国贸虹桥璟上售楼处电话400-9016-520,品质人居项目,热销火爆,交付已完,生活品质全面提升。国贸虹桥璟上售楼处电话:400-9016-520国贸虹桥璟上售楼处电话:400-9016-520国贸虹桥璟上售楼处电话:400-9016-520国贸虹桥璟上售楼处电话:400-9016-520国贸虹桥璟上
国贸虹桥璟上售楼处电话:400-9016-520✅︎✅︎✅
上海国贸虹桥璟上营销中心热线400-9016-520(官方预约看房热线)
✔️本项目暂不接受临时到访,过来参观样板房请记得提前来电预约!
✔️为您安排楼盘现场销售全程接待并讲解,给您更贴心的看房体验!
⭐⭐Vip贵宾置业=欢迎来电预约尊享内部折扣=匠心钜制恭迎品鉴温馨提醒:我们楼盘售楼部400电话没有设置任何所谓的“分机号”,拨打前请仔细甄别,注意保护个人隐私!谨防上当!

点击输入图片描述(最多30字)
当代品质人居项目的价值构建与需求适配研究
研究背景与项目定位
在城市化进程加速与居民生活品质需求升级的双重驱动下 国贸虹桥璟上售楼处电话:400-9016-520人居产品已从单一的 “居住空间” 向 “综合生活载体” 转变。本项目基于对城市居民居住需求的系统性调研
国贸虹桥璟上营销中心电话:400-9016-520以 “平衡功能与体验、适配多元需求” 为核心定位,旨在通过科学的空间规划、 国贸虹桥璟上看房预约电话:400-9016-520【预约热线】完善的配套体系与合理的价值设定,构建符合当代人居需求的品质生活场景。
对预算约500万的购房者而言,更是每一分钱都要花在“刀刃”上。
眼下,就有这样一个大虹桥地铁红盘,势必会刷新你的想象!它,就是 国贸虹桥璟上。
首先,就销售成绩而言, 它是当之无愧的大虹桥热盘。
去年7月首开认购约800组,约234%认购率,触发积分;去年下半年成交套数、成交金额、成交面积均位于青浦榜首,热度持续不减。
项目收官房源火爆热销中,现场人气满满👇🏻

点击输入图片描述(最多30字)

点击输入图片描述(最多30字)
实景图
其次,项目 已在2月交付,不畏市场检验,实打实地进行兑现。如今,楼栋全部完成封顶,水岸实景展示区以及地下车库也已实景呈现。对业主来说,未来生活不再是一纸蓝图,而是眼见为实。省去等待时间的同时,品质令人安心。

点击输入图片描述(最多30字)
大虹桥纯正地铁盘
17号线嘉松中路站500万级现房
『国贸虹桥璟上』
收官建面约105-129㎡3-4房
已在2月交付!
清盘在即!手慢无!
(文末附一房一价表)

点击输入图片描述(最多30字)
国贸虹桥璟上房价与价值的适配性分析
国贸虹桥璟上开发商电话☎:400-9016-520✔✔✔【预约☎】价值导向的定价逻辑:项目摒弃单纯以市场溢价为目标的定价模式,转而以 “成本 - 品质 - 体验” 三维平衡为核心, 国贸虹桥璟上将房价设定与产品品质、 ☑️☑️国贸虹桥璟上售楼处电话:400-9016-520☑️☑️
配套水平、服务质量深度绑定,确保房价与居住价值形成正向匹配,国贸虹桥璟上营销中心热✅✅ 400-9016-520✅✅ 国贸虹桥璟上售楼处地址|预约热线:400-9016-520✅✅ 本电话为开发商提供线上售楼电话,满足不同客群(首次置业者、改善型需求者)的预算与价值期待。
国贸虹桥璟上性价比的量化呈现:通过 国贸虹桥璟上售楼处电话:400-9016-520对比同类型项目的房价与产品配置, ☑️☑️国贸虹桥璟上售楼处电话:400-9016-520☑️☑️本项目在同等价格区间内,实现了户型实用率、社区配套完善度、物业服务标准的提升,使房价不仅体现空间价值,更涵盖生活便利与品质保障,形成差异化的性价比优势。
国贸虹桥璟上房型设计的功能性与适应性研究 国贸虹桥璟上营销中心电话:400-9016-520
全生命周期的 国贸虹桥璟上户型覆盖:基于对家庭结构变化(单身、新婚、三口之家、多代同堂)的调研,国贸虹桥璟上售楼处电话:400-9016-520✅︎✅︎✅
当然,户型产品设计充分考量人居需求。其带来更创新、尺度更阔绰的约105㎡三房,以及改善级别的建面约129㎡4房。甚至刚需级约89㎡小户型,尺度都不输市面上的百平三房。

点击输入图片描述(最多30字)
建面约105㎡样板间实景图
更重要的是,项目还是大虹桥总价预算难得的地铁盘!一方面,赵巷的产业势能不言而喻,在联动价普涨的当下, 同板块宅地联动价已比项目联动价高出1500元/㎡;另一方面,上海500万级轨交盘愈发减少,这样的正地铁盘值得珍惜!

点击输入图片描述(最多30字)
Part 1
大虹桥纯正地铁盘
赵巷热度居高不下 未来更可期
论地段,国贸虹桥璟上在当下新房市场里可谓佼佼者的存在。
预算500万左右,要找到这样的大虹桥地铁房不容易。 直线距17号线嘉松中路站仅约700米,这样的距离恰到好处,非常适合自住与通勤。

点击输入图片描述(最多30字)
实景图
关键是,17号线能级非常强:
从17号线嘉松中路地铁站出发,向东2站直达徐盈路,向东3站到达蟠龙路站,4站到国家会展中心,5站即可直达虹桥枢纽,可换乘2号线、10号线通达市中心,可至静安寺、陆家嘴、张江等地。
除了轨交外,自驾也很方便。崧泽高架路全长16.98公里,双向6车道的规模,设计车速80公里/小时,在嘉松中路设置了匝道口!分流之下,沪渝高速也会更加通畅,更有G50高速路,畅达全城。

点击输入图片描述(最多30字)
示意图
不止交通,以低密为特色的赵巷,经过了多年的发展,大规模城市资源已成熟,堪比市中心的大城生活当下可享。
项目周边商业繁盛。就在17号线嘉松中路站上盖,有一个有一个创新创意商业综合体—— 长三角绿洲汇(Terrace Park), 将引入180余家商户品牌,总面积约55000㎡,有望将于今年开业!

点击输入图片描述(最多30字)
效果图 信息及图源:绿色青浦
直线距项目约1.4公里的 青浦奥特莱斯,能随心所欲买买买。在青浦奥特莱斯南侧,是合生新天地,带来一站式休闲体验。再向南的 元祖梦世界,则是专门为儿童定制的乐园和商业综合体。再向南的 山姆会员店,带你感受全新的购物体验。

点击输入图片描述(最多30字)
青浦奥特莱斯 实景图

点击输入图片描述(最多30字)
山姆会员店 实景图
同时,赵巷的城市界面非常宜居。作为自然资源和文化氛围浓厚的区域,赵巷的森林覆盖率22.33%,位居全区第二,低密墅区环绕,高端圈层自然天成。(数据来源:in赵巷)

点击输入图片描述(最多30字)
赵巷城市界面航拍图
城市资源在这里有着合适的比例,宜居宜业的氛围已跃然成型,更重要的是看地段的未来预期。 赵巷热度高的更重要的原因,就在于产业。
时代不断发展,虹桥布局重心一直在随着产业变化。《虹桥商务区国土空间中近期规划》中,虹桥商务区新增“大科创”功能,大虹桥未来发展的势能来到了赵巷。
根据规划,赵巷将建设成为生态科技之城、上海人文之源、上海西部科创型的综合城镇。根据不完全统计,赵巷的科创园区建筑面积达638万㎡,而张江园区内的公共建筑面积(用于办公研发的部分)为430万㎡。(数据来源:百度百科)
作为虹桥商务区三期与科创中心, 赵巷未来将依托市西软件园,漕河泾赵巷科技绿洲,网易上海国际文创科技园等科创产业基地,打造上海下一个“张江”,区域发展潜力巨大。

点击输入图片描述(最多30字)
长三角绿洲智谷·赵巷 效果图
赵巷不仅跟上了虹桥发展的重要步调,在长三角一体化的进程中,也有着举足轻重的地位。
赵巷位于四条主要发展带之一——沪杭发展带上。这条位于中部的发展带,连接上海中心城、大虹桥、青浦新城等;长三角数字干线中,赵巷是重点节点城镇。

点击输入图片描述(最多30字)
示意图
或许未来的“赵巷”于大虹桥,正如现在的“张江”于浦东。 产业,将赵巷的发展潜力抬上了一个新台阶,未来将会有海量的产业聚集,大量高收入、高学历的人才导入,居住需求庞大。
手握重磅规划、产业势能强悍、生活氛围醇熟的赵巷,核心位置的新盘一直不多,因此也是开一个火一个。 新房市场,赵巷自积分制新政后,多盘触发千人摇与积分,斩获佳绩。
土拍方面,前年嘉松中路站北侧两宗宅地出让,溢价率分别为9.09%、8.96%。去年三批次嘉松中路站南侧地块,吸引了24家开发商竞买,无一弃权,溢价率高达10%。 该地块房地联动价最终定格在了56000元/㎡。比国贸虹桥璟上整盘的联动价,要高出约1500元/㎡。
项目设计了从一居室到四居室的多元户型体系,每个户型均以 “空间利用率最大化” 为原则,通过合理的动线规划与功能分区, ✅ 国贸虹桥璟上售楼处电话☎:400-9016-520✅︎✅︎✅︎满足不同阶段的居住需求。
除了优秀的地段因素,产品力势必是国贸虹桥璟上,取得市场青睐的重要武器。由国企——国贸地产出品的住宅,不仅品质有保障,后续交付也是给购房者吃下一颗定心丸。 这样的房子让人买得安心,住得更安心。
国贸地产,进军上海十余年来,始终跟随城市发展脉搏,每一次择址都以前瞻眼光,对土地精准研判:从佘北大型居住地,到佘山脚下、G60科创走廊,再到热门潜力板块临港,国贸地产始终与城市发展同频,一次又一次用产品更新城市生活方式,强大的品牌号召力,获得了良好的市场口碑。
作为国贸地产在上海打造的十年封面之作、亦是国贸地产“上”系上海首作——国贸虹桥璟上,誓以超越以往的产品内核,为人居带来全新的体验。
如今,项目为业主提前打造的水岸实景展示区已开放,所有楼栋现已全部完成封顶。漫步于此,未来生活不再是沙盘或效果图,而是眼见为实的美好。

点击输入图片描述(最多30字)
实景图
整座社区由两条天然水系穿过,岛居氛围自然而生。国贸地产因地制宜,引入“微度假”的概念,营造出了既有“休闲氛围”又有“丰富体验”的社区。

点击输入图片描述(最多30字)
实景图
连通各个地块的艺术景观桥与滨水景观步道,将是未来业主经常途经和驻足的。如今,你可以在这里滨河行走,享受美好时光,一路美景映入眼帘。

点击输入图片描述(最多30字)
实景图
同时,每块土地以及组团都可以拥有独特的水系景观和绿化,让人眼前一亮。居住在此,生活不是日复一日单调的重复,而是季季有不同的景色、时常有惊喜。

点击输入图片描述(最多30字)

点击输入图片描述(最多30字)
实景图
相较于其他新盘的一纸蓝图,国贸虹桥璟上的归家动线也变得更加生动和有趣,未来业主可以提前走进精致的门庭,以及层次感丰满的入户大堂,感受仪式感满满的归家体验。

点击输入图片描述(最多30字)
实景图
更重要的是,项目地下车库样板段也已对外展示。业主可以亲身感受未来车行归家的尊贵体验。

点击输入图片描述(最多30字)
实景图
地库门厅和入口非常气派,合适的坡道宽度,甄选环氧地坪,缓和温柔的灯光拉升了车库质感。让每一次车行归家之旅尽是赏心悦目与从容。

点击输入图片描述(最多30字)
实景图
在上海,这样超强的兑现力,既能给购房者吃下了一颗定心丸,又体现了国贸地产的品牌实力和对产品的高度自信。

点击输入图片描述(最多30字)

点击输入图片描述(最多30字)
实景图
依托于沿滨河岸线 , 项目还将打造更多水岸生活场景,东地块东侧会打造一个约1.3万方的水岸公园,为人们提供一个亲近自然、享受生活的场所。更多美好,值得你亲自来现场领略!

点击输入图片描述(最多30字)
效果图

点击输入图片描述(最多30字)
示意图
要知道,此前国贸很多已交付的项目都能做到提前半年到一年甚至更久。据悉,国贸虹桥璟上有望在明年春节前后实现交付,可谓给业主吃下了一颗“定心丸”,省去等待时间的同时,品质也令人安心。(具体交付时间需以开发商的实际操作为准。)

点击输入图片描述(最多30字)
实景图
Part 3
建面约105-129㎡3-4房
收官132席 错过难再
最后,来看看项目推出的户型。项目本次加推收官132套房源,两栋楼的位置非常好,被水系环绕,且非常接近地铁站!
主力户型为建面约105㎡3房,以及建面约129㎡4房,要知道这批次加推后,只有二手房见了。

点击输入图片描述(最多30字)
楼栋分布示意图
“百平三房”是上海新房市场上的主力军,国贸虹桥璟上带来了更创新、尺度更阔绰的建面约105㎡三房,亮点颇多。

点击输入图片描述(最多30字)
户型图
在 3开间朝南的基础上,其新开发了0.5,意味着更大的采光面、更强的通透性、更舒适的居住体验。 约5.5米宽的横厅,再加上 约8㎡的阳台,使得公共区域尺度感十足,功能性也更强。

点击输入图片描述(最多30字)
实景图
特殊的是,全屋有 整整6个飘窗!3个卧室附赠大面积飘窗,延伸生活空间;客厅也增加一处飘窗,采光面变得更宽。

点击输入图片描述(最多30字)

点击输入图片描述(最多30字)
实景图
通常,主卫和次卫能拥有窗户达到全明采光已经称得上优秀了,而这套户型的两个卫生间均都有飘窗,丰富收纳可能性。

点击输入图片描述(最多30字)

点击输入图片描述(最多30字)
实景图
再来看看 建面约129㎡4房2厅2卫。大面宽,大阳台,尺度感和空间感都相当强,对改善购房者而言是个福音。

点击输入图片描述(最多30字)
入户玄关同时满足了归家仪式、私密性、健康性和收纳的多重诉求。
主卧套房是改善四房的标配,但 三卧室朝南、全卧室飘窗设计就体现出该项目的与众不同了,实用性更强,生活舒适度更高。

点击输入图片描述(最多30字)

点击输入图片描述(最多30字)

点击输入图片描述(最多30字)

点击输入图片描述(最多30字)

点击输入图片描述(最多30字)
项目 少量建面约89㎡3房户型热销中,总价控制合理,是刚需买家的优质选择。

点击输入图片描述(最多30字)
户型图
户型非常方正且动线清晰,右侧为卧室等休息区域,左侧为厨房间和客餐厅等公共区域,保证了动静分区,提高空间利用率。

点击输入图片描述(最多30字)
实景图
即使是刚需小户型, 主卧进深依旧达到约3.8米,尺度比市面上大多百平三房还要宽阔,配合大尺度的大飘窗,享受更多的阳光沐浴。

点击输入图片描述(最多30字)
实景图
从其装标细节中,同样能够看出国贸对于生活品质的追求。比如 中央空调、地暖、新风均为 国内或国外知名品牌,还精心配置了智能马桶、以及厨房凉霸等,尺度感与舒适感并存!

点击输入图片描述(最多30字)
实景图
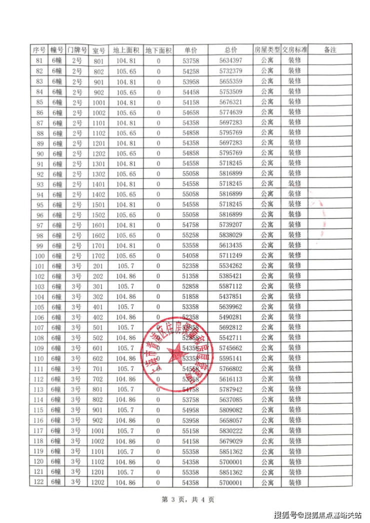
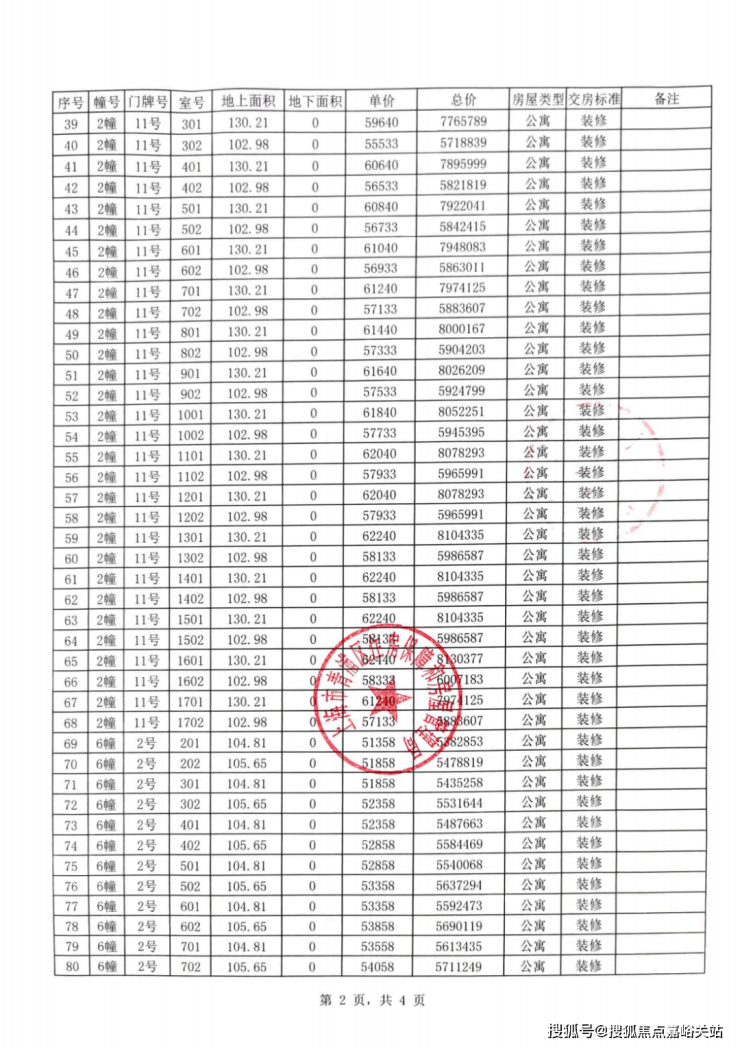
一房一价表如下👇🏻

点击输入图片描述(最多30字)

点击输入图片描述(最多30字)

点击输入图片描述(最多30字)

点击输入图片描述(最多30字)
大虹桥纯正地铁盘
17号线嘉松中路站500万级现房
『国贸虹桥璟上』
收官建面约105-129㎡3-4房
清盘在即!手慢无!灵活适配的空间设计:针对当代居民对空间多功能性的需求, 国贸虹桥璟上房型设计融入 “可变空间” 理念, ✅✅ 国贸虹桥璟上售楼处电话:400-9016-520✅✅如客厅可拓展为临时办公区、次卧可根据需求转换为儿童房或长辈房,实现空间功能的动态调整, ☑️☑️国贸虹桥璟上售楼处电话:400-9016-520☑️☑️
如有问题欢迎来电咨询,来电即可享受买房优惠!
预约来电尊享购房优惠,可预约案场内部销售人员,专业一对一热情服务,让您用专业眼光去买房
国贸虹桥璟上售楼处电话:4009016520【售楼中心热线】国贸虹桥璟上营销中心热线400-9016-520国贸虹桥璟上售楼处地址400-9016-520,楼盘项目全面介绍,本电话为开发商提供线上预约售楼电话,楼盘项目全面介绍(包含楼盘简介,均价,房价,现房,期房,别墅,叠墅,大平层,价格,楼盘地址,户型图,交通规划,备案价,备案名,项目配套,样板间,开盘时间,认筹时间,楼盘详情,售楼处电话,最新消息,最新详情,周边配套,一房一价,最新进展等详情咨询)楼盘详情丨价格丨更多优惠丨机不可失丨欢迎致电丨诚邀品鉴!售楼处位置丨特价房丨工抵房丨剩余房源丨户型图丨最新消息丨免责声明:将文章内容综合来源于网络、只作分享,版权归原作者所有!!如有侵权,请联系我们,我们第一时间处理如有问题欢迎来电咨询,专业一对一热情服务,让您用专业眼光去买房。如果您想了解更多楼盘详情,欢迎提前预约拨打国贸虹桥璟上售楼处电话☎400-9016-520