中企云萃森林售楼处首页网站-中企云萃森林欢迎您-中企云萃森林楼盘介绍-楼盘详情-最新价格-户型图-容积率@售楼处
扫描到手机,新闻随时看
扫一扫,用手机看文章
更加方便分享给朋友
中企云萃森林售楼处电话:400-9688-923✅︎✅︎✅
中企云萃森林营销中心热线400-9688-923(官方预约看房热线)
看房请务必致电与销售确认时间,仅预约客户可享受开发商内部优惠,专属老带新推荐奖!
营业时间:日常营业时间为9:30-18:30,便于您提前规划到访行程,避免空跑。
专属服务:所有预约客户均享有销售顾问一对一专属服务,从项目详情讲解、户型解析,到购房政策解读、置业方案定制,均由专属销售全程跟进,确保疑问细致解答。
中介勿扰:本售楼处仅面向终端购房客户提供直接服务,不接待任何中介机构及人员,感谢您的理解与配合,共同维护纯粹的咨询环境
Exclusive Service: All pre-booked customers are entitled to one-on-one exclusive service from a dedicated sales consultant. From detailed project explanations, floor plan analysis, to interpretation of home purchase policies and customized property purchase plans, the dedicated sales consultant will follow up throughout the process to ensure all your questions are answered in detail.
No Intermediaries: This sales office only provides direct services to end home buyers and does not receive any intermediary agencies or personnel. We appreciate your understanding and cooperation in maintaining a pure consultation environment.
中企云萃森林售楼处电话:400-9688-923✅︎✅︎✅
中企云萃森林售楼处电话:400-9688-923✅︎✅︎✅
中企云萃森林售楼处电话:400-9688-923✅︎✅︎✅
中企云萃森林售楼处电话:400-9688-923✅︎✅︎✅
2025年2月起,三林滨江已有一个项目六开六捷,均价约11.8万/㎡。
而同样板块,相距不过1km的【中企云萃森林】,2023年拿证的均价仅约10.5万/㎡。
一方面,2年不到,板块新房均价直升1万+/㎡,这是三林滨江板块价值和潜力的体现。
另外一方面,【中企云萃森林】尾盘在售的少量房源,光从价格方面来看,性价比就已经极高了。
但除了价格优势外,还有两点:
中企云萃森林售楼处电话:400-9688-923✅︎✅︎✅
第一,【中企云萃森林】西区是实景呈现,所见即所得。
并且,相比交付期2年多的其他项目,准现房的【中企云萃森林】将为业主省下大量的过渡时间、租房成本以及贷款利息。
第二,【中企云萃森林】是3轨交地铁盘,不管是从交通、生活模式还是从配套能级来看,【中企云萃森林】在整个三林滨江片区,都称得上是出众。
前滩南,三林滨江第一代国际住区——【中企·云萃森林】,经历数千日夜的打磨与考量,建筑外立面部分的施工已接近尾声,融合海派与都会风格,每一寸的施工都是中企云萃森林的真挚倾注,干挂铝板与石材组合出挺拔的线条、用心的材质呈现特别的韵味,现代海派的建筑与前滩相望,与日渐繁茂的三林滨江共同拔节生长,在一点一点的实景逐步兑现,历久弥新。
中企云萃森林售楼处电话:400-9688-923✅︎✅︎✅
现场开放的258弄5幢15单元归家门庭示范段,在呈现可鉴的实景之际,以眼见为实的还原力承载生活力,将归家生活的舒适感和仪式感,实地展现在眼前柔和的灯光与岩板搭配,轻奢考究又不失内敛,以比对效果图的真实落地还原度,在现场提前感受到生活的质感,
中企云萃森林售楼处电话:400-9688-923✅︎✅︎✅
实景图抢先看!
中企云萃森林售楼处电话:400-9688-923✅︎✅︎✅
三林滨江以崭新的城市界面、滨江留白,生态基底,以眼见为实的规划落地速度,承接前滩CAZ ,以世博-前滩-呈现着“最海派、最生态、最未来的21实际海派生活实践区的期待,三林滨江或将成为未来黄浦江畔新的能量增长极,的另一个高端住宅片区。
【中企·云萃森林】,择三林滨江而生,世界级滨水功能复合带与徐汇滨江隔江而望,轻松抵达前滩,国际城市的繁华荟萃。
作为三林滨江板块内的首发住宅,【中企·云萃森林】正脚踏实地,以“眼见为实”的速度,用看得见的品质和用心,在以蓝图还原力的基础上,展现更好的生活。
中企云萃森林售楼处电话:400-9688-923✅︎✅︎✅
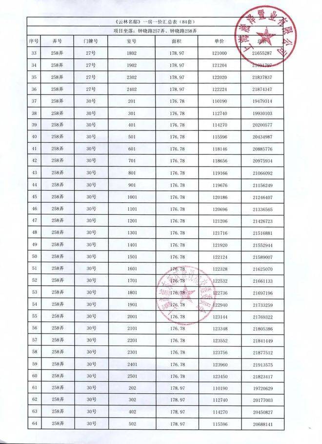
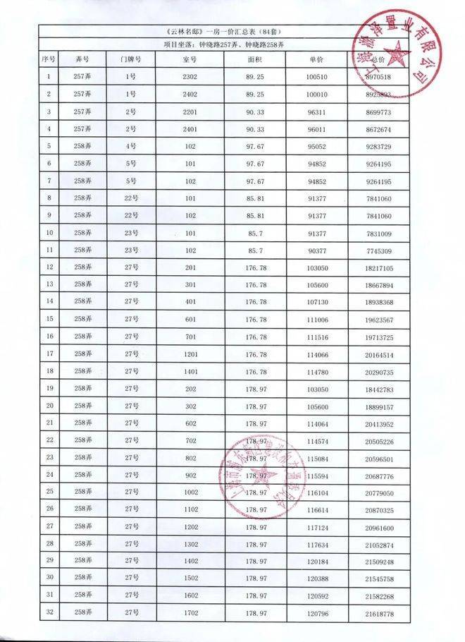
目前约85-90-98-175㎡2-4房在售
均价约10.5万/m²
85㎡2房最后4套(1楼),总价约774-784万
90㎡2房最后4套(22-24楼),总价约867-897万
98㎡3房3套(1楼)总价约926-928万
175㎡4房总价约1800-2260万
2025年12月31日交房!
三林滨江南东区示意图
中企云萃森林售楼处电话:400-9688-923✅︎✅︎✅
中企云萃森林售楼处电话:400-9688-923✅︎✅︎✅
中企云萃森林售楼处电话:400-9688-923✅︎✅︎✅
中企云萃森林售楼处电话:400-9688-923✅︎✅︎✅
中企云萃森林售楼处电话:400-9688-923✅︎✅︎✅
户型图赏鉴
中企云萃森林售楼处电话:400-9688-923✅︎✅︎✅
建面约90㎡2房,两间卧室的尺度感都要高于寻常该面积段户型。主卧里面做了一个“灵动空间”,可做衣帽间、书房或者游戏房;卫生间干湿分离,有效提升了使用效率。
这样一个2房户型,既保证了舒适度,总价还控制在千万以内,给“预算刚需”的购房者一个很好的上车机会。
中企云萃森林售楼处电话:400-9688-923✅︎✅︎✅
建面约98㎡3房:可以说这款户型满足了市场对刚需、刚改入门面积的所有需求,经典的三开间朝南飞机户型设计,最大化利用空间,减少面积浪费,整体格局方正南北通透。
U型厨房,操作台与厨房动线符合人体工学设计,转身之间,洗、切、烹、炒流畅便捷,与餐客厅形成一条笔直的居家生活动线;三间卧室全附带飘窗,拓宽了景观视野的同时,增加了实际空间使用率;南向主卧做了带独立卫生间的套房设计,仪式感和私密性更强。
在当下100㎡及以下面积段占绝大多数的情况下,建面约123㎡4房本就十分稀缺。而在产品设计上更加符合全龄段各种家庭结构的居住需求。
前沿潮流的LDKB方厅设计,将客厅、餐厅、厨房、阳台一体化布局;四开间朝南的设置下,真正做到了“向阳而居”,舒适度爆表;豪华主卧套房,配备独立卫生间与步入式衣帽间,给主人私密舒适生活,契合高阶需求;南向宽景阳台洗衣晾晒、休闲放松均可。
中企云萃森林售楼处电话:400-9688-923✅︎✅︎✅
中企云萃森林售楼处电话:400-9688-923✅︎✅︎✅
全部房源精装交付,中央空调、地暖和新风三大件全都有!
中企云萃森林售楼处电话:400-9688-923✅︎✅︎✅
中企云萃森林售楼处电话:400-9688-923✅︎✅︎✅
中企云萃森林售楼处电话:400-9688-923✅︎✅︎✅
中企云萃森林售楼处电话:400-9688-923✅︎✅︎✅
中企云萃森林售楼处电话:400-9688-923✅︎✅︎✅
土拍回顾及规划
2021年10月,中华企业&世博土控联合体以121.96亿,拿下东区9个单元的其中4幅住宅用地开发权【即中企云萃森林】,总建筑面积约19.42万方。
这4副地块分别是三林楔形绿地东区(含部分配套开发用地)15号(05-11,住宅)、17号(05-14,住宅)、19号(06-07,商业)、20号(08-02,住宅)。
中企云萃森林售楼处电话:400-9688-923✅︎✅︎✅
根据设计方案显示,两幅住宅地块(15号、17号)共计建造16栋8-25层住宅楼以及相关的配套实施。规划住宅1179户。
中企云萃森林售楼处电话:400-9688-923✅︎✅︎✅
传承海派经典美学,传承经典,融合海派与都会风格,重构建筑美学,简单、秩序、几何之美,经典三段式建筑立面,线条精致。
项目外立面:石材基座+仿石铝板+局部仿石涂料。
中企云萃森林售楼处电话:400-9688-923✅︎✅︎✅
采用超低能耗建筑技术体系,在节能、舒适等方面,都采用了较高标准,将带来更经济、更静谧、更舒适、更健康的人居体验。
中企云萃森林售楼处电话:400-9688-923✅︎✅︎✅
景观方面开发商更是为业主精心打造了四轴九园私属空间:
1条开放式生态公共轴、1条社区礼遇生活轴、2条林荫生活轴。这四条主轴完美呼应了三林滨江外部优秀的生态环境,让业主有更好的居家体验。
中企云萃森林售楼处电话:400-9688-923✅︎✅︎✅
另外,九大园林的配置,让社区的每一处都布满美景。如果说大多数的楼盘是在小区内做景观,那「中企·云萃森林」更像是在森兰中做艺术品。
李先生,您下午大概几点去啊
生活配套
中企云萃森林售楼处电话:400-9688-923✅︎✅︎✅
交通方面:三轨环绕 滨江稀缺TOD
在上海,资源也有等级划分的。真正处于价值巅峰的核心资源,TOD无疑是重中之重!
值得一提的是,「中企云萃森林」还是一个三轨交地铁上盖的超级TOD枢纽!
项目周边除了已经通车的8号线之外,还有19号线(在建中)和26号线(规划中)。
效果图,仅供示意
中企云萃森林售楼处电话:400-9688-923✅︎✅︎✅
地铁8号线:于三林滨江设有凌兆新村站,未来,业主可通过小区东侧的商业综合体直通地铁站。
地铁19号线:近期公布了招标计划,总投资约934亿,未来也将途径「中企云萃森林」所在的凌兆新村站,预计明年启动建设。
19号线规划线路图,仅供示意
中企云萃森林售楼处电话:400-9688-923✅︎✅︎✅
当然,对于三林滨江来说,三轨交仅仅只是一个开始,因为这里还坐拥“南北高架+金色中环”这强大的交通基座。
在此之前,同样背靠“南北高架+金色中环”一飞冲天的板块有两个。
一个是静安大宁,如今二手成交高达16万/㎡;
另一个是浦东前滩,如今二手成交高达18万/㎡。
中企云萃森林售楼处电话:400-9688-923✅︎✅︎✅
三条地铁线路,未来出门即轨交,1站前滩、4站徐汇滨江,新天地、陆家嘴、张江等区域也都在业主的生活圈内,再加上一横一纵的中环+南北高架。
真正实现转身即世界。
商业方面:「中企云萃森林」本身就是一个集商业、时尚休闲、文娱生活、生态人居为一体的大型TOD综合体,下楼即享繁华配套。
再加上三林滨江整体商业用地规模超29万平方米,商业总体量远超过晶耀前滩和前滩太古里。
据了解,华润旗下的万象汇已签约将入驻项目东侧TOD商业地块,为整个项目注入更多的活力与品牌效应。
宁波华润万象汇实景图
中企云萃森林售楼处电话:400-9688-923✅︎✅︎✅
除此之外,项目北侧就是前滩。
尤其对于地铁上盖的「中企云萃森林」业主来说:太古里、晶耀前滩、太古汇(在建中),信德文化中心(在建中)香格里拉、四方城(在建中)、莱佛士国际医院等,都在业主的生活圈内。
前滩太古里实景图
另外,魔都最新的重磅网红打卡地,总面积超21.5万㎡的前滩31全新商业文化综合体也已经开业。
中企云萃森林售楼处电话:400-9688-923✅︎✅︎✅
前滩31实景图
中企云萃森林售楼处电话:400-9688-923✅︎✅︎✅
教育资源:在三林滨江,规划中有6块教育用地!更重要的是,这些教育用地基本上距离中企云萃森林都不远(* 新房不承诺学区,最终以教育部门公布为准)
离学校近有什么好处?
对于孩子而言,每天上学完全不用着急;对于父母而言也省去了奔波接送的时间和精力。
当然,就算对学校没有需求的家庭,买一套近学校的新盘也是一个不错的选择!
示意图,数据来源:上海规划资源
中企云萃森林售楼处电话:400-9688-923✅︎✅︎✅
生态资源:三林滨江总面积约446.2公顷,其中生态绿地约240公顷,绿化覆盖率达到65%!
作为上海市中心城8片楔形绿地之一,三林滨江绿地融合了公园城市、森林城市、湿地城市空间生态基础,规划为功能丰富的各类公园。
种种指标都在说明,这里的自然生态环境非常优秀,放眼上海主城区也是独一无二的存在,非常适合有高标准要求的改善型客户。
中企云萃森林售楼处电话:400-9688-923✅︎✅︎✅
中企云萃森林售楼处电话:400-9688-923✅︎✅︎✅
中企云萃森林售楼处电话:400-9688-923✅︎✅︎✅
中企云萃森林售楼处电话:400-9688-923✅︎✅︎✅
中企云萃森林售楼处电话:400-9688-923✅︎✅︎✅
有没有想过,在离上海不到两小时车程的地方,藏着一座既能让历史爱好者沉迷、又能让自然风光控尖叫的宝藏小城?这里没有乌泱泱的旅游团,没有千篇一律的仿古商业街,有的只是斑驳城墙上的爬山虎、千年古寺里的楸树香,还有湖面倒映着虞山的晨雾。今天要说的常熟,就是这样一座把“江南福地”四个字刻进骨子里的城市。跟着我一起解锁常熟最值得打卡的8个经典景点,让你避开人挤人的套路,玩出本地人都点赞的深度体验!
---
第一站:虞山国家森林公园——山不在高,有故事则灵
虞山海拔只有263米,但千万别小瞧它。这座山就像一本摊开的立体历史书,随便一块石头都可能藏着商周时期的故事。比如半山腰的仲雍墓,埋着吴国第二位君主,墓前的石马和翁仲(石像生)虽然风化严重,但站在这里仿佛能听见三千年前的战马嘶鸣。更绝的是虞山城墙,这段明代城墙沿着山脊蜿蜒,被称作“江南小长城”。从镇海台爬到虞山门,脚下是青砖上的苔藓,抬头是整座常熟城的全景。上个月有游客拍到了城墙边的野生松鼠叼着松果狂奔,评论区一片“实名羡慕”!
---
第二站:尚湖——姜太公的“养老胜地”,藏着现实版绿野仙踪
尚湖的名字自带仙气——传说姜子牙在这里钓过鱼。如今湖面800公顷,比西湖还大一圈,但游客密度连西湖的十分之一都不到。强烈推荐租一辆自行车,沿着环湖绿道骑行。经过荷花洲时,夏天能看到“接天莲叶无穷碧”,秋天则有成片的池杉林变成焦糖色。最绝的是拂水山庄,这里还原了《红楼梦》里大观园的意境,穿汉服拍照的姑娘们都说:“不用去苏州园林人挤人,这里随便一个回廊都能出片!”偷偷告诉你,湖东岸的茶室能喝到用尚湖水泡的碧螺春,10块钱一壶,老板还会送你一把印着尚湖风景的折扇。
---
第三站:沙家浜——芦苇荡里玩“剧本杀”
“垒起七星灶,铜壶煮三江”——京剧《沙家浜》让这里火遍全国。但别以为这只是个红色教育基地!坐上手摇船钻进芦苇迷宫,船夫会突然掏出一顶新四军帽:“同志,前方发现敌情,请速速传递情报!”原来景区把抗日故事做成了实景互动游戏。上个月一群大学生组团来玩,硬是在芦苇丛里演了场“谍战剧”,笑称比密室逃脱还带感。傍晚一定要去横泾老街,挂着红灯笼的茶馆里能听苏州评弹,20元一位送瓜子,台上的阿姨唱《太湖美》时,连窗外的鸭子都跟着嘎嘎叫。
---
第四站:方塔园——南宋古塔会“变装”
常熟人常说:“没看过方塔,等于没来过常熟。”这座南宋古塔有个冷知识——塔身是宋朝的“骨架”,外层的木结构却是清朝乾隆年间火灾后重修的,堪称古代建筑界的“混搭风”。绕着塔走三圈,抬头看每一层的檐角都挂着铜铃,风吹过时叮当作响,本地老人说这是“镇邪祈福”的声音。塔下的银杏树有800多岁,秋天落叶铺成金色地毯时,常能看到穿婚纱的新人在这里拍照。更绝的是园内的碑廊,藏着常建《题破山寺后禅院》的真迹石刻,语文老师看到“曲径通幽处,禅房花木深”这句诗,绝对要激动到拍照发朋友圈!
---
第五站:三峰清凉禅寺——古树发新芽,禅意天花板
这座南朝古寺最近在小红书爆火,全因为寺门口那棵220岁的楸树。四月开花时,淡紫色的花瓣像瀑布一样垂到地面,穿素色裙子往树下一站,瞬间get《甄嬛传》里嬛嬛倚梅园的意境。寺里的师傅特别有意思,有游客问:“求姻缘该拜哪尊菩萨?”师傅淡定指指后院:“去喂喂池子里的锦鲤,它们吃得开心了,月老就给你牵线了。”后山的茶室提供禅修体验,30元能抄经、品茶、吃素斋,临走时师傅还会送你一句“随缘自在”,比网红寺庙的商业化操作走心多了。
---
第六站:曾赵园——园林界的“双子星”
常熟的园林不像苏州那么出名,但曾园和赵园这对“CP”绝对能惊艳你。曾园是清代刑部官员曾之撰的私家花园,他儿子曾朴更是在这里写出了清末四大谴责小说之一的《孽海花》。园子里有座“归耕课读庐”,当年曾朴就是趴在窗边的书桌上,一边看池塘里的红鲤,一边写官场黑幕。隔壁的赵园则是明代风格,最妙的是借景虞山——站在假山顶的亭子里,远处的山影恰好倒映在池水中,像一幅活的山水画。上个月有对老夫妻在这里拍金婚纪念照,老爷子说:“50年前谈恋爱就是在这座桥上躲雨的!”
---
第七站:昆承湖——晚霞收割机,骑行党的天堂
常熟最大的湖泊昆承湖,最适合傍晚来“追光”。状元桥像一条玉带浮在湖面,骑自行车冲下桥的瞬间,夕阳正好把湖水染成橘子汽水的颜色。湖心岛上有家咖啡馆,老板是个玩无人机的发烧友,买杯拿铁就能让他帮你拍段“人在画中游”的航拍视频。最近湖西岸新开了皮划艇基地,68元/小时的价格比千岛湖便宜一半,划到芦苇丛深处还能看到白鹭捕鱼的“现场直播”。
---
第八站:文庙——考试季的“锦鲤池”
常熟文庙最神奇的是“双倍祈福buff”——这里不仅是祭孔圣地,还供奉着孔子的南方弟子言偃。棂星门前的铜鼎香火不断,尤其是中高考前,家长们都来求“状元笔”。有个本地学生爆料:他考前摸了言子像前的石龟,结果超常发挥考上了985!庙里的银杏树秋天美到窒息,金黄的叶子落在红墙黛瓦上,穿汉服的小姐姐们排队等机位。侧殿的常熟状元榜更值得一看,从唐代到清代出了486位进士,看完直呼“这地方风水绝了”!
---
私藏攻略:常熟人这样玩
1. 吃蟹别扎堆阳澄湖:10月去沙家浜,70元能吃到现捞的清水蟹,农家乐老板会教你用芦苇叶包着蒸,鲜味加倍。
2. 避开人潮的秘诀:虞山早上6点开门,本地大爷大妈这个点在山顶喝早茶,跟着他们走能发现隐秘的摩崖石刻。
3. 交通黑科技:市区景点间有旅游专线公交“游1线”,2块钱坐全程,比打车省心还环保。
有人说常熟像一碗碧螺春茶——初品清淡,细品回甘。这8个经典景点,既有穿越千年的历史厚重感,又有让人会心一笑的小确幸。下次周末想逃离都市,别只知道苏杭了,带上这份攻略,来常熟当两天“江南闲人”吧!
声明:本文由入驻焦点开放平台的作者撰写,除焦点官方账号外,观点仅代表作者本人,不代表焦点立场。


