G户型客餐厅+卧室南向3开间设计,超大面宽媲美大平层的尊贵享受,令整个一层空间亮亮堂堂。
高级生态岛【光明墅】
售楼处电话:400-886-1718 【营销中心】
防疫需要 看房提前来电预约登记
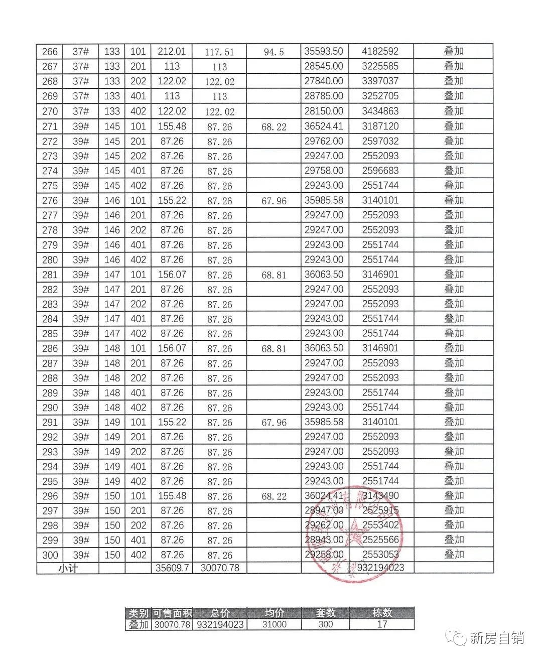
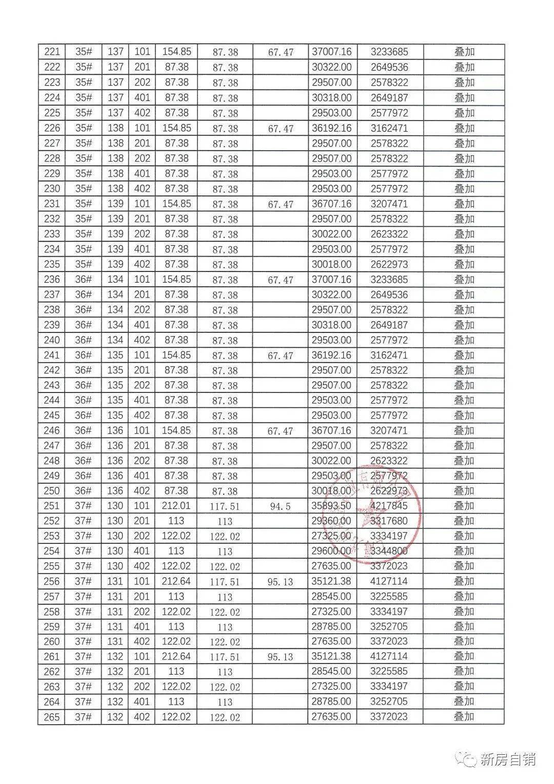
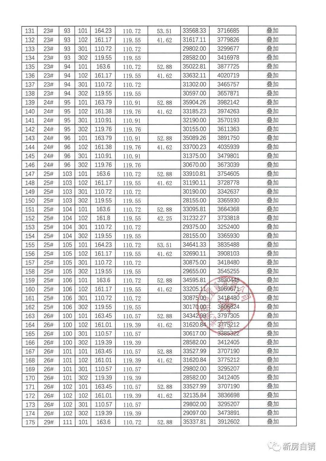
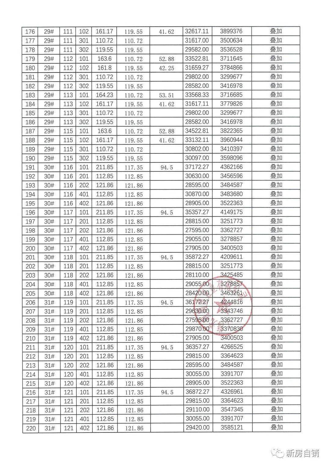
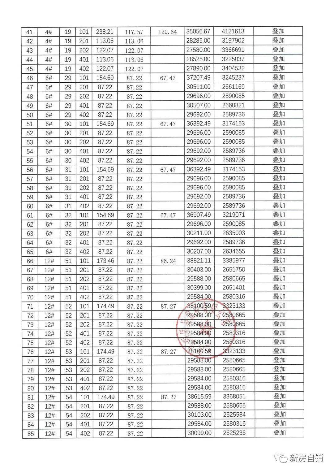
上期整一房一价表如下

高级生态岛【光明墅】
售楼处电话:400-886-1718 【营销中心】
防疫需要 看房提前来电预约登记
声明:本文由入驻焦点开放平台的作者撰写,除焦点官方账号外,观点仅代表作者本人,不代表焦点立场。


