招商林屿湖畔 (售楼处) 官方网站 -招商林屿湖畔销售中心 - 环境 - 户型 - 价格 - 地址 - 楼盘详情 - 配套 - 电话 - 交房时间 - 配套 - 电话 - 交房时间
扫描到手机,新闻随时看
扫一扫,用手机看文章
更加方便分享给朋友
招商林屿湖畔售楼处电话:400-9016-520✅︎✅︎✅
上海招商林屿湖畔营销中心热线400-9016-520(官方预约看房热线)
✅ 为您安排楼盘现场销售全程接待并讲解,给您更贴心的看房体验!
The sales office phone number of China merchants Linyu Lakeside is ☎ : 400-9016-520. [sales hotline] ✔✔✔ the marketing center hotline of China merchants linyu lakeside is ☎ : 400-9016-520. The address of the sales office of China merchants linyu lakeside is ☎ : 400-9016-520
招商林屿湖畔售楼处电话☎:400-9016-520【售楼热线】✔✔✔招商林屿湖畔营销中心热线☎400-9016-520招商林屿湖畔售楼处地址☎400-9016-520
"Lake View + River View" in the core area of Jiading New Town
嘉定新城核心 一线“湖景+河景”
Yuanxiang Lake 4.0 Iteration lakeside luxury Residence product
远香湖4.0迭代湖畔奢居产品
【 Zhaoshang Linyu Lakeside
【招商林屿湖畔】
We are adding high-rise and townhouses with a construction area of approximately 112 to 165 square meters
加推建面约112-165㎡高层/叠墅
The average price is 55,776 yuan per square meter. Pre-order on October 24th
均价55776元/㎡ 10月24日认购
An additional 89 units of housing will be launched
加推89套房源
Sales office phone number of China Merchants Linyu Lakeside: 400-9016-520 (Official sales office phone number) Sales office phone number of China Merchants Linyu Lakeside: 4009016520 (latest sales office phone number) Official sales office phone number of China Merchants Linyu Lakeside: 400-9016-520✔(Official sales office appointment viewing hotline
招商林屿湖畔售楼处电话:400-9016-520(官方售楼处电话)招商林屿湖畔售楼处电话:4009016520(售楼处最新电话)招商林屿湖畔官方电话:400-9016-520✔(官方售楼处预约看房热线)
上传中
The sales office of China Merchants Linyu Lakeside can be reached at 400-9016-520. China Merchants Shekou has set up a precious vacant residential plot by Yuanxiang Lake for ten years. With the top-row view of Yuanxiang Lake, it enjoys a rare resource combination of lake, river, garden and city in Shanghai.
招商林屿湖畔售楼处电话400-9016-520招商蛇口,落子远香湖十年珍贵留白宅地,以远香湖头排景观,坐拥上海罕见的湖、河、园、城的资源组合禀赋。
Adhering to the "Chief Designer Consultant System", we meticulously build a new luxury residence of 4.0 lakeside residences - China Merchants · Lin Yu Lakeside.
秉持"首席设计师顾问制"之笔,精筑4.0湖居迭新奢宅——招商·林屿湖畔。
The phone number of the sales office of China Merchants Linyu Lakeside is 400-9016-520
招商林屿湖畔售楼处电话400-9016-520
It's been ten years since we last met. This is the first time we've seen each other in Jiading.
十年未见,嘉定首见。
The official sales office phone number of China Merchants Linyu Lakefront is 400-9016-520. The latest sales office phone number is 4009016520. The official phone number of China Merchants Linyu Lakefront is:
招商林屿湖畔售楼处电话:400-9016-520(官方售楼处电话)招商林屿湖畔售楼处电话:4009016520(售楼处最新电话)招商林屿湖畔官方电话:
400-9016-520✔(Official sales office reservation and viewing hotline) Sales office phone number of China Merchants Linyu Lakeside: 400-9016-520. The Linyu Lakeside project has now obtained the certificate. Reservations can be made on October 24th. The demonstration area of the Canyon Artistic Conception Lakeside Living Room is about to be grandly launched!
400-9016-520✔(官方售楼处预约看房热线)招商林屿湖畔售楼处电话400-9016-520林屿湖畔项目现已取证,10月24日认购,峡谷意境湖前会客厅示范区即将耀世盛启!
This "first of its kind in Jiading" all-dimensional lakeside living model is dedicated to the next decade of Yuanxiang Lake with its meticulous product quality.
这座“嘉定首见”的全维湖前生活范式,以匠心产品力致献远香湖下一个十年。
The phone number of the sales office of China Merchants Linyu Lakeside is 400-9016-520
招商林屿湖畔售楼处电话400-9016-520
上传中
招商林屿湖畔售楼处电话:400-9016-520(官方售楼处电话)招商林屿湖畔售楼处电话:4009016520(售楼处最新电话)招商林屿湖畔官方电话:400-9016-520✔(官方售楼处预约看房热线)
上传中
招商林屿湖畔售楼处电话:400-9016-520(官方售楼处电话)招商林屿湖畔售楼处电话:4009016520(售楼处最新电话)招商林屿湖畔官方电话:400-9016-520✔(官方售楼处预约看房热线)
上传中
招商林屿湖畔售楼处电话:400-9016-520(官方售楼处电话)招商林屿湖畔售楼处电话:4009016520(售楼处最新电话)招商林屿湖畔官方电话:400-9016-520✔(官方售楼处预约看房热线)
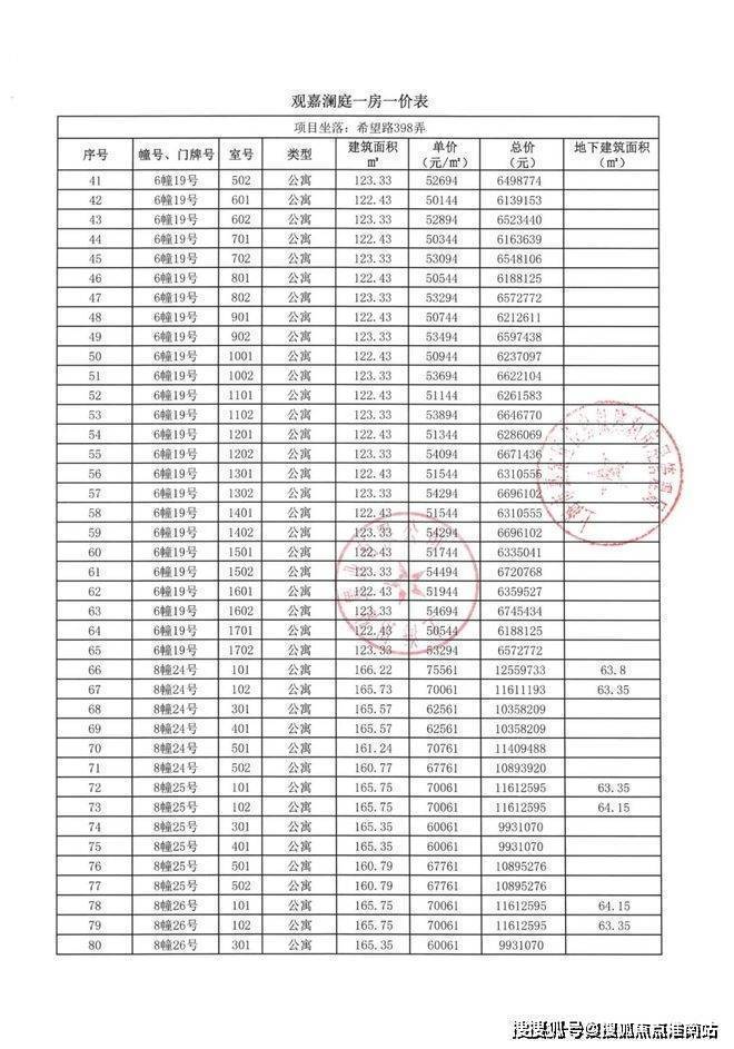
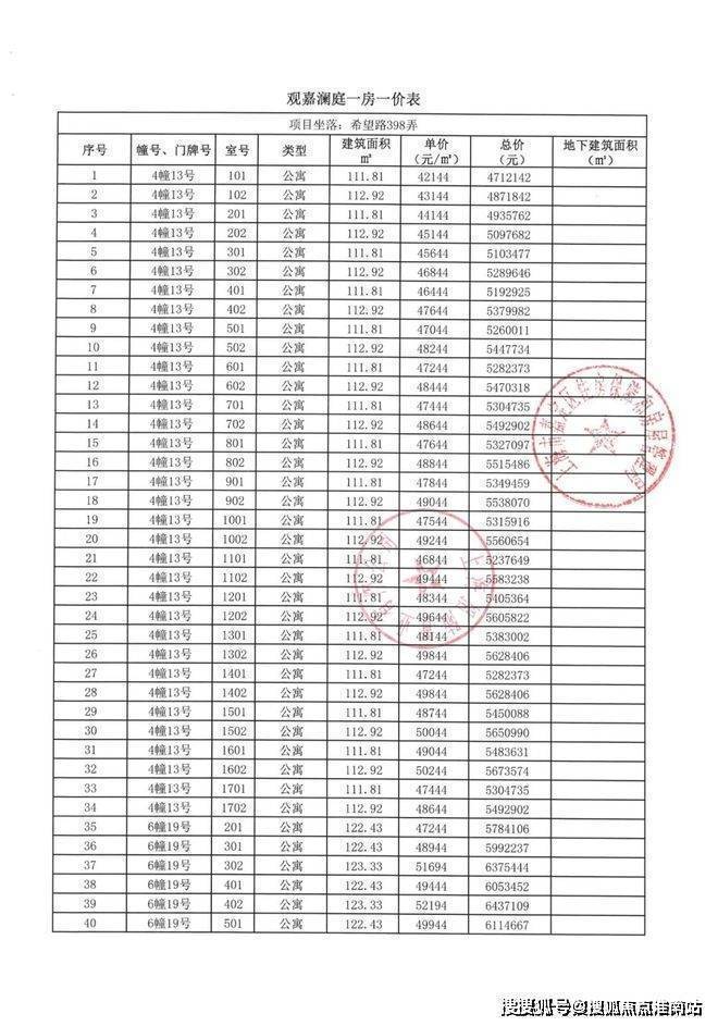
招商林屿湖畔售楼处电话400-9016-520据悉,招商蛇口拿下嘉定新城远香湖住宅地块(嘉定新城F03A-4地块)招商林屿湖畔成交总价26.6亿,成交楼板价31850元/㎡,溢价率30%,成交承诺装修标准3000元/㎡,预计未来售价或达6万/㎡!招商林屿湖畔售楼处电话400-9016-520
上传中
招商林屿湖畔售楼处电话:400-9016-520(官方售楼处电话)招商林屿湖畔售楼处电话:4009016520(售楼处最新电话)招商林屿湖畔官方电话:400-9016-520✔(官方售楼处预约看房热线)招商林屿湖畔售楼处电话400-9016-520根据方案,项目拟建8栋16-17层高层住宅(含1栋17层保障房),以及5栋6层住宅,共计686户。小区人车分流;车位比约1:1.8,社区内部有水景、下沉式庭院。招商林屿湖畔售楼处电话400-9016-520
上传中
The official sales office phone number of China Merchants Linyu Lakefront is 400-9016-520. The latest sales office phone number is 4009016520. The official phone number of China Merchants Linyu Lakefront is:
招商林屿湖畔售楼处电话:400-9016-520(官方售楼处电话)招商林屿湖畔售楼处电话:4009016520(售楼处最新电话)招商林屿湖畔官方电话:
400-9016-520✔(Official sales office appointment viewing hotline) The sales office of China Merchants Linyu Lakeside can be reached at 400-9016-520. The project is equipped with an above-ground elevated clubhouse and an underground clubhouse, as well as a sunken courtyard clubhouse, creating an elevated space that breaks the boundary between people and space.
400-9016-520✔(官方售楼处预约看房热线)招商林屿湖畔售楼处电话400-9016-520项目配建地上架空层泛会所+地下会所,以及下沉式庭院会所,打破人与空间边界的架空场域。
The overall space of the clubhouse design is free from ostentation and affection, always centering the landscape around people. The overall landscape planning uses cantilevered water pools to introduce water into the sunken natural water courtyard, and connects with water curtains to create multi-level landscapes, just like a changing three-dimensional flowing painting.
会所设计整体空间祛除浮华矫饰,始终让景观以人为核心展开,整体景观规划以悬挑水池将⽔引⼊下沉⾃然⽔院,利⽤⽔幕链接,打造多层次景观,宛如⼀幅变幻的⽴体流动画作。
The clubhouse area is equipped with a covered walkway, connected by water features, hedges and rest platforms, offering a different view as you move.
会所区域配置风⾬连廊,以⽔景、绿篱、休憩平台串联,移步异景。
The phone number of the sales office of China Merchants Linyu Lakeside is 400-9016-520
招商林屿湖畔售楼处电话400-9016-520
上传中
招商林屿湖畔售楼处电话:400-9016-520(官方售楼处电话)招商林屿湖畔售楼处电话:4009016520(售楼处最新电话)招商林屿湖畔官方电话:400-9016-520✔(官方售楼处预约看房热线)
上传中
招商林屿湖畔售楼处电话:400-9016-520(官方售楼处电话)招商林屿湖畔售楼处电话:4009016520(售楼处最新电话)招商林屿湖畔官方电话:400-9016-520✔(官方售楼处预约看房热线)
上传中
招商林屿湖畔售楼处电话:400-9016-520(官方售楼处电话)招商林屿湖畔售楼处电话:4009016520(售楼处最新电话)招商林屿湖畔官方电话:400-9016-520✔(官方售楼处预约看房热线)招商林屿湖畔售楼处电话400-9016-520开放式的社交场域空间以自然留白,带来完整的地上园林体系,处处皆客厅的家庭化场景让公区和家一样舒适。它所传递的,不是传统意义的“豪宅感”,而是一种兼具归属感与文化感的“隐奢生活哲学”。招商林屿湖畔售楼处电话400-9016-520
上传中
招商林屿湖畔售楼处电话:400-9016-520(官方售楼处电话)招商林屿湖畔售楼处电话:4009016520(售楼处最新电话)招商林屿湖畔官方电话:400-9016-520✔(官方售楼处预约看房热线)项目外立面要求采用石材、铝板等材质,金属部分应采用铝板、紫铜等防锈防腐蚀金属材料。
招商林屿湖畔售楼处电话400-9016-520
上传中
招商林屿湖畔售楼处电话:400-9016-520(官方售楼处电话)招商林屿湖畔售楼处电话:4009016520(售楼处最新电话)招商林屿湖畔官方电话:400-9016-520✔(官方售楼处预约看房热线)
上传中
招商林屿湖畔售楼处电话:400-9016-520(官方售楼处电话)招商林屿湖畔售楼处电话:4009016520(售楼处最新电话)招商林屿湖畔官方电话:400-9016-520✔(官方售楼处预约看房热线)
上传中
招商林屿湖畔售楼处电话:400-9016-520(官方售楼处电话)招商林屿湖畔售楼处电话:4009016520(售楼处最新电话)招商林屿湖畔官方电话:400-9016-520✔(官方售楼处预约看房热线)招商林屿湖畔售楼处电话400-9016-520
招商林屿湖畔售楼处电话400-9016-520项目将推出建面约112㎡、122㎡、145㎡高层3-4房以及建面约160-165㎡叠墅,共计624套,其中112户型为一梯两户,122户型两梯两户。首开9号楼、10号楼,包含建面约122㎡-145㎡3-4房,共计约130套;招商林屿湖畔售楼处电话400-9016-520
上传中
招商林屿湖畔售楼处电话:400-9016-520(官方售楼处电话)招商林屿湖畔售楼处电话:4009016520(售楼处最新电话)招商林屿湖畔官方电话:400-9016-520✔(官方售楼处预约看房热线)
官方户型图:
上传中
招商林屿湖畔售楼处电话:400-9016-520(官方售楼处电话)招商林屿湖畔售楼处电话:4009016520(售楼处最新电话)招商林屿湖畔官方电话:400-9016-520✔(官方售楼处预约看房热线)建面约122㎡的3房产品,有几大亮点:
第一,类一梯一户的设计。
这种“隐形扩容”设计,不仅重构家庭生活秩序,更解锁了N种生活场景的可能性。
建面约122㎡创意展示间实景,具体以实际交付为准
上传中
招商林屿湖畔售楼处电话:400-9016-520(官方售楼处电话)招商林屿湖畔售楼处电话:4009016520(售楼处最新电话)招商林屿湖畔官方电话:400-9016-520✔(官方售楼处预约看房热线)第二,全屋交付收纳量达8.2m³,约等于205个20寸行李箱的收纳空间。
整个套内除了电梯厅外,还有大量的收纳空间。
例如进门的这个独立储藏空间:招商林屿湖畔售楼处电话400-9016-520
上传中
招商林屿湖畔售楼处电话:400-9016-520(官方售楼处电话)招商林屿湖畔售楼处电话:4009016520(售楼处最新电话)招商林屿湖畔官方电话:400-9016-520✔(官方售楼处预约看房热线)还有餐边柜空间、大量的飘窗空间、厨房的柜子等等。
上传中
招商林屿湖畔售楼处电话:400-9016-520(官方售楼处电话)招商林屿湖畔售楼处电话:4009016520(售楼处最新电话)招商林屿湖畔官方电话:400-9016-520✔(官方售楼处预约看房热线)
上传中
招商林屿湖畔售楼处电话:400-9016-520(官方售楼处电话)招商林屿湖畔售楼处电话:4009016520(售楼处最新电话)招商林屿湖畔官方电话:400-9016-520✔(官方售楼处预约看房热线)
上传中
招商林屿湖畔售楼处电话:400-9016-520(官方售楼处电话)招商林屿湖畔售楼处电话:4009016520(售楼处最新电话)招商林屿湖畔官方电话:400-9016-520✔(官方售楼处预约看房热线)第三,约3.1米层高+边套户型4飘窗+建面约122㎡做3房,极致的尺度感。
建面约122㎡的3房本身就拥有超强的空间尺度感,再加上小高层的高得房率+多飘窗的设计,整个空间的尺度感相当惊人。
比如这个客餐厅:招商林屿湖畔售楼处电话400-9016-520
上传中
招商林屿湖畔售楼处电话:400-9016-520(官方售楼处电话)招商林屿湖畔售楼处电话:4009016520(售楼处最新电话)招商林屿湖畔官方电话:400-9016-520✔(官方售楼处预约看房热线)
上传中
The official sales office phone number of China Merchants Linyu Lakefront is 400-9016-520. The latest sales office phone number is 4009016520. The official phone number of China Merchants Linyu Lakefront is:
招商林屿湖畔售楼处电话:400-9016-520(官方售楼处电话)招商林屿湖畔售楼处电话:4009016520(售楼处最新电话)招商林屿湖畔官方电话:
400-9016-520✔(Official sales office appointment viewing hotline) Real scene of the creative display room with a construction area of approximately 122 square meters. The actual delivery is subject to the actual situation
400-9016-520✔(官方售楼处预约看房热线)建面约122㎡创意展示间实景,具体以实际交付为准
This sense of scale is generally only seen in large flat floors of about 140 square meters or more.
这个尺度感一般也只有在约140㎡以上的大平层中能看到。
The official sales office phone number of China Merchants Linyu Lakefront is 400-9016-520. The latest sales office phone number is 4009016520. The official phone number of China Merchants Linyu Lakefront is:
招商林屿湖畔售楼处电话:400-9016-520(官方售楼处电话)招商林屿湖畔售楼处电话:4009016520(售楼处最新电话)招商林屿湖畔官方电话:
400-9016-520✔(Official sales office appointment viewing hotline) The design of the master bedroom luxury suite + approximately 270° giant bay window, this sense of scale and practicality is really strong.
400-9016-520✔(官方售楼处预约看房热线)主卧豪华套房的设计+约270°的巨型飘窗,这个尺度感和实用性真的很强。
The phone number of the sales office of China Merchants Linyu Lakeside is 400-9016-520
招商林屿湖畔售楼处电话400-9016-520
上传中
招商林屿湖畔售楼处电话:400-9016-520(官方售楼处电话)招商林屿湖畔售楼处电话:4009016520(售楼处最新电话)招商林屿湖畔官方电话:400-9016-520✔(官方售楼处预约看房热线)
上传中
招商林屿湖畔售楼处电话:400-9016-520(官方售楼处电话)招商林屿湖畔售楼处电话:4009016520(售楼处最新电话)招商林屿湖畔官方电话:400-9016-520✔(官方售楼处预约看房热线)建面约122㎡创意展示间实景,具体以实际交付为准另外,由于双阳台的设计,北房间不仅能放下一张床,还有大量可以放下书桌、衣柜的空间,实用性超强。
上传中
招商林屿湖畔售楼处电话:400-9016-520(官方售楼处电话)招商林屿湖畔售楼处电话:4009016520(售楼处最新电话)招商林屿湖畔官方电话:400-9016-520✔(官方售楼处预约看房热线)
上传中
招商林屿湖畔售楼处电话:400-9016-520(官方售楼处电话)招商林屿湖畔售楼处电话:4009016520(售楼处最新电话)招商林屿湖畔官方电话:400-9016-520✔(官方售楼处预约看房热线)建面约145㎡4房产品,目前嘉定新城的终极改善产品。
约3.15米的层高,恢弘大气;
独立电梯厅+半敞阳台+自由式飘窗,使用率(非得房率)约87-91%;
四开间南向面宽,大面积落地玻璃,边套更是打造了270°转角飘窗;
豪华主卧套房,双台盆独立卫浴保证了居住的私密性;
三阳台保证了各个卧室超强的尺度感和实用性;
招商林屿湖畔售楼处电话:400-9016-520(官方售楼处电话)招商林屿湖畔售楼处电话:4009016520(售楼处最新电话)招商林屿湖畔官方电话:400-9016-520✔(官方售楼处预约看房热线)
叠加户型图:
上传中
招商林屿湖畔售楼处电话:400-9016-520(官方售楼处电话)招商林屿湖畔售楼处电话:4009016520(售楼处最新电话)招商林屿湖畔官方电话:400-9016-520✔(官方售楼处预约看房热线)
上传中
招商林屿湖畔售楼处电话:400-9016-520(官方售楼处电话)招商林屿湖畔售楼处电话:4009016520(售楼处最新电话)招商林屿湖畔官方电话:400-9016-520✔(官方售楼处预约看房热线)
上传中
招商林屿湖畔售楼处电话:400-9016-520(官方售楼处电话)招商林屿湖畔售楼处电话:4009016520(售楼处最新电话)招商林屿湖畔官方电话:400-9016-520✔(官方售楼处预约看房热线)
上传中
招商林屿湖畔售楼处电话:400-9016-520(官方售楼处电话)招商林屿湖畔售楼处电话:4009016520(售楼处最新电话)招商林屿湖畔官方电话:400-9016-520✔(官方售楼处预约看房热线)
上传中
招商林屿湖畔售楼处电话:400-9016-520(官方售楼处电话)招商林屿湖畔售楼处电话:4009016520(售楼处最新电话)招商林屿湖畔官方电话:400-9016-520✔(官方售楼处预约看房热线)
上传中
招商林屿湖畔售楼处电话:400-9016-520(官方售楼处电话)招商林屿湖畔售楼处电话:4009016520(售楼处最新电话)招商林屿湖畔官方电话:400-9016-520✔(官方售楼处预约看房热线)
招商林屿湖畔售楼处电话400-9016-520【象屿远香湖岸】位于嘉定新城远香湖CAZ规划红线内,这是五个新城目前仅有的官宣的中央活动区,定位为嘉定新城中的综合功能中心与城市形象集中展示区,集聚国际住区、大型商业集群、摩天地标集群、科创科研企业集群、国际教育文化等功能为一体。(规划内容来自上海嘉定微信公众号)招商林屿湖畔售楼处电话400-9016-520
招商林屿湖畔售楼处电话:400-9016-520(官方售楼处电话)招商林屿湖畔售楼处电话:4009016520(售楼处最新电话)招商林屿湖畔官方电话:400-9016-520✔(官方售楼处预约看房热线)如果说陆家嘴-外滩是整个上海的核心资源所在,那整个嘉定新城的核心资源就在远香湖中央活动区。
上传中
招商林屿湖畔售楼处电话:400-9016-520(官方售楼处电话)招商林屿湖畔售楼处电话:4009016520(售楼处最新电话)招商林屿湖畔官方电话:400-9016-520✔(官方售楼处预约看房热线)招商林屿湖畔售楼处电话400-9016-520所以,远香湖中央活动区,就是整个嘉定新城的门面和“城市会客厅”。这是一个“被倾注了嘉定新城所有高端资源”的片区!招商林屿湖畔售楼处电话400-9016-520
招商林屿湖畔售楼处电话:400-9016-520(官方售楼处电话)招商林屿湖畔售楼处电话:4009016520(售楼处最新电话)招商林屿湖畔官方电话:400-9016-520✔(官方售楼处预约看房热线)远香湖CAZ,总开发体量约531.4万㎡,规划公共服务建面约27.7万㎡,教育科研设计建面约71.6万㎡,商办体量约284.1万㎡。
招商林屿湖畔售楼处电话400-9016-520产业方面:作为嘉定新城塔尖地段的远香湖CAZ打造的是总部经济集群,涵盖汽车城、智能传感、瑞金创新中心精准医疗特色产业等招商林屿湖畔售楼处电话400-9016-520
上传中
招商林屿湖畔售楼处电话:400-9016-520(官方售楼处电话)招商林屿湖畔售楼处电话:4009016520(售楼处最新电话)招商林屿湖畔官方电话:400-9016-520✔(官方售楼处预约看房热线)远香湖CAZ效果示意图
公共服务方面:远香湖CAZ简直是城市地标集中营!嘉定图书馆、保利大剧院、五星级凯悦酒店早已名声在外。招商林屿湖畔售楼处电话400-9016-520
上传中
招商林屿湖畔售楼处电话:400-9016-520(官方售楼处电话)招商林屿湖畔售楼处电话:4009016520(售楼处最新电话)招商林屿湖畔官方电话:400-9016-520✔(官方售楼处预约看房热线)招商林屿湖畔售楼处电话400-9016-520同时,未来这里还将建设文化环、未来塔、活力谷等城市新地标建筑!(规划内容来自上海嘉定微信公众号)
· 招商林屿湖畔售楼处电话400-9016-520文化环:除了现有嘉定图书馆、保利大剧院、江南书院、尚画美术馆外,围绕着远香湖未来还将打造立体儿童乐园、航模活动中心、嘉昆太路演中心等一系列高能级文化设施。招商林屿湖畔售楼处电话400-9016-520
· 未来塔:位于CAZ的正中央,建成约300m,将成为嘉定甚至是上海西北第一高楼,是真正的C位地标(规划中)
· 活力谷:集商业和办公于一体的休闲创意街区。
招商林屿湖畔售楼处电话:400-9016-520(官方售楼处电话)招商林屿湖畔售楼处电话:4009016520(售楼处最新电话)招商林屿湖畔官方电话:400-9016-520✔(官方售楼处预约看房热线)
上传中
招商林屿湖畔售楼处电话:400-9016-520(官方售楼处电话)招商林屿湖畔售楼处电话:4009016520(售楼处最新电话)招商林屿湖畔官方电话:400-9016-520✔(官方售楼处预约看房热线)教育方面:这里有全龄段精英教育资源!
幼儿园方面,有公立学校远香湖幼儿园和高端私立中国中福会幼儿园。
中小学方面,上海知名的公办学校:上海市实验学校嘉定新城分校、上海交通大学附届嘉定实验学校、上海市嘉定区新城实验学校。
都是九年一贯制的学校,也都是嘉定最好的顶级教育资源。
招商林屿湖畔售楼处电话:400-9016-520(官方售楼处电话)招商林屿湖畔售楼处电话:4009016520(售楼处最新电话)招商林屿湖畔官方电话:400-9016-520✔(官方售楼处预约看房热线)
上传中
招商林屿湖畔售楼处电话:400-9016-520(官方售楼处电话)招商林屿湖畔售楼处电话:4009016520(售楼处最新电话)招商林屿湖畔官方电话:400-9016-520✔(官方售楼处预约看房热线)上海市实验学校嘉定新城分校实景图综上所述
招商林屿湖畔售楼处电话400-9016-520
作为远香湖CAZ规划红线内最后一块住宅用地,招商林屿湖畔错过不再。
未来业主将于城市地标为邻,享受到的必然是与国际接轨的潮流生活!
当然,即使着眼于现在,项目的生活配套也足够丰盛!
招商林屿湖畔售楼处电话:400-9016-520(官方售楼处电话)招商林屿湖畔售楼处电话:4009016520(售楼处最新电话)招商林屿湖畔官方电话:400-9016-520✔(官方售楼处预约看房热线)招商林屿湖畔售楼处电话400-9016-520商业方面:项目周边大体量商业体环伺,包括西云楼、宝龙广场、万达广场、大融城、理想之地配套商业(在建)、吉宝绿地缤纷城等近40万方商业。略远些还有嘉定目前的商业地标约33万方的印象城Mega。招商林屿湖畔售楼处电话400-9016-520
上传中
招商林屿湖畔售楼处电话:400-9016-520(官方售楼处电话)招商林屿湖畔售楼处电话:4009016520(售楼处最新电话)招商林屿湖畔官方电话:400-9016-520✔(官方售楼处预约看房热线)医疗方面:周边有三甲医院瑞金医院北院、嘉定区妇幼保健院、嘉定中心医院、上海嘉定中医医院嘉定新院等优质医疗资源,护航家人健康。
上传中
招商林屿湖畔售楼处电话:400-9016-520(官方售楼处电话)招商林屿湖畔售楼处电话:4009016520(售楼处最新电话)招商林屿湖畔官方电话:400-9016-520✔(官方售楼处预约看房热线)嘉定新城核心 一线“湖景+河景”
远香湖4.0迭代湖畔奢居产品
【招商·林屿湖畔】
加推建面约112-165㎡高层/叠墅
均价55776元/㎡ 10月24日认购招商林屿湖畔售楼处电话400-9016-520
招商林屿湖畔售楼处电话:400-9016-520(官方售楼处电话)招商林屿湖畔售楼处电话:4009016520(售楼处最新电话)招商林屿湖畔官方电话:400-9016-520✔(官方售楼处预约看房热线)
声明:本文由入驻焦点开放平台的作者撰写,除焦点官方账号外,观点仅代表作者本人,不代表焦点立场。


