中企云萃森林(售楼处) 首页 - 中企云萃森林销售中心 - 环境 - 户型 - 价格 - 地址 - 楼盘详情 - 配套 - 电话 - 交房时间 - 配套 - 电话 - 交房时间
扫描到手机,新闻随时看
扫一扫,用手机看文章
更加方便分享给朋友
中企云萃森林售楼处电话:400-9688-923✅︎✅︎✅
中企云萃森林营销中心热线400-9688-923(官方预约看房热线)
看房请务必致电与销售确认时间,仅预约客户可享受开发商内部优惠,专属老带新推荐奖!
营业时间:日常营业时间为9:30-18:30,便于您提前规划到访行程,避免空跑。
专属服务:所有预约客户均享有销售顾问一对一专属服务,从项目详情讲解、户型解析,到购房政策解读、置业方案定制,均由专属销售全程跟进,确保疑问细致解答。
中介勿扰:本售楼处仅面向终端购房客户提供直接服务,不接待任何中介机构及人员,感谢您的理解与配合,共同维护纯粹的咨询环境
Exclusive Service: All pre-booked customers are entitled to one-on-one exclusive service from a dedicated sales consultant. From detailed project explanations, floor plan analysis, to interpretation of home purchase policies and customized property purchase plans, the dedicated sales consultant will follow up throughout the process to ensure all your questions are answered in detail.
No Intermediaries: This sales office only provides direct services to end home buyers and does not receive any intermediary agencies or personnel. We appreciate your understanding and cooperation in maintaining a pure consultation environment.
中企云萃森林售楼处电话:400-9688-923✅︎✅︎✅
中企云萃森林售楼处电话:400-9688-923✅︎✅︎✅
中企云萃森林售楼处电话:400-9688-923✅︎✅︎✅
中企云萃森林售楼处电话:400-9688-923✅︎✅︎✅
2025年2月起,三林滨江已有一个项目六开六捷,均价约11.8万/㎡。
而同样板块,相距不过1km的【中企云萃森林】,2023年拿证的均价仅约10.5万/㎡。
一方面,2年不到,板块新房均价直升1万+/㎡,这是三林滨江板块价值和潜力的体现。
另外一方面,【中企云萃森林】尾盘在售的少量房源,光从价格方面来看,性价比就已经极高了。
但除了价格优势外,还有两点:
中企云萃森林售楼处电话:400-9688-923✅︎✅︎✅
第一,【中企云萃森林】西区是实景呈现,所见即所得。
并且,相比交付期2年多的其他项目,准现房的【中企云萃森林】将为业主省下大量的过渡时间、租房成本以及贷款利息。
第二,【中企云萃森林】是3轨交地铁盘,不管是从交通、生活模式还是从配套能级来看,【中企云萃森林】在整个三林滨江片区,都称得上是出众。
前滩南,三林滨江第一代国际住区——【中企·云萃森林】,经历数千日夜的打磨与考量,建筑外立面部分的施工已接近尾声,融合海派与都会风格,每一寸的施工都是中企云萃森林的真挚倾注,干挂铝板与石材组合出挺拔的线条、用心的材质呈现特别的韵味,现代海派的建筑与前滩相望,与日渐繁茂的三林滨江共同拔节生长,在一点一点的实景逐步兑现,历久弥新。
中企云萃森林售楼处电话:400-9688-923✅︎✅︎✅
现场开放的258弄5幢15单元归家门庭示范段,在呈现可鉴的实景之际,以眼见为实的还原力承载生活力,将归家生活的舒适感和仪式感,实地展现在眼前柔和的灯光与岩板搭配,轻奢考究又不失内敛,以比对效果图的真实落地还原度,在现场提前感受到生活的质感,
中企云萃森林售楼处电话:400-9688-923✅︎✅︎✅
实景图抢先看!
中企云萃森林售楼处电话:400-9688-923✅︎✅︎✅
三林滨江以崭新的城市界面、滨江留白,生态基底,以眼见为实的规划落地速度,承接前滩CAZ ,以世博-前滩-呈现着“最海派、最生态、最未来的21实际海派生活实践区的期待,三林滨江或将成为未来黄浦江畔新的能量增长极,的另一个高端住宅片区。
【中企·云萃森林】,择三林滨江而生,世界级滨水功能复合带与徐汇滨江隔江而望,轻松抵达前滩,国际城市的繁华荟萃。
作为三林滨江板块内的首发住宅,【中企·云萃森林】正脚踏实地,以“眼见为实”的速度,用看得见的品质和用心,在以蓝图还原力的基础上,展现更好的生活。
中企云萃森林售楼处电话:400-9688-923✅︎✅︎✅
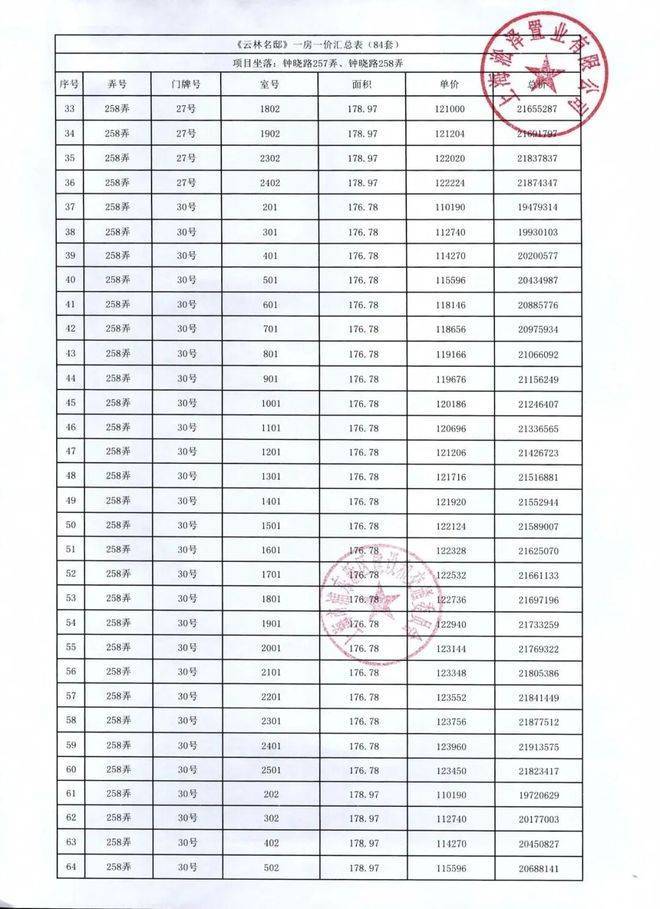
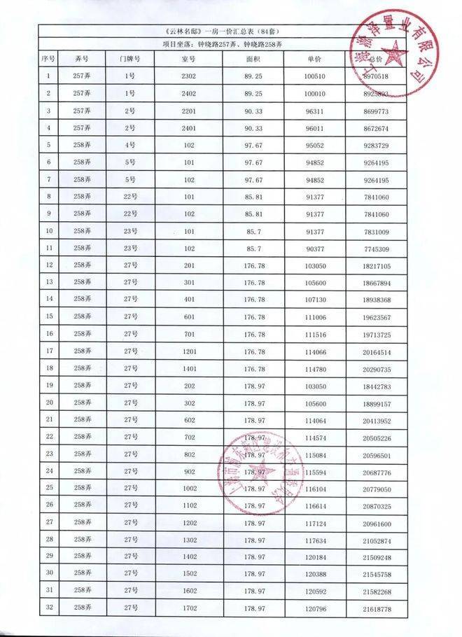
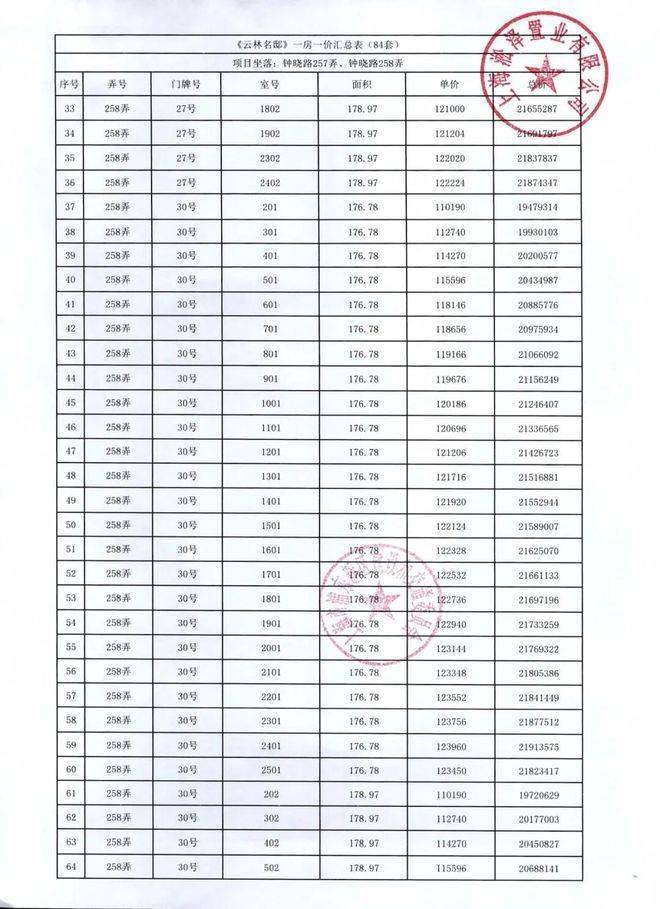
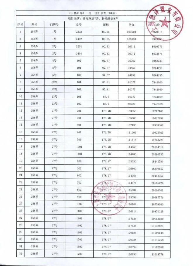
目前约85-90-98-175㎡2-4房在售
均价约10.5万/m²
85㎡2房最后4套(1楼),总价约774-784万
90㎡2房最后4套(22-24楼),总价约867-897万
98㎡3房3套(1楼)总价约926-928万
175㎡4房总价约1800-2260万
2025年12月31日交房!
三林滨江南东区示意图
中企云萃森林售楼处电话:400-9688-923✅︎✅︎✅
中企云萃森林售楼处电话:400-9688-923✅︎✅︎✅
中企云萃森林售楼处电话:400-9688-923✅︎✅︎✅
中企云萃森林售楼处电话:400-9688-923✅︎✅︎✅
中企云萃森林售楼处电话:400-9688-923✅︎✅︎✅
户型图赏鉴
中企云萃森林售楼处电话:400-9688-923✅︎✅︎✅
建面约90㎡2房,两间卧室的尺度感都要高于寻常该面积段户型。主卧里面做了一个“灵动空间”,可做衣帽间、书房或者游戏房;卫生间干湿分离,有效提升了使用效率。
这样一个2房户型,既保证了舒适度,总价还控制在千万以内,给“预算刚需”的购房者一个很好的上车机会。
中企云萃森林售楼处电话:400-9688-923✅︎✅︎✅
建面约98㎡3房:可以说这款户型满足了市场对刚需、刚改入门面积的所有需求,经典的三开间朝南飞机户型设计,最大化利用空间,减少面积浪费,整体格局方正南北通透。
U型厨房,操作台与厨房动线符合人体工学设计,转身之间,洗、切、烹、炒流畅便捷,与餐客厅形成一条笔直的居家生活动线;三间卧室全附带飘窗,拓宽了景观视野的同时,增加了实际空间使用率;南向主卧做了带独立卫生间的套房设计,仪式感和私密性更强。
在当下100㎡及以下面积段占绝大多数的情况下,建面约123㎡4房本就十分稀缺。而在产品设计上更加符合全龄段各种家庭结构的居住需求。
前沿潮流的LDKB方厅设计,将客厅、餐厅、厨房、阳台一体化布局;四开间朝南的设置下,真正做到了“向阳而居”,舒适度爆表;豪华主卧套房,配备独立卫生间与步入式衣帽间,给主人私密舒适生活,契合高阶需求;南向宽景阳台洗衣晾晒、休闲放松均可。
中企云萃森林售楼处电话:400-9688-923✅︎✅︎✅
中企云萃森林售楼处电话:400-9688-923✅︎✅︎✅
全部房源精装交付,中央空调、地暖和新风三大件全都有!
中企云萃森林售楼处电话:400-9688-923✅︎✅︎✅
中企云萃森林售楼处电话:400-9688-923✅︎✅︎✅
中企云萃森林售楼处电话:400-9688-923✅︎✅︎✅
中企云萃森林售楼处电话:400-9688-923✅︎✅︎✅
中企云萃森林售楼处电话:400-9688-923✅︎✅︎✅
土拍回顾及规划
2021年10月,中华企业&世博土控联合体以121.96亿,拿下东区9个单元的其中4幅住宅用地开发权【即中企云萃森林】,总建筑面积约19.42万方。
这4副地块分别是三林楔形绿地东区(含部分配套开发用地)15号(05-11,住宅)、17号(05-14,住宅)、19号(06-07,商业)、20号(08-02,住宅)。
中企云萃森林售楼处电话:400-9688-923✅︎✅︎✅
根据设计方案显示,两幅住宅地块(15号、17号)共计建造16栋8-25层住宅楼以及相关的配套实施。规划住宅1179户。
中企云萃森林售楼处电话:400-9688-923✅︎✅︎✅
传承海派经典美学,传承经典,融合海派与都会风格,重构建筑美学,简单、秩序、几何之美,经典三段式建筑立面,线条精致。
项目外立面:石材基座+仿石铝板+局部仿石涂料。
中企云萃森林售楼处电话:400-9688-923✅︎✅︎✅
采用超低能耗建筑技术体系,在节能、舒适等方面,都采用了较高标准,将带来更经济、更静谧、更舒适、更健康的人居体验。
中企云萃森林售楼处电话:400-9688-923✅︎✅︎✅
景观方面开发商更是为业主精心打造了四轴九园私属空间:
1条开放式生态公共轴、1条社区礼遇生活轴、2条林荫生活轴。这四条主轴完美呼应了三林滨江外部优秀的生态环境,让业主有更好的居家体验。
中企云萃森林售楼处电话:400-9688-923✅︎✅︎✅
另外,九大园林的配置,让社区的每一处都布满美景。如果说大多数的楼盘是在小区内做景观,那「中企·云萃森林」更像是在森兰中做艺术品。
李先生,您下午大概几点去啊
生活配套
中企云萃森林售楼处电话:400-9688-923✅︎✅︎✅
交通方面:三轨环绕 滨江稀缺TOD
在上海,资源也有等级划分的。真正处于价值巅峰的核心资源,TOD无疑是重中之重!
值得一提的是,「中企云萃森林」还是一个三轨交地铁上盖的超级TOD枢纽!
项目周边除了已经通车的8号线之外,还有19号线(在建中)和26号线(规划中)。
效果图,仅供示意
中企云萃森林售楼处电话:400-9688-923✅︎✅︎✅
地铁8号线:于三林滨江设有凌兆新村站,未来,业主可通过小区东侧的商业综合体直通地铁站。
地铁19号线:近期公布了招标计划,总投资约934亿,未来也将途径「中企云萃森林」所在的凌兆新村站,预计明年启动建设。
19号线规划线路图,仅供示意
中企云萃森林售楼处电话:400-9688-923✅︎✅︎✅
当然,对于三林滨江来说,三轨交仅仅只是一个开始,因为这里还坐拥“南北高架+金色中环”这强大的交通基座。
在此之前,同样背靠“南北高架+金色中环”一飞冲天的板块有两个。
一个是静安大宁,如今二手成交高达16万/㎡;
另一个是浦东前滩,如今二手成交高达18万/㎡。
中企云萃森林售楼处电话:400-9688-923✅︎✅︎✅
三条地铁线路,未来出门即轨交,1站前滩、4站徐汇滨江,新天地、陆家嘴、张江等区域也都在业主的生活圈内,再加上一横一纵的中环+南北高架。
真正实现转身即世界。
商业方面:「中企云萃森林」本身就是一个集商业、时尚休闲、文娱生活、生态人居为一体的大型TOD综合体,下楼即享繁华配套。
再加上三林滨江整体商业用地规模超29万平方米,商业总体量远超过晶耀前滩和前滩太古里。
据了解,华润旗下的万象汇已签约将入驻项目东侧TOD商业地块,为整个项目注入更多的活力与品牌效应。
宁波华润万象汇实景图
中企云萃森林售楼处电话:400-9688-923✅︎✅︎✅
除此之外,项目北侧就是前滩。
尤其对于地铁上盖的「中企云萃森林」业主来说:太古里、晶耀前滩、太古汇(在建中),信德文化中心(在建中)香格里拉、四方城(在建中)、莱佛士国际医院等,都在业主的生活圈内。
前滩太古里实景图
另外,魔都最新的重磅网红打卡地,总面积超21.5万㎡的前滩31全新商业文化综合体也已经开业。
中企云萃森林售楼处电话:400-9688-923✅︎✅︎✅
前滩31实景图
中企云萃森林售楼处电话:400-9688-923✅︎✅︎✅
教育资源:在三林滨江,规划中有6块教育用地!更重要的是,这些教育用地基本上距离中企云萃森林都不远(* 新房不承诺学区,最终以教育部门公布为准)
离学校近有什么好处?
对于孩子而言,每天上学完全不用着急;对于父母而言也省去了奔波接送的时间和精力。
当然,就算对学校没有需求的家庭,买一套近学校的新盘也是一个不错的选择!
示意图,数据来源:上海规划资源
中企云萃森林售楼处电话:400-9688-923✅︎✅︎✅
生态资源:三林滨江总面积约446.2公顷,其中生态绿地约240公顷,绿化覆盖率达到65%!
作为上海市中心城8片楔形绿地之一,三林滨江绿地融合了公园城市、森林城市、湿地城市空间生态基础,规划为功能丰富的各类公园。
种种指标都在说明,这里的自然生态环境非常优秀,放眼上海主城区也是独一无二的存在,非常适合有高标准要求的改善型客户。
中企云萃森林售楼处电话:400-9688-923✅︎✅︎✅
中企云萃森林售楼处电话:400-9688-923✅︎✅︎✅
中企云萃森林售楼处电话:400-9688-923✅︎✅︎✅
中企云萃森林售楼处电话:400-9688-923✅︎✅︎✅
中企云萃森林售楼处电话:400-9688-923✅︎✅︎✅
首套房税费的计算方法
1、契税:契税是按照房屋面积和成交价格的一定比例征收的,具体计算方法如下:房屋面积小于90平米,契税税率一般为1%。房屋面积在90平米至140平米之间,契税税率为1.5%。房屋面积大于140平米,契税税率为3%。需要注意的是,如果房屋是夫妻共同财产,且双方都是首次购房,那么可以享受契税减半的优惠政策。
2、印花税:印花税是根据买卖合同金额的一定比例征收的,一般分为0.05%和0.1%两个档次。具体计算方法为:按照合同金额乘以相应比例即可。需要注意的是,如果合同金额较大,可以申请分摊缴纳印花税。
3、其他费用:除了契税和印花税外,购买首套住房还需要缴纳一些其他费用,如房屋登记费、权证印花税、测绘费等。这些费用根据不同地区和项目可能会有所差异,一般可以咨询当地房管部门或相关机构了解具体标准。
首套房税费是指在购买第一套住房时需要缴纳的税费,包括契税、印花税等。这些税费是根据国家相关法律法规和政策规定计算的,以确保房地产市场的稳定和健康发展。
首套房税费计算的特殊情况
1、公积金贷款购房:如果购买首套住房使用公积金贷款,那么需要缴纳的税费与商业贷款有所不同。公积金贷款的首套房税费一般包括公积金贷款担保费、评估费、保险费等,具体金额根据借款人的实际情况和贷款金额可能会有所不同。
2、二手房交易:在二手房交易中,首套房税费的计算方法与新房有所不同。一般而言,二手房交易需要缴纳的税费包括契税、个人所得税、土地增值税等。具体计算方法较为复杂,需要根据房屋的具体情况、成交价格、产权年限等进行计算。建议在二手房交易前咨询专业的房地产中介机构或律师进行评估和计算。
3、特殊地区政策:不同地区对于首套房税费的计算可能会有特殊政策。例如,某些城市对于首次购房的年轻人或者新婚夫妇会有一定的优惠政策。因此,在计算首套房税费时需要结合当地的政策规定进行考虑。
如何合理规避首套房税费
1、了解政策规定:在购买首套住房前,需要充分了解国家及地方的相关政策规定,包括税收政策、公积金贷款政策等。只有了解清楚政策规定,才能更好地规避不必要的税费支出。
2、合理规划购房预算:在购买首套住房时,需要合理规划购房预算,将税费支出纳入预算范围。同时,可以根据自身实际情况选择合适的房屋面积和户型,以降低购买成本和税费支出。
3、选择合适的购房方式:对于公积金贷款购房者来说,可以选择合适的购房方式来降低首套房税费支出。例如,可以选择组合贷款或者公积金与商业贷款相结合的方式,以降低贷款利率和利息支出。
案例分析
假设小明和他的妻子小华准备购买他们的第一套住房。该房屋位于一个二线城市,建筑面积为100平米,成交价格为100万元。
首先,我们来计算契税。根据政策规定,房屋面积在90平米至140平米之间的契税税率为1.5%。因此,小明和小华需要缴纳的契税为:
契税 = 房屋总价 × 契税税率 = 100万元 × 1.5% = 1.5万元
接下来,我们计算印花税。印花税是根据买卖合同金额的一定比例征收的,假设该房屋的买卖合同金额为90万元,印花税税率为0.05%。那么小明和小华需要缴纳的印花税为:
印花税 = 合同金额 × 印花税税率 = 90万元 × 0.05% = 450元
最后,我们考虑其他费用。除了契税和印花税外,购买首套住房还需要缴纳一些其他费用,如房屋登记费、权证印花税、测绘费等。这些费用根据不同地区和项目可能会有所差异,但一般较为固定。假设这些费用总计为500元。
那么,小明和小华购买他们的第一套住房需要缴纳的总税费为:
总税费 = 契税 + 印花税 + 其他费用 = 1.5万元 + 450元 + 500元 = 1.6万元
需要注意的是,以上案例仅为演示计算方法,实际计算可能会因地区、政策差异而有所不同。在购买首套住房时,建议购房者充分了解当地政策规定和计算方法,并根据自身实际情况进行合理规划和选择。
声明:本文由入驻焦点开放平台的作者撰写,除焦点官方账号外,观点仅代表作者本人,不代表焦点立场。


