上海崇明【光明墅】较新更新-介绍-概况-面积-价格-热线电话
扫描到手机,新闻随时看
扫一扫,用手机看文章
更加方便分享给朋友
崇明岛【光明墅】
售楼处电话:400-886-1718【营销中心】
看房提前来电预约登记
上实名校为邻 5站直达金桥CBD
建面约90~120㎡精装叠墅
均价3.1万/㎡ 总价246万起
崇明是“河口之岛”,是全世界较大的河口冲积岛,也是中国第三大岛,素有“长江门户、东海瀛洲”的美称,作为上海重要的生态屏障,拥有东滩国际重要湿地、东滩鸟类高级自然保护区和长江口中华鲟自然保护区,被联合国环境规划署誉为“太平洋西岸难得的净土”。
崇明岛实景图
依据“十三五”规划,光明墅所处的陈家镇更是崇明高级生态岛建设的旗帜,肩负着建设高级生态城镇标杆的重要使命。
上海长江隧桥的建成并通车后,陈家镇南距上海市中心城区约45公里,成为上海中心城区功能向崇明岛辐射的最近点。

随着区域内综合交通不断完善,2019年12月轨道交通崇明线在陈家镇贝云路与繁郁路交界处正式启动建设,将于2023年完成建设通车运行。陈家镇的成熟未来,足以可见。
【光明墅】正是在较好的时期由光明地产倾力打造。光明地产作为一家以大地情怀,海派精神为企业精神的开发企业,自成立以来依循“立足精耕上海,深耕城市能级高、发展潜力大的城市,积极拓展符合企业特点的新模式、新业务、新市场,坚持多元化发展转型之路”的发展战略。公司开发足迹遍布十二省二市,累计开发各类住宅、商业办公面积6000多万平方米。作为中国房地产开发百强企业,再次匠心锻造崇明标杆人居项目——光明墅,相信在质量和品质上必将更加精益求精。
【光明墅】在吸取之前开发的著名楼盘的优点的同时进一步在产品上进行升级,旨要打造成光明地产2020年的标杆低密住宅作品。
项目占地约约7.2万㎡,容积率仅1.01,是一座由39幢的叠墅组成的低密度社区。
效果图
项目采用源于扎哈风格的现代新中式建筑风格,使整体建筑形态更加简洁大方。
△效果图
小区景观围绕“一心、一环、两轴、N庭”的设计理念。申字围合和对称式建筑的布局诠释了中式韵味与现代材质的优质融合,强化出主题空间的仪式感,让整个项目更加尊贵气派
“一心”——位于小区中央的阳光草坪、核心景观会客斤;“一环”——小区中央设置环形夜光慢跑跑道;“两轴”——分为艺术文化轴和社区生活轴;“N庭”——在小区内设有多个运动休息及会客的绿化景观庭院,每个庭院的绿化设计都不相同各有特色。
△核心景观厅效果图
△夜光慢跑跑道效果图
△中轴景观效果图
△效果图
户型优势主要为整体户型方正面进深设计合理,动静分离布局、室内面积利用率高,下叠带地下室且空间大,各种户型都为南向卧室,部分户型甚至拥有南向五开间的面宽尺度,上下2层的南向面宽大采光好。
▼ B户型 建面约90㎡
▼ E户型 建面约90㎡
建面约90㎡下叠样板间照片
▼ G户型 建面约120㎡
项目周边配套
教育资源方面:800米距离内就坐落有东滩思南路幼儿园、上海市实验学校附属东滩学校两座市级名校。市区难以企及的高端教育资源,在这里可轻松拥有。
上海市实验学校附属东滩学校
上海市实验学校附属东滩学校是崇明陈家镇国际生态实验区的一所九年一贯制的崭新学校,由上海市实验学校委托管理。学校的设计融合东西方文化的同时,还保留高级生态岛的地方特色,集教育、生活、生态、环保于理念之中。
上海市东滩思南路幼儿园是全日制公办幼儿园,占地面积约1.4万平方米,总建筑面积8千多平方米。幼儿园积聚黄浦区思南路幼儿园几十年“思优”教育的精粹,在课程设计上重点体现学前教育生态特征;采用“名校+新校”的模式,引进市区优质教育资源,通过市区名校委托管理的方式,联手打造崇明的高品质学校,让崇明的孩子在自己的“家门口”就能享受优质教育。
上海市东滩思南路幼儿园
商业配套方面: 项目周边有农工商超市、上海华联超市、名岛生活广场,涵盖:肯德基、瀛洲影视以及各大饭店。另外还有金茂凯悦、由由喜来登等五星级酒店
崇明金茂凯悦酒店
医疗资源方面: 距项目3公里左右,就有一所乡镇卫生院,以及堡镇的崇明第二医院和堡镇人民医院。
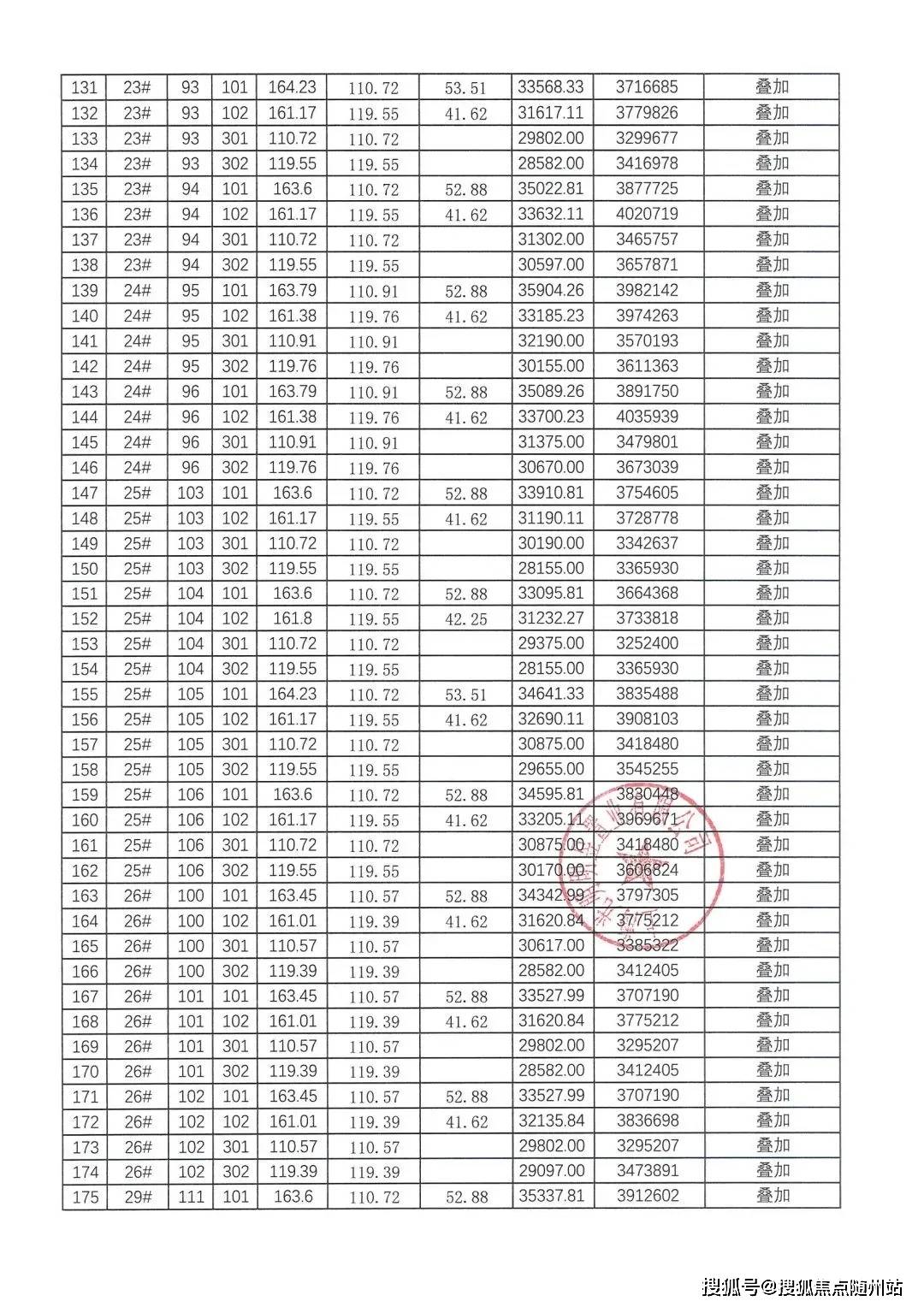
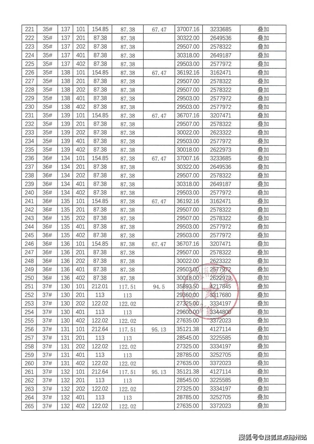
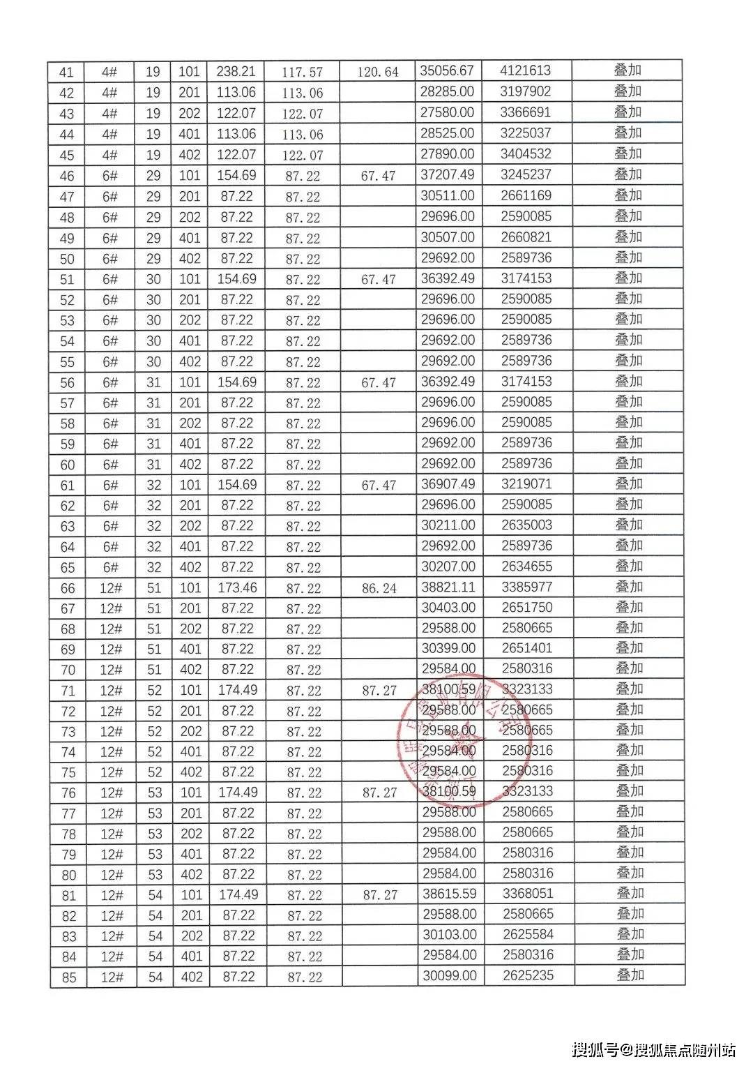
一房一价表如下:
崇明岛【光明墅】
上实名校为邻 5站直达金桥CBD
推出建面约90~120㎡精装叠墅
均价3.1万/㎡ 总价246万起!
崇明岛【光明墅】
售楼处电话:400-886-1718【营销中心】
看房提前来电预约登记
声明:本文由入驻焦点开放平台的作者撰写,除焦点官方账号外,观点仅代表作者本人,不代表焦点立场。


