首页:2022上海松江【中骏璟荟】重磅来袭——中骏璟荟顺销中
扫描到手机,新闻随时看
扫一扫,用手机看文章
更加方便分享给朋友
松江·新城「中骏·璟荟」
售楼处电话:400-886-1718 【营销中心】
防疫需要 看房提前来电预约登记
#较新消息#
松江·新城 “双轨交”新盘
「中骏·璟荟」2月19日开启认购
均价58130元/㎡
将推约91-125㎡ 3-4房
共计360套房源
认购须知
认购地点:松江区广富林路顺康路交汇处(项目售楼处)
认购金:110万元
存款证明:首套190万元(含认购金),二套380万元(含认购金)
社保系数:0.11分/月
入围比:1.3
松江·新城「中骏·璟荟」
售楼处电话:400-886-1718 【营销中心】
看房提前来电预约登记
01.
基本信息
中骏·璟荟 座落在松江文脉主轴广富林路,与南面7大学府为邻,近染文墨书香。东临泽林路,距离松江印象城步行约500米。北面为银泽路,临近自然河系。西面是林源路。
项目占地约4.7万方,地上建筑面积约10.3万方,容积率2.2,绿化率35%。其中住宅占比50%、商业办公15%、办公占比35%。整个项目规划打造成为松江排名前列高端复合活力社区。南地块打造3幢高端商务办公楼,打造为广富林路上的精致地标建筑。
北地块由11幢新亚洲封面形象的住宅组成。东西两排住宅各17层小高层,东北角楼幢为10层保障房,中间是2幢8层高的精致洋房。小区主大门设置在东面泽林路上。小区共计住户553户,其中可售户数517户。
景观部分,中骏·璟荟设置了“一轴·一环·六园”的主题景观。
一轴:项目通过阵列式植物种植、艺术墙景以及叠水水景的空间营造,打造了一道U形的复合生活核心轴,构建自然宜居的生活空间;
一环:社区内部设置了一条约400米的环氧健康跑道,与“六园”无缝衔接,打造全时段、全天候、全龄段的共享互动体系。

穿过匠心布置的社区景观,中骏为南北两侧的楼栋设置了首层架空层,与社区景观相得益彰,让邻里之间的互动,不再受天气的影响。

社区内楼宇间隔非常大,保障了所有楼幢的采光和景观视野。在南北地块中间,和相邻项目地块均按照政府重点规划方向,打造了一条高端精致复合活力内街。
未来这条内街将与印象城商业一起打造成shoppingmall➕open block内外兼修的大型商业综合模式。未来生活实现从印象城一路购物到家的新体验。
总而言之,中骏璟荟不仅仅是为业主提供一处居所,更是为业主打造家的生活方式,为家庭里的每个成员打造专属于他们的生活娱乐空间,专注业主生活上每一处细节的感动,打造品质生活,让幸福触手可及。
02.
推售信息
据悉,中骏·璟荟 首期将推约89-125㎡3-4房,主力户型分别为建面约89㎡3房2厅1卫、建面约99㎡3房2厅2卫、建面约125㎡4房2厅2卫。
「首推户型分布图如下」
全套户型图发布:
「约91㎡ 3房2厅1卫」
「约101㎡ 3房2厅2卫」
「约125㎡ 4房2厅2卫」
项目装修交付,包括新风、多联机式中央空调、地暖、厨房四件套等,室内层高3米,拥有更宽敞的居住空间,给予业主更舒适的居住体验。
03.
周边配套
松江新城未来,将会被打造成长三角综合性节点城市,将围绕长三角G60科创走廊
城乡统筹发展轴、“松江枢纽”核心功能区、“双城融合”核心功能区,形成“一廊一轴两核”的完备产业。
项目地处松江新城核心,南侧是松江大学城,东侧就是印象城;居住在此,可享受醇熟的生活。

交通方面,项目东侧直线距离约500米,设有松江有轨电车2号线广富林路站,2站既可到达9号线松江大学城站;通过9号线,可快速到达,七宝、漕河泾开发区、徐家汇、浦东世纪大道等商圈。

自驾方面,沪松快速路新建工程专项规划,于2021年5月完成公示未来松江新城将可以接驳上海中央活动区。
沪松快速路示意图,来源于上海松江
商业方面,项目东侧约600米是印象城购物中心,印象城总建面15.5万方,集生活、购物、娱乐等业态为一体;项目再向东直线距离约2公里则是松江万达广场;附近还有五龙商业广场、马利来广场等,基本可以满足日常生活所需。

教育方面,附近有松江中山第二幼儿园、松江中山二小等学校。另外,地块周边还有一所上外附中松江云间学校在建。

医疗方面,周边有上海排名前列人民医院(南院),为居民的健康提供有力的医疗保障。

生态方面,广富林被称为上海之根,拥有近5000年左右的人类发展历史;园内集中展现了历史发展中的人类文明,以及各类文物,已成为上海的文化名片。

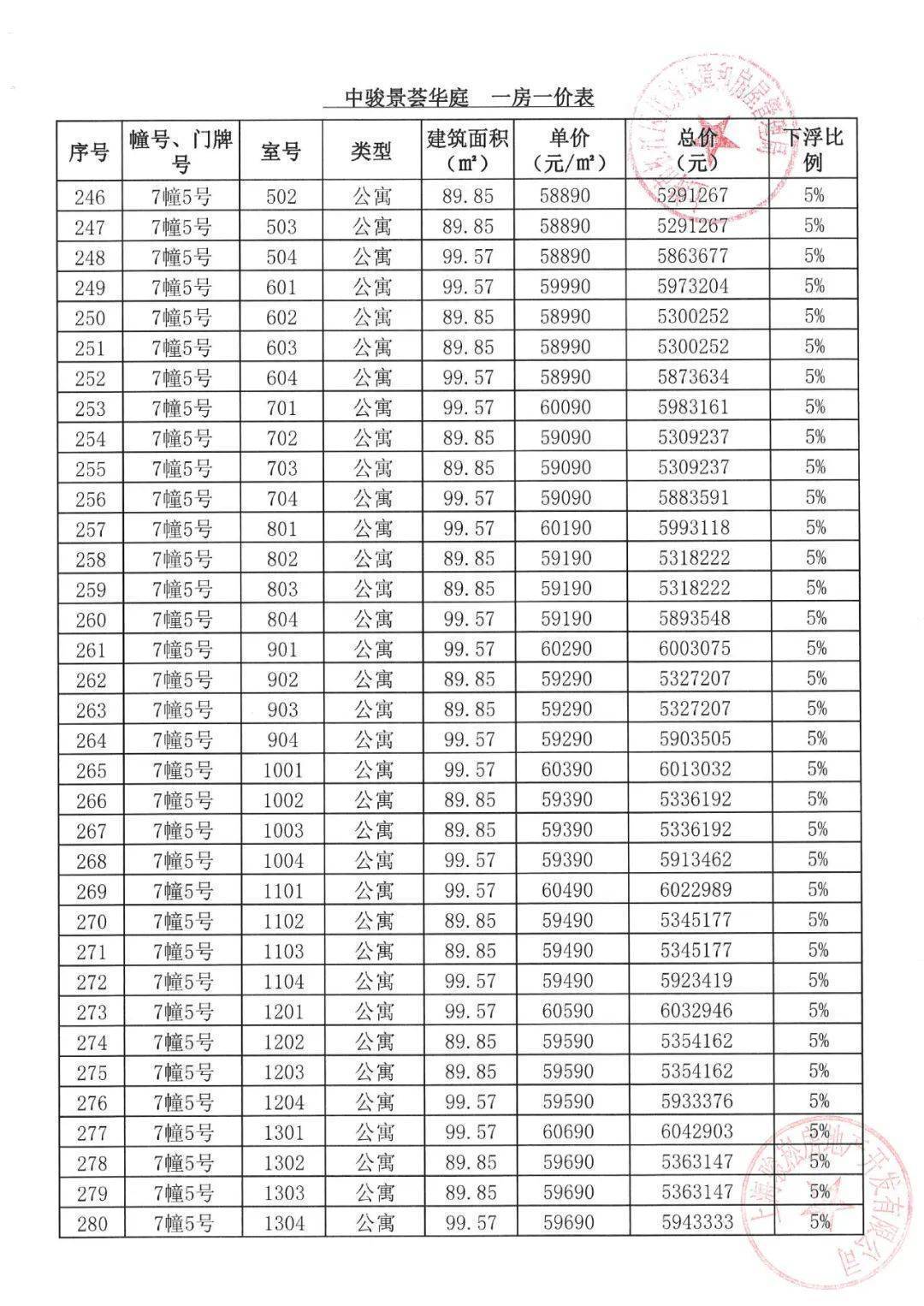
「一房一价表」
松江·新城「中骏·璟荟」
售楼处电话:400-886-1718 【营销中心】
防疫需要 看房提前来电预约登记
声明:本文由入驻焦点开放平台的作者撰写,除焦点官方账号外,观点仅代表作者本人,不代表焦点立场。


