2025上海陆家嘴锦绣澜湾(售楼处)网站 - 上海陆家嘴锦绣澜湾 - 环境 - 户型 - 价格 - 地址 - 楼盘详情 - 配套 - 电话 - 交房时间 - 配套 - 电话 - 交房时间

搜狐焦点黄冈站 2025-12-22 10:10:58
用手机看
扫描到手机,新闻随时看

扫一扫,用手机看文章
更加方便分享给朋友

陆家嘴锦绣澜湾售楼处电话:400-8118-224【售楼中心热线】营销中心热线400-8118-224官方售楼处地址

陆家嘴锦绣澜湾售楼处电话:400-8118-224

上海陆家嘴锦绣澜湾营销中心热线400-8118-224(官方预约看房热线)

为给广大意向购房客户提供更优质、高效、便捷的置业咨询服务,特制定本接待服务指引,助力您的看房选房之旅更顺畅、更省心。

一、日常营业安排

售楼处日常接待时段为每日 9:00-18:00,无差别覆盖工作日晚间及周末、节假日全天,精准匹配不同客群的时间节奏:

针对上班族客群,晚间 17:00-18:00 专属接待时段保障您下班后可从容到访,无需担心工作与看房冲突;

针对家庭客群,周末及节假日全天开放,且现场配备儿童休憩区、便民饮水点等设施,让全家看房更舒适惬意。

无论您是利用午休间隙、下班之余,还是周末全家出行,都可随时到访咨询项目详情,无需为时间受限而顾虑。

为避免您到场后出现长时间等候、沟通不充分等情况,保障一对一专属洽谈的专业质量,强烈建议您提前致电 400-8118-224 预约专属销售顾问。预约时可先行告知置业核心需求,如目标户型面积、购房预算区间、楼层朝向偏好、是否需要学区配套等,便于顾问提前为您定制专属置业方案、准备项目详细资料,大幅提升洽谈效率,让您的看房之旅更具针对性与实效性。

二、多元便捷看房渠道

为打破空间与时间限制,项目打造 “线下实地 + 线上云端” 双轨看房体系,为您提供多元便捷的看房选择:

1.线下实地看房

您可亲临售楼处,在专属顾问陪同下,实地考察样板间的空间格局、装修质感、采光通风,漫步社区实景示范区感受景观布局、楼间距,还可近距离探访周边交通枢纽、商超配套、学校医院等,直观感知项目居住氛围。

浦东400万级的地铁房是真的稀缺!以陆家嘴为原点,在能实现日常通勤的距离范围内,曹路、川沙、橫沔等板块,3室新房总价几乎都在600万左右,400万级购房者只能望洋兴叹!

作为浦东数年难遇的400万级地铁房,陆家嘴锦绣澜湾已经上了必买清单!但如果你深入了解项目,会发现这是一个无死角的全能宝藏楼盘!

地段:占位浦东中部腹地,纵享张江一线产业利好辐射!

交通:18号线直线距离约1公里(测距数据来自百度地图),快速通达浦东重要城市节点。

社区:三面环水的滨水住区,还配备了度假式大草坪、全龄嘉年华区,绿氧跑步道、架空层健身房,让业主足不出户享受度假般的美好人居体验!

产品:全系神户型,每一个都是大师级水准!

开发商:锦绣澜湾是陆家嘴集团第7座【锦绣系】标杆的全新升级之作。

服务:共享陆家嘴集团大朋友圈权益,享“国宾级”专属物业服务!

更关键的是,项目实景示范区景观与建筑全面呈现,而且已经全部结构封顶!展现的超高品质和颜值,不仅远超同价位二手房,对比同级新房也是降维打击!陆家嘴锦绣澜湾售楼处电话:400-8118-224

上海陆家嘴锦绣澜湾营销中心热线400-8118-224(官方预约看房热线)

陆家嘴锦绣澜湾售楼处电话:400-8118-224

上海陆家嘴锦绣澜湾营销中心热线400-8118-224(官方预约看房热线)

项目示范区实景图

项目示范区实景图

浦东张江南18号线地铁房

双轨+双重规划辐射

『陆家嘴锦绣澜湾』

建面约89-127㎡3房户型

坐享7.5米横厅+270°全景!

均价48082元/㎡

总价354万起,开盘续销中

(文末附一房一价表)

Part1

陆家嘴集团实力护航

半岛海派生活基本实景呈现

在当下的新房市场,拼的就是一个“交付力”!

而无论是交付的安全性还是品质感,跟品牌直接挂钩!

这一点正是陆家嘴锦绣澜湾的优势!

项目由上海陆家嘴集团开发,集团成立于 1990年,是上海市政府批准组建并重点扶持的大型企业集团之一。

集团成立以来,与浦东开发开放共成长,从小陆家嘴区域的一级土地开发,到上海CBD3.0版本前滩国际商务区,再到上海中心、上海迪士尼乐园、老佛爷百货等这些耳熟能详的地标,其背后的投资、运营或建设方都有包含上海陆家嘴集团。

陆家嘴锦绣澜湾售楼处电话:400-8118-224

上海陆家嘴锦绣澜湾营销中心热线400-8118-224(官方预约看房热线)

作为上海“地标级”城市开发商,陆家嘴集团旗下住宅的安全性毋庸置疑!

从内环的锦绣前城、到中环的锦绣逸庭、再到周浦的锦绣御澜,陆家嘴锦绣系作品呈现的硬核品质早已征服一众挑剔的浦东购房者,并且几乎都踩中了板块腾飞的关键节点,让每一位选择陆家嘴集团的业主都能收获高品质的人居体验和磅礴的板块发展红利!

这一次,陆家嘴集团落子航头,正是看准了张江南扩的大趋势,并且带来了升级版的锦绣系全新力作!

陆家嘴锦绣澜湾天赋异禀,周边三面环水,生态资源优渥。开发商因地制宜,打造了约14万方滨水国际住区,呈现了岛居,乐氧居式的“半岛绿洲· 海派生活”!

项目效果图

陆家嘴锦绣澜湾售楼处电话:400-8118-224

上海陆家嘴锦绣澜湾营销中心热线400-8118-224(官方预约看房热线)

1、森系围界,约4500㎡森林康养基地

项目以森系围界,拥有优美的天际线,秉承以人为本的原则,运用植物大健康战略营造防尘降噪、降温降湿的康养人居,以“康养”贯穿全园。包括烟火慢街区、景观礼仪轴等。

2、3大海派生活圈,全方位营造多元场景设计语境

“沉浸式”主题情景,融贯休闲、社交、艺术、运动、亲子等维度,以空间交错酿造情感融汇,定制新海派摩登社区。共创生活的灵感与火花,衍生无限生活可能性!

海派生活圈之休旅圈,包括聚合森氧居所、四点半课堂、茶艺草堂等。

项目示范区实景图

海派生活圈之活力圈,包括全龄嘉年华、青年热力场、健身架空层、绿氧跑步道等。

项目示范区实景图

项目示范区实景图

海派生活圈之私享圈,包括酒店式归家入口、礼仪树阵、尊享式入户、四季归家景观等。

项目示范区实景图

陆家嘴锦绣澜湾售楼处电话:400-8118-224

上海陆家嘴锦绣澜湾营销中心热线400-8118-224(官方预约看房热线)

当然,除了产品过硬,项目的软性服务也是直接对标千万级豪宅!

项目物业管理公司上海陆家嘴物业管理有限公司,是首批获得物业管理一级资质的企业,是上海世博会和进博会物业服务的战略伙伴供应商。国家会展中心、新国际博览中心均由公司参与管理。

在陆家嘴锦绣澜湾,业主可以享受陆家嘴物业“国宾级”礼遇服务,羡煞旁人!

项目示范区实景图

陆家嘴锦绣澜湾售楼处电话:400-8118-224

上海陆家嘴锦绣澜湾营销中心热线400-8118-224(官方预约看房热线)

另外,作为城市综合运营服务商,陆家嘴集团赋能美好生活聚焦打造“陆家嘴大朋友圈”产业生态。实现办公、商业、酒店、文化、会展、体育等业态资源的共享礼遇专属权益,尊享舒心人生。

凡购买陆家嘴集团旗下销售的商品房新房,可享陆家嘴乐居所有租赁住宅优惠名额。(包括陆家嘴、前滩、御桥、张江区域等全系租赁住宅,具体租赁流程及相应条件详询案场营销顾问。)这样的产业生态,也只有与浦东共成长的陆家嘴集团才有底气做到。

Part2

教科书级户型个个爆款

400万级新盘的不二之选

目前市面上的新房项目,能有1-2个好户型已经很不容易了,但陆家嘴锦绣澜湾做到了全系神户型,每一个都充满亮点与设计思考,几乎以一己之力重新定义了浦东人居新高度!

所以最后我们来详细聊聊项目的神户型:

建面约89㎡3房户型

陆家嘴锦绣澜湾售楼处电话:400-8118-224

上海陆家嘴锦绣澜湾营销中心热线400-8118-224(官方预约看房热线)

建面约89㎡做3房,功能性上就占尽先机,没想到项目还有1.5卫配置,主卧升级套房,真正实现一步到位!

格局方面,该户型是南向大面宽设计,足以容纳主次卧+客厅三开间朝南,采光性能优异!全卧飘窗设计,延伸室内空间。客餐厅一体化设计,减少过道面积浪费,视野也更开阔。

建面约89㎡样板房实景照

而且,项目这个3房虽然建面只有约89㎡,但尺度感和空间感足以媲美市面上建面约100㎡左右的3房户型。这归功于户型超过80%的得房率!

建面约89㎡样板房实景照

建面约99㎡3房户型

陆家嘴锦绣澜湾售楼处电话:400-8118-224

上海陆家嘴锦绣澜湾营销中心热线400-8118-224(官方预约看房热线)

几乎延续了前者所有的优势,并且在尺度感和舒适度进一步提升!

首先是大尺度双联阳台,极大提升了使用空间和采光面;其次是主卧变成贯穿南北的豪华套房,私密性和舒适度双爆表;最后2个卫生间及北次卧都配置飘窗,大幅提升空间利用率。

建面约99㎡样板房实景照

建面约105㎡横厅户型

这是项目的王牌户型,也是目前市面上同面积段没有对手的神户型!

因为是边户所以南北完全通透,采光和通风性能优异!住户的私密性强,无任何干扰。

3.5开间的南向户型,除了主次卧朝南,更进一步将客厅的开间加宽,成为一个横厅。横向宽厅的好处是可以有更多的南向采光,阳光更充足。此外,客厅可以弹性软分隔的方式,分出一个开放式书桌的空间,适配更长的家庭周期。

在拥有大尺度南向阳台的背景下,该户型居然还配备了5个飘窗,大大提高了该户型的实用面积!

建面约127㎡3房户型

陆家嘴锦绣澜湾售楼处电话:400-8118-224

上海陆家嘴锦绣澜湾营销中心热线400-8118-224(官方预约看房热线)

陆家嘴锦绣澜湾售楼处电话:400-8118-224

上海陆家嘴锦绣澜湾营销中心热线400-8118-224(官方预约看房热线)

建面约127㎡样板房实景照

论地段,陆家嘴锦绣澜湾是浦东400万级少有地铁房,轻松实现日常通勤;

论产品,项目由陆家嘴集团倾力打造,比普通新房更保值,同时每一天都能享受实实在在的高品质居住体验。

无论是自住还是资产配置考虑,陆家嘴锦绣澜湾都值得优先选择,闭眼冲别犹豫!

Part3

浓荫墅区+行政文化地区中心

尽享高能级配套与高端圈层

作为张江南部延伸板块,吸引了大量高新企业高管总裁,航头西已然是成熟的高端别墅区。

项目隔壁的东方夏威夷、爱法奥朗新庄园、生茂养园等别墅项目二手挂牌价基本都接近甚至超过2000万!

总价354万起即可入主显贵的别墅区,陆家嘴锦绣澜湾的入市怎么看都是无法拒绝的人生进阶机遇啊!

既能近距离享受板块成熟配套,又能更大程度接收张江南辐射带来的规划利好!

来看项目拥有的具体配套和规划:

交通方面,陆家嘴锦绣澜湾距离18号线航头站直线约1公里,进站后7站即达中环御桥、11站可达内环龙阳路、15站来到陆家嘴金融城昌邑路!

而且,18号线去往陆家嘴的沿途可换乘多条轨交,几乎畅达浦东所有重要城市节点。

更难得的是,项目还为业主提供了短驳班车,未来交付后,业主可从小区直接坐短驳车去地铁站,进一步节约业主宝贵的通勤时间!

商业配套方面,项目周边有苏航生活广场、永乐电器航头店、咸塘小镇商业步行街、吉乐买生活广场奥特博购物中心、集中式大型商业周浦万达广场、张江科技城南中心配套等。

教育配套方面,项目周边有尚德实验学校、海洲幼儿园、航城实验小学、进才中学南校、航头学校、格林斯堡幼儿园等,完全不用担心孩子从幼儿园到高中的上学问题。另外在航头北面 还有2块教育用地,值得期待!备注:本资料中学校信息仅作介绍不做入学承诺,项目对口学校最终以教育部门划分为准。

医疗资源方面,航头人民期盼多年的三甲医院——上海龙华医院浦东分院已建成,即将开诊,将为陆家嘴锦绣澜湾业主全家人的健康保驾护航!

休闲娱乐方面,项目近邻迪士尼乐园、上海野生动物园等浦东文旅胜地,自驾出发可迅捷通达!

陆家嘴锦绣澜湾售楼处电话:400-8118-224

上海陆家嘴锦绣澜湾营销中心热线400-8118-224(官方预约看房热线)

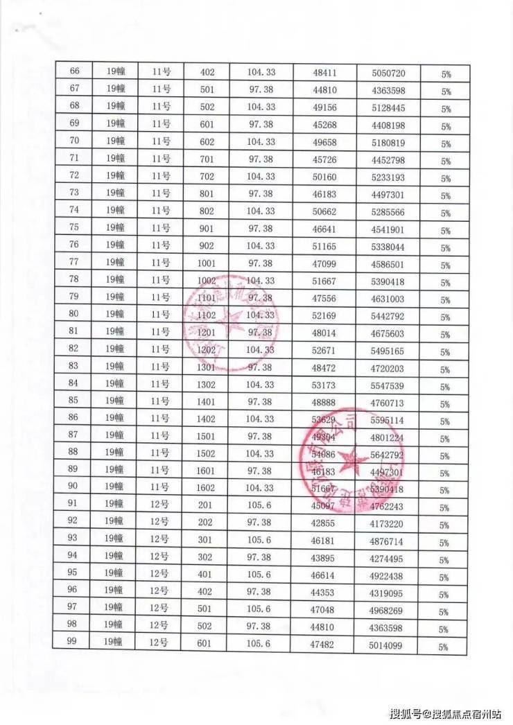
一房一价表如下

浦东张江南18号线地铁房

双轨+双重规划辐射

『陆家嘴锦绣澜湾』

建面约89-127㎡3房户型

坐享7.5米横厅+270°全景!

均价48082元/㎡

房产知识

房地产基础专业知识

1、房地产:指房产和地产的总称(又称不动产)。

2、房地产的三种存在形态

单纯的土地、单纯的房屋、土地房屋的综合体

3、房地产的特征:

a、房地产位置的固定性(土地不可移,房屋 也不可动);

b、房地产地域的差别性(每宗房地产的价值都不同);

。c、房地产的高值、耐久性(价格贵、土地永久的);

d、房地产的保值、增值性(货币贬值、房产保值、货币增值、房产增值);

4、房产:是房屋及其权利的总称(占有、使用、收益、处分等权利)。

5、房屋分类:

a、功能用途:居住用房(小区、高品住宅)、工业用房(厂房、仓库)、商业用房(门面、商场)、办公用房(写字楼)、行政用房(军事、学校等单位用房及城市);

b、建筑结构:钢结构、钢筋混凝土结构、砖混结构、砖木结构和其他;

c、所有权归属:公房(直管公房和自管公房等)和私房;

6、地产:是土地及其权利的总称(使用、收益、转让等权利)。

7、土地分类:

a、开发利用:生地和熟地;

b、建筑功能:建筑用地和非建筑用地;

c、用途:居住用地、商业服务用地、工业用地、仓储用地、市政公共设施用地、交通用地、绿化用地、特殊用地等;

8、房地产业:指从事房产开发、经营、管理和服务的行业。包括:

a、土地开发;

b、房屋建设、维修、管理;

c、土地使用权的有偿划拔、转让;

d、房屋所有权的买卖、租赁;

e、房地产抵押贷款;

f、房地产市场;

9、土地使用权:就是土地所有者根据土地分类对土地加以利用的权利(指依法对土地经营、利用和收益的权利)。土地公有制采取了两种形式:即集体所有制和国家所有制。a)农村土地采用了集体所有制,属于农民集体所有;b)城市土地采取国家所有制的形式,属于全民所有;任何个人不能取得土地的所有权。

土地使用获得的方式:

划拔:无偿使用,如学校、医院、军事用地、机场等市政建设工程;

出让:从国家有偿取得使用权,方式:协议(如200-250万/亩)、招标(提出底价,根据使用用途和价格取得)、拍卖(价高者竟得,不违法的前提下,通过正规渠道取得);

10、房地产市场:

a、一级市场:以土地为体(亦称土地市场、土地交易市场);

b、二级市场:开发商获得土地后,投入一定的奖金建设,通过有偿或赠与将产权转买给需求者(新建商品房的买卖市场);

c、三级市场:房屋在消费市场的再次流通,包括:买卖、抵押、转让、租凭(二手房);

房地产市场结构善一览表:

市场称谓

一级市场

二级市场

三级市场

称谓

土地使用权出让市场

土地使用权转让市场、增量商品房市场、住房一级市场等

土地使用权转让市场、存量商品房市场、二手房市场、住房二级市场等

市场主体

政府、开发企业(投资者)

开发企业、业主

业主

市场客体

国有土地使用权

增量商品房

存量商品房、已售旧公房、私房

交易方式

拍卖、招标、协议

出售、出租等

买卖、租赁、交换等

11、土地使用权出让:指国家以土地所有者身份,按指定地块的使用年限、用途和城市规划等条件,将城市土地使用权出让给土地使用者,并向土地使用者收取土地使用权出让金的行为。出让交易双方是国家和用地单位或个人。

12、土地产权:包括土地所有权、地上权、地役权、抵押权、典权、租赁权。

地上权:指以支付租金为代价在他人土地上建筑房屋的权利,它的实质就是土地使用权;

地役权:指利用他人土地供自己使用的权利;

抵押权:指土地使用权获得者在其有效的使用期限内有以土地作抵押获取银行贷款或其他担保的权利;

租赁权:指土地使用权获得者在其有效使用期限内将土地租给他人使用以获取收益,承租人即取得该块土地的租赁权;

13、土地使用年限:指国家将土地使用权出让给土地使用者,双方约定土地使用者可以使用的年限。

1)土地使用权出让年限:

a、居住用地70年;

b、工业用地、教育、科技、文化卫生、体育及综合或其他用地50年;

c、商业、旅游、娱乐用地40年;

PS:使用用途需转换的要补年限地价的差价,国家指定的则遵照执行;

2)土地使用年限到期后如何处理:

a、国家有权无条件的收回该土地;

b、建筑主体经质控部门检验后不属危房;

c、项目的存在不影响城市规划,不影响市容,只要向政府缴纳土地出让金可以继续使用。

PS:b、c条完全存在的情况下,以当时的地价购买使用年限,年限由政府规定,否则无条件收回;

14、商品房:开发商以市场地价取得土地使用权后进行开发建设,并经国土局批准在市场上流通的房地产,它是在获取房产证后,可自行转让、出租、继承、抵押、交换的固定资产。

商品房的物业类型:住宅、写字楼、商场、酒店、市场。

15、商品房的预售制度:五证二书

五证:〈国有土地使用证〉、〈建设用地规划许可证〉、〈建设工程规划许可证〉、

〈建设工程施工许可证〉、〈商品房预售许可证〉

二书:〈质量保证书〉、〈使用说明书〉、两书可以作为商品房买卖合同的补充约定,并且是房地产开发企业在商品房交付使用时向购房人提供的对商品房住宅承担质量责任的法律文件和保证文件。

16、烂尾楼:指未能完成施工中途停建的楼盘。造成楼盘烂尾的原因主要有资金不足、设计、施工存在严重质量问题,非常建设等。

17、楼花:指已经动工建造,但尚未建成的楼宇、房屋。即指图纸上的楼宇,处于建筑施工的最初阶段,离交房时间长,价格优惠,买了后又可转卖,赚差价。

18、炒楼花:买卖尚未建筑好的房屋。(现在政府有规定,商品房5年内不许转让,交5%的营业税,为了控制炒房)

19、期房:指具备预售条件,尚未竣工交付使用的商品房。(价格低、选择空间大、户型齐全、可监督建筑材料、质量)

20、现房:指已经工程质量监督部门验收,并取得质量合格证明文件,可以交付使用的商品房。(即买即入住、价格高、户型过时、选择空间不大)

21、经济适用房:指以微利价出售给广大中低收入家庭的商品房(带有社会保障性质的商品住宅,是有经济性和适用性)。不是人人可以买到,必须符合当地政府所规定的条件,经过排号购买。长沙房口,25岁以上,65㎡以内以经济价购买,65㎡以外以商品房价购买,5年后才能转卖)。

22、二手房:办好产权证,进行再次转让的房屋。其他如:公房、私房、集资房、廉租房、安置房等福利房。

23、诚意金:指商品房在未取得预售证之前,开发商收取客户的可退回的款项(一般可以获得开发商的折扣承诺)。

24、定金:指当事人约定由一方向对方付给的作为债权人担保的一定数额的货币(能担保债权人的作用)不能返还。

25、订金:不能担保债权人的作用,能返还。

26、玄关:登堂入室的第一张门进去的地方,开门区域。

27、公寓:指2层以上,供多户人家居住的建筑。

28、纯办公楼:专为各类公司日常运作提供办公活动的大楼。

29、综合楼:居家、办公、商场、集合一体的大楼。

30、商住住宅:SOHO,居家,办公于一体。

31、别墅:指在郊外或风景区建造的供休养,住宿用的花园住宅,TOWRHOUSE(联体别墅、单排别墅)。

32、SHOPPINGMALL:一站式购物,集购物、娱乐、休闲为一体的这么一个商业区域,起源于美国(也称第六商业业态)。

33、物业管理:指由专业公司或机构,接受业主(或使用人)的委托,对物业实话专业化管理,并向业主(或使用人)提供高效、周到服务的行为。

34、物业管理内容:对房屋及其附属设备管理、维修;对房屋区域内的清洁卫生、安全保卫、公共绿化、公用设施、道路等实施管理;向业主提供其他综合性或特约的服务等。物业管理属社区管理范畴。

35、业主大会:指由物业管理区域内全体业主组成的,对本区域内物业管理具有决定权的组织形式。

36、业主代表大会:由物业管理区域内业主代表组成的对本区域内物业管理具有决定权的组织。

37、业主委员会:由物业管理区域内业主代表组成,代表全体业主对物业实施自治管理的组织,由业主代表大会或业主代表选举产生。

38、一次性付款:指购房户在购买商品房时,在没有享受政策性贷款的情况下,将全部买房款一次性付给售房单位的付款方式。

39、分期付款:购房者签约后,将购房款分成若干比例,按时间段或按施工进度分批交纳房款(针对期房),交房时,款项全部付清。

40、银行按揭:指以购房合同或房屋产权作抵押获得购房贷款的方式。即购房者在购房时,向银行提出担保的质押文件,在银行审核通过后,取得房屋总价的部分贷款,依抵押约定,按期按时间段向银行偿还贷款本息,并提供房地产作为偿还贷款的担保(一般的购房合同和产权证作为抵押,住房:七成二十年;门面:五成十年或六年十年)。

41、公积金:“全称住房公积金”,指城镇住房制度改革中,国家机关、国有企业、城镇集体企业、外商投资企业、城镇私营企业及其他城镇企事业单位及其在职职工按国家规定缴存的,专项用于住房消费的资金(门面不行)。缴存比例:均不得低于职工上一年度月平均工资的5%,有条件的城市,可以适当提高缴存比例;缴存方式:一是由职工个人缴存;二是由职工所在单位缴存;

42、个人住房公积金贷款:指参加了住房公积金制度的职工,在购买、建筑、翻建和大修自住住房时,因资金不足愿以新购或其他住房产权作抵押而向住房公积金管理中心申请的贷款。

43、契税:指房屋所有权发生变更时,就当事人所订契约,按房价的一定比例,向产权承受人征收的一次性税收(普通住宅:2%、非普通住宅:4%)。

44、公共维修基金:指住宅、楼房的公共部位和公共设施设备的维修养护基金(普通住宅:2%;电梯房、门面:3%)。

45、生地:指未经开发,尚未开成建设用地条件的农地或荒地。

46、起价:即“起步价”是指物业所有房源中的最低销售价格(一般指户型、朝向、格局不好的楼房价格,各层的差价几十~几百元)。

47、基价:即“基础价”指经过核算而确定的每平方米商品房的基本价格。是针对房地产定价方法而言的,与起步价没有关系(楼层、朝向不同价格也不同)。

48、均价:即物业的平均销售价格,将本物业各套房子的销售价格相加之后的和除以各单位建筑面积的和数,即可得出每平方米的均价)。

49、成本价:指住房制度改革中,出售公有住房时按照建筑公有住宅的平均成本测定的价格。

包括:A、征地和拆迁补偿费;B、勘察设计和前期工程费;C、建安工程费;D、住宅小区基础设施建设费;E、管理费;F、贷款利息;G、税金;

二、建筑基础知识:

1、三通一平:是指在土地开发时进行的通水、通电、通路、土地平整。

2、七通一平:给水、排水、电力、通讯、燃气、热力、道路通和土地平整。

3、占地面积:红线范围内的面积。

4、建筑面积:指建筑物外墙(柱)勒脚以上各层外围水平投影面积之和,包括阳台、挑廊、地下室、室外楼梯等。

5、销售面积:指商品房按套出售,其销售面积为购房者所购买的套内建筑面积与应分摊面积的共有建筑面积之和。

6、使用面积:指住宅各层面平中,直接供住户生活使用的净面积之和(在住房买卖中,一般不采用使用面积来计算价格)。

7、公摊面积标准:指商品房销售中应分摊计入销售面积的商品房中公共建筑空间的面积,由两部分组成:一)室内外楼梯、内外廊、公共门厅、通道、电梯、配电房、设备层、设备用房、结构转换层、技术层、空调机房、消防控制室、为整栋楼层服务的值班警卫室,建筑物内的垃圾房以及突出屋面有围护结构的楼梯间、电梯机房、水箱间等;二)套单元与公用建筑空间之间的分隔以及外墙(包括山墙)墙体水平投影面积。

公用建筑面积分摊系数:公用建筑面积/套内建筑面积之和。

8、实用面积:建筑面积扣除公共分摊面积后的余额。

9、计租面积:住宅用房按使用面积计算,非住宅用房按建筑面积计算。

10、套内建筑面积:指商品房套内各部分建筑面积的总和。

套内建筑面积=套内使用面积+套内墙体面积+阳台建筑面积

套内建筑面积=套内使用面积/标准层的使用面积系数

11、容积率:总建筑面积/总用地面积(多层容积率大致为3,高层为5,超高层为7,别墅为0.3-0.45左右、容积率越低,居家环境越好、单价高、品质高;容积率越高,单价低、品质低)

12、建筑密度:基底面积之和/总占地面积*100%

13、绿化率:指项目规划建设用地范围内的绿化面积与规划建设用地面积之比。

公式:植被垂直面积/占地面积*100%

14、绿地率:所有住宅各类绿地面积与住宅总用地面积的比例。新区建设中不应低于30%,旧区改造时不宜低于25%(不包括屋顶、晒台的人工绿地)。

绿化覆盖率>绿化率(绿化所占面积)>绿地率

15、得房率:套内建筑面积/套建筑面积(销售面积)之比

套内建筑面积=套内使用面积+套内墙体面积+阳台建筑面积

套建筑面积=套内建筑面积+分摊的公用建筑面积

16、开间:住宅房子的横向宽度。进深:住宅的实际长度。

17、层高:指下层地板面到上层楼面的高度,包括楼板厚度,以米为单位。

18、净高:指层高减去楼板厚度的净剩值,即楼板上表面至上层楼板下表面的距离。

19、绿地面积:指能够用于绿化的土地面积,不包括屋顶绿化、垂直绿化和覆盖土小于2平方米的土地。

20、跃层式商品房:上、下两层楼,客厅为两层高,没有封。

21、复式楼:楼梯连接两层,客厅只有一层高。

22、错层:房内高度不一至,一米以内分离。

23、砖混结构:由砖和混凝土组成,承重墙(四面不能动,梁柱都不能动)。

24、框架结构:指以钢筋混凝土浇捣成承重梁柱,适合大规模工业化施工,效率较高,承重墙在梁柱,墙面可以自由打通。其次还有:砖木结构、钢筋混凝土、框简结构、钢体结构等。

25、房屋的耐用年限:指房屋能够维持正常使用的年限,与设计的标准、建筑的材料、施工质量、使用状况、维护保养相关。

钢筋结构:60-80年砖混结构:40-60年砖木结构:30-50年其他:15年以下

26、土地计量单位:

1平方公里=100万平方米(km2)1公顷=1万平方米(hm2)

1公顷=15亩1亩=667平方米

27、住宅的楼层划分的规定:

低层住宅为:1-3层多层住宅为:4-6层中高层住宅:7-9层

高层住宅为:10-30层超高层住宅为:40层以上

三、房地产开发相关知识:

1、房地产开发:在依法取得土地使用权的土地上按照使用性质和要求进行基础设施,房屋建筑的活动。它包括从定点选址到交付使用的全过程,由征地与拆迁安置、规划设计、供水、排水、供电、通电讯、通道路、绿化、房屋建设等多项内容组成。

2、土地开发:将生地(不具备使用条件的土地)开发成可供使用的土地。

3、房屋开发:由买得土地使用权的发展商,对土地进行平整,修路铺设上下水管道及热力网,然后建造各类房屋以及公共设施。

4、房地产二次开发:指先将生地开发成熟地(具备使用条件),然后再进行拍卖和出租,由买地者去建造房屋。

5、房地产一次开发:一次性边土地、房屋开发完成。

6、能源系统:包括供电、供热、供气(煤气、天然气、石油液化气)等设施。

7、给水、排水系统:包括取水工程、输水工程、净水工程、配水管网(上下水道),排水管网(下水道)、污水处理、排放工程。

8、土地国家所有权:指作为土地所有者的国家,对自己所有的土地依法享有占有、使用、收益和处分的权利。

9、土地集体所有权:指农村劳动群众集体经济组织,在法律规定范围内对自己所有土地享有占有、使用、收益和处分的权利。

10、房屋的所有权:对房屋全面支配的权利,包括:占有权、使用权、收益权、处分权。

11、土地所有权:指含有法律意义上和经济意义上的所有权双重含义。

法律意义:土地所有者将土地当成自己的财产,并将其实行占有、垄断、拥有对土地支配的权利。

经济意义:指土地所有者凭借对土地的垄断获得一定的经济收入的权利。

四、其它内容须知:

1、办理银行按揭合同需出示:

1)个人身份证及复印件各3份,结婚证或流动人口未婚证明;

2)首期购房款(不低于30%,二次购房者首付不低于40%)购房人已付购房款收据原件及复印件;

3)购房者或配偶单位的工资收入证明;

4)与开发商签订的购房合同;

5)开户银行开户的活期存折并含有3个月的按揭款;

6)个人住房借款合同,借款借据;

7)委托银行扣收购房房款协议书;

8)住房抵押承诺书;

9)贷款申请书。

2、办理银行按揭需交的费用:

1)保险费(保险费率1-10年0.5‰、11-20年0.45‰贷款额)(交保险公司);

2)抵押费,贷款额3‰(交房地产局);

3)律师见证费,贷款额1.8‰(交律师事务所);

4)备案登记手续费,每份合同20元(交房地产局);

5)印花税,每份合同10元(交房地产局);

6)按揭资料费,每份合同40元(交银行);

3、公积金提取条件:符合以下条件的可以一次性提取本人住房公积金帐户内的存储余额。

1)职工购买、建造、翻修、大修自住住房;

2)职工离、退休时;

3)完全丧失劳动能力,并与单位终止劳动关系的;

4)户口迁出所在的市、县或者出境定居的;

5)偿还购房贷款本息的;

6)房租超出家庭工资收入的规定比例的。

4、公积金贷款是有限额规定的:

1)贷款额不能超过25万元的最高上限;

2)贷款额不能超出你住房公积帐户储存余额的5倍;

3)贷款额不能超出总房款的70%;

5、预售房的条件:

1)土地出让金已缴清,取得国有土地使用证;

2)取得建设用地规划许可证;

3)投入工程总建设资金达到20%以上(不含土地出让金);

4)施工进度已明确,交房日期已明确;

5)竣工验收前;

五、附加内容(房地产营销培训基础知识):

1、房地产销售行业:

它是一个精彩、特殊的、无处不销售、人人都使用、升值空间大、有趣、自由、有成就感、锻炼人,上不封顶收入的一个较灵活、广泛、综合性的一个行业。

2、有正确的价值观:价值观---信念---期望---态度---行动目标

3、行动过程:执行---核心价值---中程目标---短期目标---每日工作计划

4、忌语:大概不能肯定的语言

五声四语:迎客声---称呼声---致谢声---送客声

反对四语:蔑视语---烦躁声---否定语---斗气语

5、建筑面积必须高于2.2米(低于2.2米的车库,杂屋没有产权),建筑如配套游泳池、车库等不算面积);

6、朝向:一般以客厅阳台的朝向为准。

7、商圈:称之购买圈或商势圈,指在一定的经济区域内以商场或商业区为中心向周围扩展形成的辐射力量,对顾客吸引而形成的一定范围或区域。

分为:核心商圈:以大型商场为中心,人口占60-80%,价格高;次级商圈:拥有客户占20%;

边缘商圈:分布密度小,产品低档,价格低。

8、商业饱和度:是测量一个商圈内的商业物业的供求量的一个重要方式。

IRS:商业饱和度

C:主要客户指数

RE:每一个顾客平均购买量

RF:商圈内的经营面积

IRS=(C*RE)/RF

9、严重影响房地产价格因素:

1)价格组成=土地成本价格+建安成本+利润+管理费用(国民生产总值,DTP指数、房地产政策、法律法规);

2)影响房地产因素:开发商实力、经济态度、地段、交通、周边环境、配套设施、绿化、升值、政府规划、潜力、客户定位、产品设计、物业管理、市场供求、品牌、销售技巧、自然环境不可复制;

3)影响每一栋单位的价格因素:楼层层高、户型、朝向、景观、外围功能、面积、建筑结构;

4)多层:7层以下,金三银四铜五六;高层:7层以上,越往高上走价格越高,越往上景观越好;

5)影响商铺:升值潜力、地段、交通、配套、市场、定位(业态定位)、消费群、品牌、人流量、物业管理。针对每一个铺位影响因素:位置、面积(面积小、面积消费群体多,价格高)、楼层、铺型(柱、开间、阻挡)、配套设施。

10、递名片技巧:

1)当你与客户谈判时,客户感兴趣时,你递上名片客户对你印象深,认知度;

2)当客户快要起身时,递上名片,你的客户会准确记住,认知你;

11、递资料准确时间:

1)当你将重要内容讲解完毕,再递上资料,请他了解;

2)当你递名片时,一起递给他;

3)如果客户已拿了资料时,你顺着他资料内容一条条讲解下去,然后合上递给他;

12、市场调查目的,其实反映市场现状:

1)了解竞争楼盘;

2)了解消费需求;

3)了解消费行情;

4)为策划、销售提供依据

具体调查内容:

a)产品调查:规模、占地面积、铺位、功能定位(做什么,业态定位)、铺型、配置(电

梯、空调、水电表)、装修、物业管理、经营时间;

b)配套调查:内部配套、周边环境配套、功能配套;

c)价格调查:销售价格、均价、不同楼层差价、付款方式、租金价格(临街与内街价格);

具体调查方式:问卷、街访(入户走访、单层、左手入门、双手右手入门)、专家访谈、市场客户访谈;

具体调查对象:市场、商城、专业街、步行街、专卖点

具体配套调查:医院、银行、超市、休闲场所、酒店、学校、交通(人流、车流、公交车、长途车)

13、风水与房地产营销:南向房间特征(通风时间长、日照时间长、不易发霉、冬暖夏凉)。

风水宝地:依山伴水,龙脉(建筑物的朝向的阴阳取舍。阴:山之南、水之北;阳:山之北、水之南;龙椅之地:绿色是生命色;中纬度:夏吹东南风、西南风)

14、建筑颜色:红色---象征权利、富贵、尊严、红色镇邪。

15、使用率=实用面积/建筑面积

小高层的使用率小于多层:60-70%

高层的使用率小于小高层:80%以上

写字楼的使用率小于高层:50-60%

16、产权证:土地使用证、房产证(集资房是没有产权证的,福利房是有产权证,可以转让,在国家允许的年限内可以转让、出租)。

17、绿化:是生态内的非常小的一个方面。

环境:周边所表现的元素:生态、人文、地理、交通。一个楼盘的环境包括:绿化、交通、密度、配套设施、日照、朝向。

18、价格:昂贵、便宜

1)加权比较法:在价格上及对手比较加X%或减X%,不超过1;如对方1000元/㎡+1000元/㎡*10%=1100元/㎡;反之1000元/㎡-1000元/㎡*10%=900元/㎡;

2)盈亏平衡法

3)经验评估法:根据以往经验来测标,价格阻力位针对顾客来说,内容包括:均价、起价(作用,降低入市门槛、一般是低开高涨,只对于大型楼盘、而小规模楼

盘不宜采用低开高走)、最高价(最好的楼层肯定是最高价)、垂直价格(一般金三银四铜五铁六,超过27米空气质量越差)、价格的可塑性(有

品牌价值的空间)、目标价格(自我实现的价格)。

19、价格构成:

1)土地出让金:三通一平、拆迁、安置费、勘查设计费(了解地质结构);

2)公共基础设施费(统称土地成本);

3)建安成本(土建成本);

4)管理成本(包括营销预算成本);

5)融资成本(利息);

6)税收费用;

7)利润;

20、销控:

内部认购:二八理论:好5%、次15%、差80%;三七理论:好10%、次20%、差70%;

公开销售:用于调节控制销售进度,先销次的,留下一部分好的,用于最后冲刺。

包括:强销期(寻找热销势头)、持销期(也叫调整期,合理安排)、冲刺期、扫尾期。

21、建筑品质:

1)施工方的资质;

2)图纸:设计方案,采光通风是否符合国家规定,规划、设计院进行调查,研究;

3)建筑材料:质量好坏,是否环保产品?

22、金字塔型:

小盘:一般以快打慢,先奇制胜,制造与众不同的特色;

营销手法:营销突围,侧翼进攻,通路卡位,最多客户消费场所。如俱乐部、酒吧、歌舞厅、高尔夫、通过派人进入上述场所与期接触、吸引顾客、实行营销,节省广告费及其它费用。

23、项目定位:了解最大化的消费群体---再了解消费型态---得出需求---市场产品

24、国家标准容积率:

1)别墅1-0.8,一般是0.8;2)高档小区2-2.5;

3)中档小区3;4)低档小区4;

一类小区:公共基础设施布局完整,整个环境良好;

二类小区:公共基础设施布局完整,环境不良好;

三类小区:公共基础设施布局不完整,环境差

陆家嘴锦绣澜湾售楼处电话:400-8118-224【售楼中心热线】营销中心热线400-8118-224官方售楼处地址

4008118224楼盘项目全面介绍,本电话为开发商提供线上预约售楼电话,楼盘项目全面介绍(包含楼盘简介,均价,房价,现房,期房,别墅,叠墅,大平层,价格,楼盘地址,户型图,交通规划,备案价,备案名,项目配套,样板间,开盘时间,认筹时间,楼盘详情, 售楼处电话,最新消息,最新详情,周边配套,一房一价,最新进展等详情咨询)楼盘详情丨价格丨更多优惠丨机不可失丨欢迎致电丨诚邀品鉴!售楼处位置丨特价房丨工抵房丨剩余房源丨户型图丨最新消息丨免责声明:将文章内容综合来源于网络、只作分享,版权归原作者所有!!如有侵权,请联系我们。(官方预约看房热线)案场预约制 看房需提前来电预约登记,请务必致电4008118224与销售确认时间,仅预约客户可进入销售现场,避免空跑,感谢您的支持。售楼处楼盘详情,售楼处电话400-8118-224,售楼处官方电话400-811-8224,售楼处地址,售楼处面积,售楼处户型,售楼处价格,售楼处优惠,售楼处交通,售楼处学区,售楼处商业,售楼处得房率,售楼处绿化率,售楼处开盘时间,售楼处交房时间,售楼处百科详情!

声明:本文由入驻焦点开放平台的作者撰写,除焦点官方账号外,观点仅代表作者本人,不代表焦点立场。