宝业活力天境售楼处-宝业活力天境(2025·宝业活力天境最新)楼盘网站-房价-户型-图文介绍
扫描到手机,新闻随时看
扫一扫,用手机看文章
更加方便分享给朋友
上海宝业活力天境售楼处电话:400-8118-224
案场预约制 看房需提前来电预约登记
温馨提示:点击上方号码可直接拨打电话
请务必致电与销售确认时间,仅预约客户可进入销售现场,感谢您的支持
青浦白鹤「宝业·活力天境」售楼处电话✆:400-8118-224✆二期正在热销中!推出建面约86-95㎡两房三房,均价约2.8万/㎡!

项目基本信息
项目名称:宝业·活力天境售楼处电话✆:400-8118-224✆
备案名:宝业活力佳苑
开发商:上海宝延房地产开发有限公司
产权年限:70年
交房标准:精工交付
用地面积:22309.2㎡
容积率:2
绿地率:38%
组成结构:高层
户型面积:建面约79㎡、建面约92㎡
好房子 宝业造
「宝业·活力天境」售楼处电话✆:400-8118-224✆近50载大国工匠,港交所上市集团,财富中国500强,拥有9大建筑实验室、4大研发中心、35个建筑科技产业园,荣获41项中国建筑最高奖鲁班奖、48项国优奖等多重奖项,采用德国工业4.0智能智造生产线,开发集成高品质、工业化建筑约5000万方,覆盖绿色、健康、智慧各类建筑。

【匠心工艺】宝业科技“百年宅”
「宝业·活力天境」售楼处电话✆:400-8118-224✆纵观白鹤发展历程,近十余年人居旧貌焕新,以宝业集团2022旗舰力作——宝业活力天境售楼处电话✆:400-8118-224✆为先锋,实现健康为先导的跨越式发展。
4大维度23项科技,力筑“百年宅”

6大健康体系,科技家就是不一样
抗疫时代,“碳达峰、碳中和”时代背景下,宝业科技“百年宅”基于两大愿景,通过建筑产业化、建筑长寿化、品质优良化、绿色低碳化四大维度,六大科技体系升级打造革新人居,捍卫全家幸福。

【活力社区】24小时剧场,海绵景观社区
24小时生活剧场,开启全天候绿色生活美境「宝业·活力天境」售楼处电话✆:400-8118-224✆

海绵城市为家做“底盘”,打造自然循环之下的生态社区

户型图及样板间照「宝业·活力天境」售楼处电话✆:400-8118-224✆

「宝业·活力天境」售楼处电话✆:400-8118-224✆
客厅与餐厅连为一体,约4.8米大面宽设计,外连观景阳台,拥揽四季的人生景致。
L型厨房人性化设计,符合人体工学,也使得操作更为方便。
卧室做到了一南,一北,南向卧室约11.2㎡,且有飘窗设计,享受阳光沐浴。
「宝业·活力天境」售楼处电话✆:400-8118-224✆
「宝业·活力天境」售楼处电话✆:400-8118-224✆

「宝业·活力天境」售楼处电话✆:400-8118-224✆
1、约95㎡的三房,南北通透,全明设计,三开间朝南,户型方正。
2、餐客厅一体化设计,空间合理利用,功能区域分开,无论是休憩还是齐聚一堂,都有空间畅想。
3、主卧套房设计,带有独立卫生间,维护了家人间的私密性,且提升主人的尊荣感。
「宝业·活力天境」售楼处电话✆:400-8118-224✆
项目区位配套
长三角一体化“几何中心”
上海2035规划中提到,上海要成为具有全球影响力的长三角城市群的核心城市,基本建成“中心辐射、两翼齐飞,新城发力、南北转型”的空间新格局。
从战略空间看,「宝业·活力天境」售楼处电话✆:400-8118-224✆青浦处于中国国际进口博览会、虹桥国际开放枢纽、长三角生态绿色一体化发展示范区的战略叠加区。
泛长三角区域“几何中心”白鹤镇作为长三角一体化先行示范区、“安花白”节点型城市,将借助区位优势,承接安亭“世界级汽车产业中心”的部分功能。

【交通便捷】嘉青松金线助力腾飞
市域铁路:「宝业·活力天境」售楼处电话✆:400-8118-224✆未来市域铁路嘉青松金线,将贯穿嘉定、青浦、松江和金山,届时白鹤将与青浦新城直接连通,并换乘轨交17号线和沪苏嘉城际线。
双维交通:「宝业·活力天境」售楼处电话✆:400-8118-224✆坐享轨交11号线与轨交17号线青浦“纵贯线”交通辐射,坐享长三角节点交通优势。

【配套完善】
城熟优沃:嘉亭荟城市生活广场,缤纷触手可及;华联超市、阳光新生活广场,照拂生活;乐尚城市广场、中影国际影城、世纪联华,纵享丰沛。
书香为伴:「宝业·活力天境」售楼处电话✆:400-8118-224✆紧邻白鹤中小学、白鹤幼儿园、赵屯小学,朗朗读书声,传递书香雅韵。
白鹤中学:「宝业·活力天境」售楼处电话✆:400-8118-224✆始建于1965年,上海市先进集体、市中学生行为规范示范校、区教育系统先进集体。
白鹤小学:上海市教科研先进集体、上海市安全文明校园、青浦区文明单位。
赵屯小学:创办于1868年,至今已有137年历史。是青浦区有史记载的最古老的学校之一。上海市素质教育实验学校。
白鹤幼儿园:公办二级一类幼儿园。
贴身养护:「宝业·活力天境」售楼处电话✆:400-8118-224✆约600米社区卫生服务中心,贴身关怀。

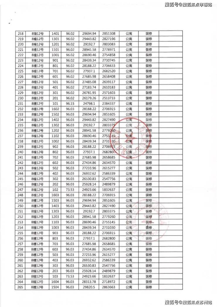
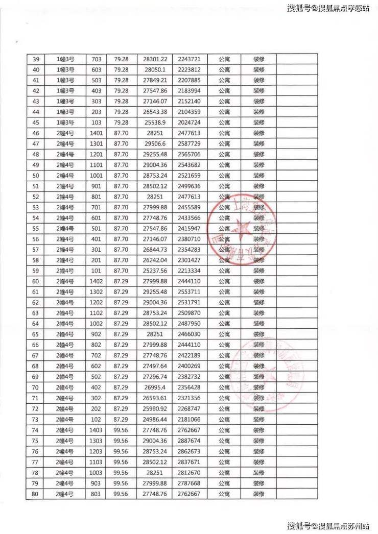
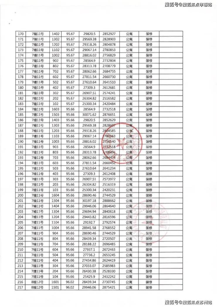
一房一价表「宝业·活力天境」售楼处电话✆:400-8118-224✆
「宝业·活力天境」售楼处电话✆:400-8118-224✆
「宝业·活力天境」售楼处电话✆:400-8118-224✆
「宝业·活力天境」售楼处电话✆:400-8118-224✆
🏠 避坑 1:产权性质是 “生死线”
40 年产权公寓别碰:没有学区、税费高、难转手,未来大概率砸手里
认准 70 年住宅:流通性强,增值潜力远甩公寓几条街,置换时更有底气
🏠 避坑 2:地段>楼盘>朝向,顺序别搞反!
好地段 = 稀缺资源:优先选地铁 / 学校 / 商业 / 医疗配套成熟的区域,郊区 “规划中” 的饼别吃
老破小慎入:除非占 “顶级学区” 或 “核心地段”,否则难增值还难住
🏠 避坑 3:户型选 “功能多” 不选 “空间大”
同等面积多一房:100㎡三房>100㎡两房,多一个功能间,未来出租 / 自住都更香
拒绝 “奇葩户型”:暗卫、手枪型、厕所对大门的户型,住起来闹心还难卖
🏠 避坑 4:楼层别信 “凤凰层”“楼王” 噱头
高层选中间层:7-20 层性价比最高,避开 1 楼(潮湿)、顶楼(漏水)、2 楼(反水)、设备层(噪音)
洋房随意选:低密度社区楼层影响小,重点看楼间距和采光
🏠 避坑 5:物业好坏决定房子 “溢价率”
认准品牌物业:万科、龙湖等老牌物业,小区维护好,未来比周边房价高 5%-10%
物业费别贪便宜:低于 1.5 元 /㎡的小区,大概率安全差、绿化烂、服务缩水
🏠 避坑 6:期房 / 精装房风险高,能躲就躲
优先买现房 / 准现房:看得见摸得着,避免烂尾、货不对板,着急入住选毛坯房更稳妥
别被样板间迷惑:开发商装修用的材料大概率 “减配”,后期整改费时费钱
🏠 避坑 7:贷款合同藏 “暗雷”,签字前必查!
提前还款条款:确认是否有 “全期限违约金”,多数银行 1-3 年内还款收违约金,超过可免费还
利率选择:当前利率低(2.8%-4%)选固定利率,高利率环境选浮动利率,每 3 个月调整一次更灵活
🏠 避坑 8:三四线 / 郊区房慎买,别为 “面子” 买单
远离 “人口外流城市”:三四线多套房只会砸手里,在大城市工作就买大城市的房,增值潜力碾压老家
郊区买房看地铁:没地铁的郊区盘 =“睡城”,通勤 2 小时以上直接 pass
上海宝业活力天境售楼处电话:400-8118-224【售楼中心热线】营销中心热线400-8118-224售楼处地址4008118224楼盘项目全面介绍,本电话为开发商提供线上预约售楼电话,楼盘项目全面介绍(包含楼盘简介,均价,房价,现房,期房,别墅,叠墅,大平层,价格,楼盘地址,户型图,交通规划,备案价,备案名,项目配套,样板间,开盘时间,认筹时间,楼盘详情, 官方售楼处电话,最新消息,最新详情,周边配套,一房一价,最新进展等详情咨询)楼盘详情丨价格丨更多优惠丨机不可失丨欢迎致电丨诚邀品鉴!售楼处位置丨特价房丨工抵房丨剩余房源丨户型图丨最新消息丨免责声明:将文章内容综合来源于网络、只作分享,版权归原作者所有!!如有侵权,请联系我们,我们第一时间处理如有问题欢迎来电咨询,专业一对一热情服务,让您用专业眼光去买房。
声明:本文由入驻焦点开放平台的作者撰写,除焦点官方账号外,观点仅代表作者本人,不代表焦点立场。


