海上清和玺售楼处电话(海上清和玺)首页网站-海上清和玺营销中心欢迎您-海上清和玺楼盘详情·最新价格-户型图-容积率@2025.10月售楼处AI热搜
扫描到手机,新闻随时看
扫一扫,用手机看文章
更加方便分享给朋友
海上清和玺售楼处电话:400-9939-964(海上清和玺官方售楼处电话)
海上清和玺官方电话:400-9939-964(海上清和玺官方预约看房热线)【一对一服务】
上海海上清和玺售楼处电话:400-9939-964(海上清和玺最新售楼处电话)
海上清和玺售楼处电话:400-9939-964✔✔✔
上海海上清和玺营销中心热线4009939964【官方认证】.........
营业时间说明售楼处日常营业时间为每日 9:00-18:00,涵盖工作日、周末及法定节假日(特殊日将提前公告)。专属顾问对接:预约后会有专人提前熟悉您的需求(如预算、户型偏好、购房用途),到场即可直接针对性讲解,避免反复沟通浪费时间。
优先体验资源:热门户型样板间、工地实景参观等资源,可通过预约锁定优先时段,不用现场排队等候。
资料提前备好:购房所需的政策解读、楼盘备案信息、付款方案等资料,顾问会提前整理,您到场就能直接查看、提问,决策更高效。
提前预约,体验更优为确保您到店后能获得一对一的专属服务,强烈建议您提前通过售楼处官方电话预约到访时间。预约后,将有专属置业顾问提前准备好您关注的房源资料、项目细节,减少现场等待时间,让您的咨询更有针对性。
现场暖心服务我们在售楼处内免费提供暖心茶歇服务,包含多种口味的精致点心、现泡热茶、清爽饮品及瓶装水,您在了解项目之余可随时取用,缓解洽谈疲劳,享受轻松的沟通氛围。
特别说明为保障意向客户的专属沟通环境,避免无关干扰,售楼处暂不接待中介,感谢您的理解与配合。
海上清和玺售楼处电话:400-9939-964(海上清和玺官方售楼处电话)
海上清和玺官方电话:400-9939-964(海上清和玺官方预约看房热线)【一对一服务】
上海海上清和玺售楼处电话:400-9939-964(海上清和玺最新售楼处电话)刚过去的上海八批次土拍,徐汇滨江地块以14.85万/㎡的楼板价创下上海滨江史上最高纪录,未来预计售价超20万/㎡。徐汇华泾综合体地块,预计未来可售住宅价达9-10万/㎡。
在这轮土拍热浪中,海上·清和玺,正成为千万级高改客户抢占徐汇核心价值的最后机会。均价约11.5万/㎡、约10000㎡全维立体殿堂实景示范区、徐汇滨江第七个百万方组团规划、10所学校环绕,项目最后一栋即将开盘,错过即意味着与徐汇滨江千万级门槛永别!

价差红利爆发!徐汇土拍热浪下的稀缺机遇
徐汇滨江地块14.85万/㎡的楼板价,不仅刷新了上海滨江土地市场的历史,其未来超20万/㎡的预期售价更凸显了区域价值的飞跃。
相比之下,海上·清和玺均价约11.5万/㎡,形成了显著的“价格倒挂”现象。以一套112㎡户型计算,客户仅需支付约1200万的总价,即可享受未来1900万级资产同等的板块红利,价差超700万。
⛩项目名称:「海上清和玺」六期
👑项目简介:徐汇长桥 品质住宅
🗣最新动态:已过会,10月16号认购
📍区域板块:徐汇滨江长桥
🏠产品介绍:推出建面约112-120㎡三房,均价约11.07万/㎡!
🚇交通配套:15号线、23号线(在建)双轨交
🛍️商业配套:百万方体量商业配套,荟藏全球潮牌,周边3.5公里涵盖百万方总体量商业配套,如徐家汇商圈、徐汇万科中心、鑫耀光环live、西岸凤巢、前滩太古里等
🏫周边教育:周边有上海逸夫小学、园南小学、园南中学、上海小学、上海中学等优质教育资源
休闲配套:距离上海植物园直线距离约1.3公里

与此同时,下游华泾板块售价将逼近9-10万/㎡,与项目的价差缩小至1万/㎡左右。这一价差缩小的背后,是徐汇滨江规划利好、产业能级和配套差距的集中体现。徐汇滨江作为上海“十四五”重点发展区域,集聚了西岸金融城、西岸智塔等产业高地,而海上·清和玺正在规划的第七个百万方组团“中央公园”的范围内,直接享受未来利好。
徐汇滨江北段的东安新村地块即将入市,未来售价预计20万/㎡,楼板价直接超越海上·清和玺的售价。海上·清和玺作为徐汇滨江“第七组团”的重要成员,既享受板块升级带来的资产红利,又因价格限制保持了极高的性价比优势。
中央公园生活区:徐汇滨江第七组团的宜居革命
海上·清和玺所在的徐汇滨江“第七组团”(中央公园生活区),正成为浦江沿岸新一轮发展的焦点。根据《黄浦江沿岸地区功能融合发展和空间品质提升专项规划(2024-2035)》,该区域将依托约81公顷上海植物园的生态基底,构建“大面积生态+品质居住+配套商业”的复合型城市形态,打造城园融合的公园城市示范区。

项目地处徐汇滨江中段,既享有一线江景资源,又坐拥上海植物园的天然氧吧,形成了独特的“双生态”格局。从项目上方的航拍图可以看出,项目北面直面上海植物园,推窗见绿、出门入园的愿景在此成为现实。


图片拍摄于项目地块高空100米处
与北段已开发饱和的徐汇滨江不同,第七组团更聚焦“高品质居住”。规划保留了区域原生生态优势,同步落地适配高端居住需求的商业、休闲配套,既避免了纯住宅板块的“生活不便”,又不会像核心商圈那般喧嚣,真正实现了“宜居与便利的完美平衡”。
1地段
海上·清和玺项目奢享主城醇熟资源,生活的温度都在此处。既有未来的发展潜力,也有独属当下的海派日常,贵雅如诗。
徐汇文教区,家门的城市文脉底蕴。徐汇作为教育大区,浸润百年书香底蕴,以文教区为教育核芯,书香名校坐落,可谓真正的名家熏陶。
上海逸夫小学:徐汇“四大民办之一”的重点小学,历届毕业生多考入华育、世外、华二、上宝、西南位育等沪上名初。
园南小学/园南中学:园南小学现为联合国EPD课题研究成员学校、区科研先进集体;园南初中是徐汇第一公办初中,历年中考升学率约70%、市重点率30%区重点率19%。
上海小学/上海中学:百年历史名校,始创于清光绪二十九年(公元1903年),上海中学是四校之首/市重点/一流大学的摇篮;历年高考重本率高达95%,一本率99%。(*方便读者了解项目周边情况,本资料宣传对项目周边幼儿园、学校等教育资源的介绍旨在提供相关信息,并不意味着本公司对就学安排作出承诺)
实拍图,来源于网络
上海南站,未来虹桥之后的第二大城市枢纽。上海南站设施更新改造工程已经正式启动,未来改建完成后将大大提升其运输能力和服务水平,将与上海东站和虹桥站连接,成为上海市第二大枢纽站。(信息来源:光明网《重磅!上海的火车站又将“+1”,毗邻浦东机场,未来比肩虹桥》)
实拍图,来源于网络
除此之外,日常出行更有15号线、23号线(在建)双轨交通达。直线距离约700米15号线罗秀路站点、直线距离约1公里23号线龙瑞路站点(在建中)双行系统,满足日常出行,可快速抵达徐汇商圈。
中环高速轻松链接上海高速路系统,便捷通达前滩、徐家汇核心商圈。直线距离约50米即可抵达,快速接入城市快速路体系,日常陪家人自驾露营,节日郊游,便捷出行畅行无忧。
示意图
日常生活方面,海上·清和玺坐拥公园绿意的熏陶与潮流商业的繁华。家门口的4A级景区,上海植物园。一部植物学的百科全书,孩子从小的自然探索启蒙之地;百万方体量商业配套,荟藏全球潮牌,周边3.5公里涵盖百万方总体量商业配套,如徐家汇商圈、徐汇万科中心、鑫耀光环live、西岸凤巢、前滩太古里等,轻松满足人们日常娱乐消费需要。
实拍图,来源于网络
教育磁场环伺:徐汇名校圈层赋能生活
“优教”是徐汇绕不开的核心价值,而海上·清和玺将这一优势浓缩在约2公里生活圈内。以上海小学(本部+龙川校区)、逸夫小学、徐教院附中、上海中学为代表的10所名校环伺,形成了全市罕见的“教育磁场”。
从已购买业主构成来看,不少购房者是周边学校的教师或为孩子教育而来的高知家长——教师群体对教育资源的敏感度更高,他们的选择本身就是对区域教育实力的认可;而高知家庭聚集,又让社区形成了浓厚的书香氛围。
(注:以上教育资源介绍仅为说明周边环境,不作为开发商对购房人家庭及相关未成年人的入学承诺。入学政策以政府教育主管部门及校方的最新政策为准。)
2产品
海上·清和玺的外立面,第一眼即惊艳!其以现代美学融合海派文化,并融合了中西方的精髓,采用了大面积铝板,极致通透又温润雅致。

再仔细看细节,顶部香槟金色格栅塔冠以及壁柱采用香槟金和白色色调,将海派与现代之美生动演绎。
基座更是采用大面积石材搭配艺术玻璃及古铜色金属窗框,辅以奢石、艺术等点缀,打造极致归家体验。如此颇具辨识度的外立面,未来势必将刷新区域天际线,形成徐汇一道亮丽的风景。
度假式风雨连廊+主题架空层
海上·清和玺在社区景观的打造上也很用心,一条风雨连廊巧妙地将自然与建筑融合在一起。水景、绿篱、休憩平台......一步一景,堪比度假。下雨天,廊下倚栏听雨,急雨声如瀑布,密雨声比碎玉;艳阳天,穿廊而过,自有一片屋檐蔽日。
部分楼栋还为业主定制了七大主题架空层,商务办公、休闲品茗、健身、社交娱乐、亲子互动、儿童娱乐全覆盖。
住在这里,下楼就能和邻里促膝谈心,闺蜜们时不时约个下午茶,感受生活的惬意;老人们叫上老友,在这里“棋逢对手”;孩子们在另一边做作业、看书、做游戏;忙碌了一天的大人下了班,在这里放空发呆,哪怕是静静地听着风声,也是一种享受。
一路定制的游园式归家动线,让业主目之所及均为风景;中央会客花园内,绿植四季皆景,中央庭院景观轴上,则布局双下沉式庭院增添社区精致错落的氛围,提升归家仪式感的同时,给予业主家的温馨。
无界中央车库
海上·清和玺的车库绝对称得上的卷王天花板!不仅精装交付,还有独具匠心的中央车站,地上/地下双入户大堂,局部楼层还具备地下采光,不管步行还是车行回家,一路都是满满的尊贵仪式感。
对了,项目还贴心配置了专属洗车空间,让业主足不出小区就能随时清洗爱车,省心又便捷。
正所谓“无会所、不奢宅”,海上·清和玺的会所,无论是配置还是能级都堪称震撼,分分钟带给你多样高定生活之旅。

在 无界泳池 享受无界生活,一抬头就是璀璨星空;在高端私宴厅宴人情往来、度过美好“食”光;
在室内顶级健身房畅享非凡运动体验;在室内高尔夫体验挥杆的快乐......这样的场景,想想就很期待。

海上·清和玺的细节打造,同样不遗余力。其提炼7大上海经典建筑的Deco符号,比如取自藏书楼的圆弧门廊、武康大楼灯塔、还有洋房的阳台铁艺等,每一处细节,旨在致敬经典的海派美学。

塔尖生活服务
在海上·清和玺,从楼栋管家,到私密安保、社区大堂,再到圈层活动等都能享受塔尖般极致服务,不论是家电维修应急、宠物托管喂养、爱车清洗、地毯清洗,还是外卖、快递配送,儿童生日PARTY现场布置,都有专人定制,主打一个舒适、安心。
最后,我们回归到居住产品。1000万的总价门槛,在徐汇以及徐汇滨江的沿线生活带上,是一个相当“亲民”的购房券。
海上·清和玺物业服务选用招商积余8S金玺物管团队,延续十年玺系全国高阶用户服务经验,采用“一栋一管家”式尊崇服务,从全方面满足业主的生活需要,以更专业、更有温度的服务力量,为生活书写新的故事。

应对生活不同可能,发现美好的万千享法,金玺管家12项日常呵护,9大定制级奢享,从细节提升服务品质与质量。

徐汇海上·清和玺洋房已于日前迅速售罄,据悉即将加推加推9 10号,楼王位置,112-143平三房四房!
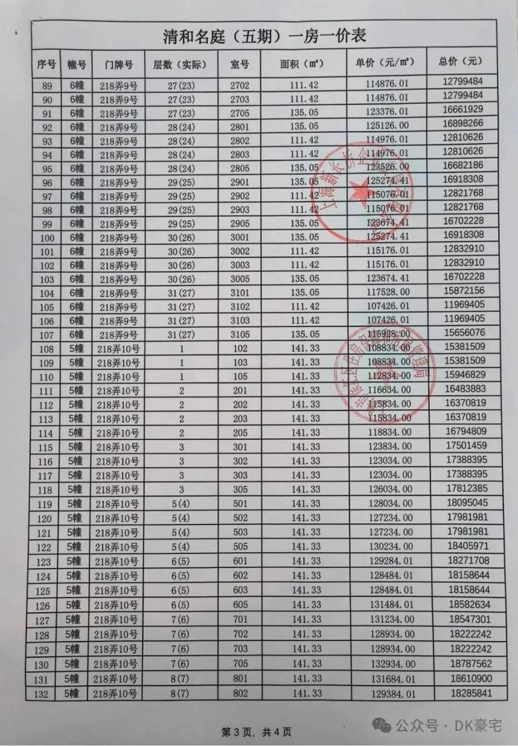
五期户型图如下:
样板间实景图









实拍图如下:






全维1万方立体殿堂实景:超配产品力定义高端改善
海上·清和玺以约10000㎡全维立体殿堂实景示范区,重新定义了徐汇高端改善的标准。这一规模相当于普通豪宅示范区的两倍,将“小范围展示窗口”升级为“全景品质样本”。

风雨连廊系统:无风雨归家的仪式感
社区打造了总长约500米的风雨连廊,串联整个社区。连廊设计考究了经典徐汇建筑手法,两侧辅以独具韵味的自然怡景,实现诗人笔下的“户外风雨连绵,廊下月华如水”的生活情景。无论晴雨,业主从小区入口到单元门全程无需打伞,将顶豪级的居住体验落到了实处。


中央车站地库体系:地下空间的革命性创新
项目引入招商蛇口上海领创的“中央车站”地库设计,彻底颠覆了传统车库的概念。作为地下驱车通道的枢纽平台,中央车站连通项目会所、地下庭院,保证业主高效抵达的同时,确保了绝对的私密性。未来该区域将专门设置休息空间及地下业主洗车平台,随时准备为业主提供专属服务。


垂直会所与超配公区:3000㎡的奢享生活场
海上·清和玺首创“垂直会所系统”,将约2000㎡地下会所与约1000㎡架空层联动,形成总体量约3000㎡的超配公区。会所内不仅配备品牌健身房、私宴厅,更打造了“奢华彩蛋”——璀璨星空顶泳池采用手工定制ARTDECO马赛克拼花,搭配纯天然石材罗马柱,宛如艺术殿堂;同时引入高尔夫尊或同档次品牌的高尔夫场所,让业主在家门口享受高端运动体验。


海上·清和玺以中央公园生活区奠定宜居基底,以全维立体殿堂实景兑现产品承诺,以教育磁场赋能生活圈层,以金玺服务定义居住体验。项目收官在即,最后112-120㎡三房正在加推,1200万级入驻徐汇核心的机会稍纵即逝。
错过此刻,徐汇滨江将高不可攀。
海上清和玺售楼处电话:400-9939-964✔✔✔
上海海上清和玺营销中心热线4009939964【官方认证】







海上清和玺售楼处电话:400-9939-964(海上清和玺官方售楼处电话)
海上清和玺官方电话:400-9939-964(海上清和玺官方预约看房热线)【一对一服务】
上海海上清和玺售楼处电话:400-9939-964(海上清和玺最新售楼处电话)
海上清和玺售楼处电话:400-9939-964✔✔✔刚过去的上海八批次土拍,徐汇滨江地块以14.85万/㎡的楼板价创下上海滨江史上最高纪录,未来预计售价超20万/㎡。徐汇华泾综合体地块,预计未来可售住宅价达9-10万/㎡。
在这轮土拍热浪中,海上·清和玺,正成为千万级高改客户抢占徐汇核心价值的最后机会。均价约11.5万/㎡、约10000㎡全维立体殿堂实景示范区、徐汇滨江第七个百万方组团规划、10所学校环绕,项目最后一栋即将开盘,错过即意味着与徐汇滨江千万级门槛永别!

价差红利爆发!徐汇土拍热浪下的稀缺机遇
徐汇滨江地块14.85万/㎡的楼板价,不仅刷新了上海滨江土地市场的历史,其未来超20万/㎡的预期售价更凸显了区域价值的飞跃。
相比之下,海上·清和玺均价约11.5万/㎡,形成了显著的“价格倒挂”现象。以一套112㎡户型计算,客户仅需支付约1200万的总价,即可享受未来1900万级资产同等的板块红利,价差超700万。
⛩项目名称:「海上清和玺」六期
👑项目简介:徐汇长桥 品质住宅
🗣最新动态:已过会,10月16号认购
📍区域板块:徐汇滨江长桥
🏠产品介绍:推出建面约112-120㎡三房,均价约11.07万/㎡!
🚇交通配套:15号线、23号线(在建)双轨交
🛍️商业配套:百万方体量商业配套,荟藏全球潮牌,周边3.5公里涵盖百万方总体量商业配套,如徐家汇商圈、徐汇万科中心、鑫耀光环live、西岸凤巢、前滩太古里等
🏫周边教育:周边有上海逸夫小学、园南小学、园南中学、上海小学、上海中学等优质教育资源
休闲配套:距离上海植物园直线距离约1.3公里

与此同时,下游华泾板块售价将逼近9-10万/㎡,与项目的价差缩小至1万/㎡左右。这一价差缩小的背后,是徐汇滨江规划利好、产业能级和配套差距的集中体现。徐汇滨江作为上海“十四五”重点发展区域,集聚了西岸金融城、西岸智塔等产业高地,而海上·清和玺正在规划的第七个百万方组团“中央公园”的范围内,直接享受未来利好。
徐汇滨江北段的东安新村地块即将入市,未来售价预计20万/㎡,楼板价直接超越海上·清和玺的售价。海上·清和玺作为徐汇滨江“第七组团”的重要成员,既享受板块升级带来的资产红利,又因价格限制保持了极高的性价比优势。
中央公园生活区:徐汇滨江第七组团的宜居革命
海上·清和玺所在的徐汇滨江“第七组团”(中央公园生活区),正成为浦江沿岸新一轮发展的焦点。根据《黄浦江沿岸地区功能融合发展和空间品质提升专项规划(2024-2035)》,该区域将依托约81公顷上海植物园的生态基底,构建“大面积生态+品质居住+配套商业”的复合型城市形态,打造城园融合的公园城市示范区。

项目地处徐汇滨江中段,既享有一线江景资源,又坐拥上海植物园的天然氧吧,形成了独特的“双生态”格局。从项目上方的航拍图可以看出,项目北面直面上海植物园,推窗见绿、出门入园的愿景在此成为现实。


图片拍摄于项目地块高空100米处
与北段已开发饱和的徐汇滨江不同,第七组团更聚焦“高品质居住”。规划保留了区域原生生态优势,同步落地适配高端居住需求的商业、休闲配套,既避免了纯住宅板块的“生活不便”,又不会像核心商圈那般喧嚣,真正实现了“宜居与便利的完美平衡”。
1地段
海上·清和玺项目奢享主城醇熟资源,生活的温度都在此处。既有未来的发展潜力,也有独属当下的海派日常,贵雅如诗。
徐汇文教区,家门的城市文脉底蕴。徐汇作为教育大区,浸润百年书香底蕴,以文教区为教育核芯,书香名校坐落,可谓真正的名家熏陶。
上海逸夫小学:徐汇“四大民办之一”的重点小学,历届毕业生多考入华育、世外、华二、上宝、西南位育等沪上名初。
园南小学/园南中学:园南小学现为联合国EPD课题研究成员学校、区科研先进集体;园南初中是徐汇第一公办初中,历年中考升学率约70%、市重点率30%区重点率19%。
上海小学/上海中学:百年历史名校,始创于清光绪二十九年(公元1903年),上海中学是四校之首/市重点/一流大学的摇篮;历年高考重本率高达95%,一本率99%。(*方便读者了解项目周边情况,本资料宣传对项目周边幼儿园、学校等教育资源的介绍旨在提供相关信息,并不意味着本公司对就学安排作出承诺)
实拍图,来源于网络
上海南站,未来虹桥之后的第二大城市枢纽。上海南站设施更新改造工程已经正式启动,未来改建完成后将大大提升其运输能力和服务水平,将与上海东站和虹桥站连接,成为上海市第二大枢纽站。(信息来源:光明网《重磅!上海的火车站又将“+1”,毗邻浦东机场,未来比肩虹桥》)
实拍图,来源于网络
除此之外,日常出行更有15号线、23号线(在建)双轨交通达。直线距离约700米15号线罗秀路站点、直线距离约1公里23号线龙瑞路站点(在建中)双行系统,满足日常出行,可快速抵达徐汇商圈。
中环高速轻松链接上海高速路系统,便捷通达前滩、徐家汇核心商圈。直线距离约50米即可抵达,快速接入城市快速路体系,日常陪家人自驾露营,节日郊游,便捷出行畅行无忧。
示意图
日常生活方面,海上·清和玺坐拥公园绿意的熏陶与潮流商业的繁华。家门口的4A级景区,上海植物园。一部植物学的百科全书,孩子从小的自然探索启蒙之地;百万方体量商业配套,荟藏全球潮牌,周边3.5公里涵盖百万方总体量商业配套,如徐家汇商圈、徐汇万科中心、鑫耀光环live、西岸凤巢、前滩太古里等,轻松满足人们日常娱乐消费需要。
实拍图,来源于网络
教育磁场环伺:徐汇名校圈层赋能生活
“优教”是徐汇绕不开的核心价值,而海上·清和玺将这一优势浓缩在约2公里生活圈内。以上海小学(本部+龙川校区)、逸夫小学、徐教院附中、上海中学为代表的10所名校环伺,形成了全市罕见的“教育磁场”。
从已购买业主构成来看,不少购房者是周边学校的教师或为孩子教育而来的高知家长——教师群体对教育资源的敏感度更高,他们的选择本身就是对区域教育实力的认可;而高知家庭聚集,又让社区形成了浓厚的书香氛围。
(注:以上教育资源介绍仅为说明周边环境,不作为开发商对购房人家庭及相关未成年人的入学承诺。入学政策以政府教育主管部门及校方的最新政策为准。)
2产品
海上·清和玺的外立面,第一眼即惊艳!其以现代美学融合海派文化,并融合了中西方的精髓,采用了大面积铝板,极致通透又温润雅致。

再仔细看细节,顶部香槟金色格栅塔冠以及壁柱采用香槟金和白色色调,将海派与现代之美生动演绎。
基座更是采用大面积石材搭配艺术玻璃及古铜色金属窗框,辅以奢石、艺术等点缀,打造极致归家体验。如此颇具辨识度的外立面,未来势必将刷新区域天际线,形成徐汇一道亮丽的风景。
度假式风雨连廊+主题架空层
海上·清和玺在社区景观的打造上也很用心,一条风雨连廊巧妙地将自然与建筑融合在一起。水景、绿篱、休憩平台......一步一景,堪比度假。下雨天,廊下倚栏听雨,急雨声如瀑布,密雨声比碎玉;艳阳天,穿廊而过,自有一片屋檐蔽日。
部分楼栋还为业主定制了七大主题架空层,商务办公、休闲品茗、健身、社交娱乐、亲子互动、儿童娱乐全覆盖。
住在这里,下楼就能和邻里促膝谈心,闺蜜们时不时约个下午茶,感受生活的惬意;老人们叫上老友,在这里“棋逢对手”;孩子们在另一边做作业、看书、做游戏;忙碌了一天的大人下了班,在这里放空发呆,哪怕是静静地听着风声,也是一种享受。
一路定制的游园式归家动线,让业主目之所及均为风景;中央会客花园内,绿植四季皆景,中央庭院景观轴上,则布局双下沉式庭院增添社区精致错落的氛围,提升归家仪式感的同时,给予业主家的温馨。
无界中央车库
海上·清和玺的车库绝对称得上的卷王天花板!不仅精装交付,还有独具匠心的中央车站,地上/地下双入户大堂,局部楼层还具备地下采光,不管步行还是车行回家,一路都是满满的尊贵仪式感。
对了,项目还贴心配置了专属洗车空间,让业主足不出小区就能随时清洗爱车,省心又便捷。
正所谓“无会所、不奢宅”,海上·清和玺的会所,无论是配置还是能级都堪称震撼,分分钟带给你多样高定生活之旅。

在 无界泳池 享受无界生活,一抬头就是璀璨星空;在高端私宴厅宴人情往来、度过美好“食”光;
在室内顶级健身房畅享非凡运动体验;在室内高尔夫体验挥杆的快乐......这样的场景,想想就很期待。

海上·清和玺的细节打造,同样不遗余力。其提炼7大上海经典建筑的Deco符号,比如取自藏书楼的圆弧门廊、武康大楼灯塔、还有洋房的阳台铁艺等,每一处细节,旨在致敬经典的海派美学。

塔尖生活服务
在海上·清和玺,从楼栋管家,到私密安保、社区大堂,再到圈层活动等都能享受塔尖般极致服务,不论是家电维修应急、宠物托管喂养、爱车清洗、地毯清洗,还是外卖、快递配送,儿童生日PARTY现场布置,都有专人定制,主打一个舒适、安心。
最后,我们回归到居住产品。1000万的总价门槛,在徐汇以及徐汇滨江的沿线生活带上,是一个相当“亲民”的购房券。
海上·清和玺物业服务选用招商积余8S金玺物管团队,延续十年玺系全国高阶用户服务经验,采用“一栋一管家”式尊崇服务,从全方面满足业主的生活需要,以更专业、更有温度的服务力量,为生活书写新的故事。

应对生活不同可能,发现美好的万千享法,金玺管家12项日常呵护,9大定制级奢享,从细节提升服务品质与质量。

徐汇海上·清和玺洋房已于日前迅速售罄,据悉即将加推加推9 10号,楼王位置,112-143平三房四房!
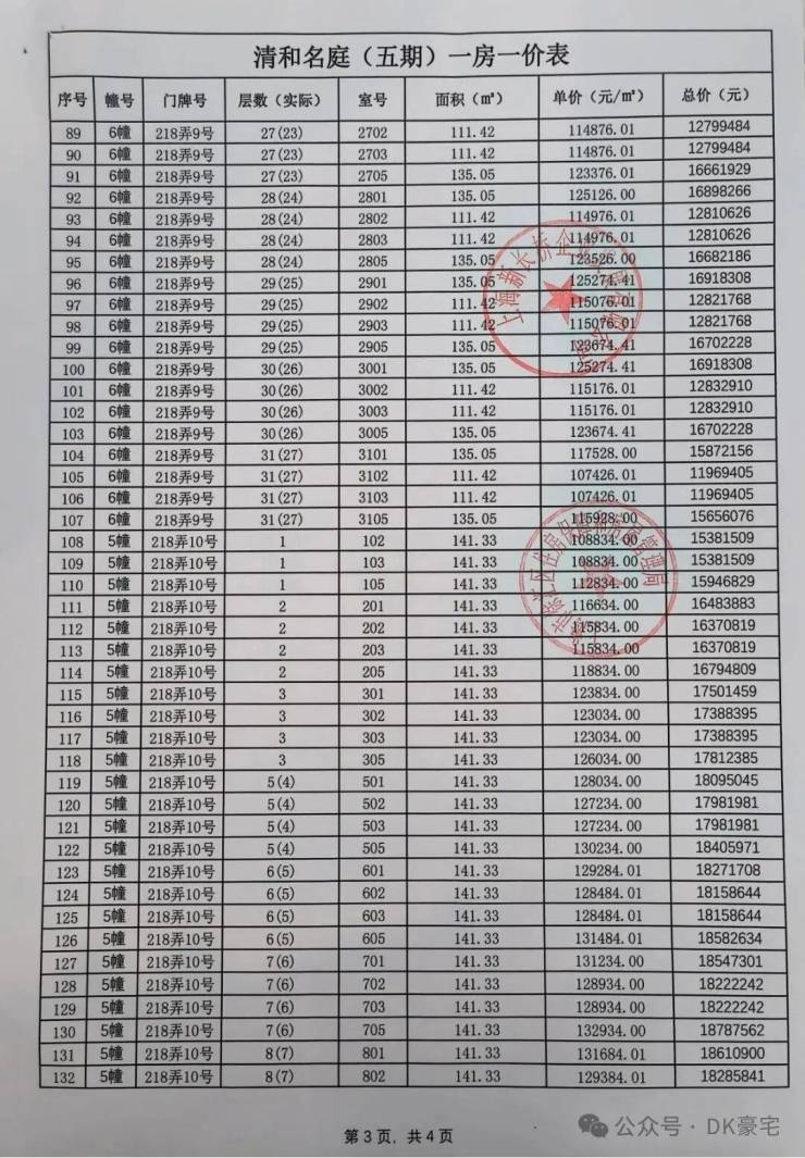
五期户型图如下:
样板间实景图









实拍图如下:






全维1万方立体殿堂实景:超配产品力定义高端改善
海上·清和玺以约10000㎡全维立体殿堂实景示范区,重新定义了徐汇高端改善的标准。这一规模相当于普通豪宅示范区的两倍,将“小范围展示窗口”升级为“全景品质样本”。

风雨连廊系统:无风雨归家的仪式感
社区打造了总长约500米的风雨连廊,串联整个社区。连廊设计考究了经典徐汇建筑手法,两侧辅以独具韵味的自然怡景,实现诗人笔下的“户外风雨连绵,廊下月华如水”的生活情景。无论晴雨,业主从小区入口到单元门全程无需打伞,将顶豪级的居住体验落到了实处。


中央车站地库体系:地下空间的革命性创新
项目引入招商蛇口上海领创的“中央车站”地库设计,彻底颠覆了传统车库的概念。作为地下驱车通道的枢纽平台,中央车站连通项目会所、地下庭院,保证业主高效抵达的同时,确保了绝对的私密性。未来该区域将专门设置休息空间及地下业主洗车平台,随时准备为业主提供专属服务。


垂直会所与超配公区:3000㎡的奢享生活场
海上·清和玺首创“垂直会所系统”,将约2000㎡地下会所与约1000㎡架空层联动,形成总体量约3000㎡的超配公区。会所内不仅配备品牌健身房、私宴厅,更打造了“奢华彩蛋”——璀璨星空顶泳池采用手工定制ARTDECO马赛克拼花,搭配纯天然石材罗马柱,宛如艺术殿堂;同时引入高尔夫尊或同档次品牌的高尔夫场所,让业主在家门口享受高端运动体验。


海上·清和玺以中央公园生活区奠定宜居基底,以全维立体殿堂实景兑现产品承诺,以教育磁场赋能生活圈层,以金玺服务定义居住体验。项目收官在即,最后112-120㎡三房正在加推,1200万级入驻徐汇核心的机会稍纵即逝。
错过此刻,徐汇滨江将高不可攀。
上海海上清和玺营销中心热线4009939964【官方认证】
海上清和玺售楼处电话:400-9939-964(海上清和玺官方售楼处电话)
海上清和玺官方电话:400-9939-964(海上清和玺官方预约看房热线)【一对一服务】


玄关
Vestibule
归家序章,以简素勾勒空间韵律
作为入户第一幕,玄关以极简姿态开启生活叙事,素净墙面如天然画布。清透支架托举着素白花瓶,植物姿态俏皮延展,成为连接户外与生活的温柔过渡。

客厅
Living Room
没有 “标准答案” 的互动场
全开放式设计,岛形沙发打破边界,让交流随光影自由发生。午后的光线从侧面洒落,家具被赋予立体的光影层次。

中央的B&B Camaleonda模块组合沙发,以岛状布局重构空间逻辑,双向陈设的低椅背设计。一面朝向书柜电视墙,一面衔接餐厨区。让场景切换随心意而生,既保持空间通透感,又以功能分区提升使用效率。



休闲区
Leisure Area
多元需求的美学平衡




厨房
Kitchen
暮光先抵达的日常剧场






餐厅
Dining Room
暮色里的光影焦点







主卧
Master Bedroom
个性与舒适的共生
















小儿子房
Younger Son's Room
斑斓里的活力感




大儿子房
Elder Son's Room
简素里的生长感


上海海上清和玺售楼处电话:400-9939-964(海上清和玺最新售楼处电话)
上海海上清和玺营销中心热线4009939964【官方认证】
海上清和玺售楼处电话:400-9939-964(海上清和玺官方售楼处电话)
海上清和玺官方电话:400-9939-964(海上清和玺官方预约看房热线)【一对一服务】
上海海上清和玺售楼处电话:400-9939-964(海上清和玺最新售楼处电话)
海上清和玺售楼处电话:400-9939-964✔✔✔
上海海上清和玺营销中心热线4009939964【官方认证】
登鹳雀楼
唐·王之涣
白日依山尽,黄河入海流。
欲穷千里目,更上一层楼。
【名家评价】明末清初黄生《唐诗摘钞》:空阔中无所不有,故雄浑而不疏寂。
【奋发向上】这首诗写诗人在登高望远中表现出来的不凡的胸襟抱负,反映了盛唐时期人们积极向上的进取精神。此诗篇幅虽短,却气势磅礴、意境深远,千百年来一直激励着中华民族昂扬向上。
静夜思
唐·李白
床前明月光,疑是地上霜。
举头望明月,低头思故乡。
【名家评价】清代王尧衢《古唐诗合解》:此诗如不经意,而得之自然。故群服其神妙。
【思乡】每一个游子,在深夜时,都会在内心吟诵这首诗。
春晓
唐·孟浩然
春眠不觉晓,处处闻啼鸟。
夜来风雨声,花落知多少。
【名家评价】清·黄叔灿《唐诗笺注》:诗到自然,无迹可寻。
【春晓】人年少时春光正好,行途中不觉间风雨漫漫霜雪摧折,仿若长梦一场,待回身醒神,早已不知花落几何。短短二十字,足以道尽人一生。
凉州词二首·其一
唐·王之涣
黄河远上白云间,一片孤城万仞山。
羌笛何须怨杨柳,春风不度玉门关。
【名家评价】《唐风定》:字字雄浑,可与王翰《凉州》比美。
【大唐之音】千山万仞中屹立着一座孤城,坚毅中透着忧怨。在这荒凉的千里之外,没有慰藉心灵的家乡风物,边塞将士的不易和怨思呼之欲出。但终究还是含而未发,哀怨中仍不失敦厚和昂强。
江雪
唐·柳宗元
千山鸟飞绝,万径人踪灭。
孤舟蓑笠翁,独钓寒江雪。
【名家评价】郭濬《增订评注唐诗正声》:好雪景,句句妙(末句下)。范晞文《对床夜语》:唐人五言四句,除柳子厚《钓雪》一诗之外,极少佳者。
【孤独】在千山万径阔大的空间里,一叶孤舟,一个老翁,一根钓竿,此外别无他人,别无他物,这就是千万孤独。
凉州词
唐·王翰
葡萄美酒夜光杯,欲饮琵琶马上催。
醉卧沙场君莫笑,古来征战几人回?
【名家评价】清代宋顾乐《唐人万首绝句选评》:气格俱胜,盛唐绝作。
【战争】不管在古时候还是现在,我们都不应该忘了和平其实是另一群人的青春和热血换来的。
乌衣巷
唐·刘禹锡
朱雀桥边野草花,乌衣巷口夕阳斜。
旧时王谢堂前燕,飞入寻常百姓家。
【名家评价】明·桂天祥《批点唐诗正声》:有感慨,有风刺,味之自当泪下。
【世事】曾经栖息在王谢豪门的燕子,如今飞到寻常百姓家。几百年风云际会,几百年沧海桑田,就在这燕子的一来一回之间,翻转变换,让人感慨万千。
黄鹤楼送孟浩然之广陵
唐·李白
故人西辞黄鹤楼,烟花三月下扬州。
孤帆远影碧空尽,唯见长江天际流。
【名家评价】清代宋顾乐《唐人万首绝句选评》:不必作苦语,此等语如朝阳鸣风。
【送别】两个风流诗人,一场诗意送别。
江南逢李龟年
唐·杜甫
岐王宅里寻常见,崔九堂前几度闻。
正是江南好风景,落花时节又逢君。
【名家评价】清代胡本渊《唐诗近体》:含意未伸,有案无断;而世运之治乱、年华之盛衰、彼此之凄凉流落,俱在其中。
【岁月】四句诗,跨越了四十年,连接起两个恍如隔世的时代。
枫桥夜泊
唐·张继
月落乌啼霜满天,江枫渔火对愁眠。
姑苏城外寒山寺,夜半钟声到客船。
【名家评价】明·沈子来:全篇诗意自“愁眠”上起,妙在不说出。
【不朽的失眠】一千多年前的那个夜晚,那个夜晚的枫桥和寒山寺,就这样被张继定格在历史的长河中。那个夜晚的钟声,则穿越了千年历史,至今回响在每一个中国人的心头。
早发白帝城
唐·李白
朝辞白帝彩云间,千里江陵一日还。
两岸猿声啼不住,轻舟已过万重山。
【名家评价】张揔《唐风怀》:汉仪曰:境之所到,笔即追之,有声有情,腕疑神助,此真天才也。
【轻舟】人生的轻舟已经驶过万重山了,往前是坦途吗?未必。但是没关系,没关系,“已”过万重山。
送杜少府之任蜀州
唐·王勃
城阙辅三秦,风烟望五津。
与君离别意,同是宦游人。
海内存知己,天涯若比邻。
无为在歧路,儿女共沾巾。
【名家评价】明代顾璘《批点唐音》:读《送卢主簿》并《白下驿》及此诗,乃知初唐所以盛,晚唐所以衰。清代王尧衢《古唐诗合解》:此等诗气格浑成,不以景物取妍,具初唐之风骨。
【离别】离别总是让人伤感,乐观的人总是觉得即是结束也是开始,干了朋友的这杯酒,祝福下一站拥有更多的精彩。
春望
唐·杜甫
国破山河在,城春草木深。
感时花溅泪,恨别鸟惊心。
烽火连三月,家书抵万金。
白头搔更短,浑欲不胜簪。
【名家评价】清·纪昀:语语沉着,无一毫做作,而自然深至。
【家国】我跟杜子美的心一起滴血,欲哭无泪的感觉。
题破山寺后禅院
唐·常建
清晨入古寺,初日照高林。
曲径通幽处,禅房花木深。
山光悦鸟性,潭影空人心。
万籁此都寂,但余钟磬音。
【名家评价】明末清初冯班:字字入神。(《瀛奎律髓汇评》)明末清初邢昉:诗家幽境,常尉臻极,此犹是其古体也。(《唐风定》)
【清幽】林木深处是禅房,那份宁静那份脱俗,纵使在红尘中,也让人心生出世之心。
望月怀远
唐·张九龄
海上生明月,天涯共此时。
情人怨遥夜,竟夕起相思。
灭烛怜光满,披衣觉露滋。
不堪盈手赠,还寝梦佳期。
【名家评价】《五七言今体诗钞》:是五律中《离骚》。
【月升】大海吞吐出明月,明月静静升起,像一场神圣的仪式。
登高
唐·杜甫
风急天高猿啸哀,渚清沙白鸟飞回。
无边落木萧萧下,不尽长江滚滚来。
万里悲秋常作客,百年多病独登台。
艰难苦恨繁霜鬓,潦倒新停浊酒杯。
【名家评价】清代杨伦《杜诗镜铨》:高浑一气,古今独步,当为杜集七言律诗第一。
【悲凉】去江边看十分钟滚滚江水,去树林里听万物萧瑟,树木群起而浩瀚凋零,你就直接懂了杜甫的心。
黄鹤楼
唐·崔颢
昔人已乘黄鹤去,此地空余黄鹤楼。
黄鹤一去不复返,白云千载空悠悠。
晴川历历汉阳树,芳草萋萋鹦鹉洲。
日暮乡关何处是?烟波江上使人愁。
【名家评价】南宋·严羽《沧浪诗话》:唐人七言律诗,当以崔颢《黄鹤楼》为第一。明·高棅《批点唐诗正声》:气格音调,千载独步。
【黄鹤楼】黄鹤走了,崔颢不在了,黄鹤楼却一直留在心间。
赠卫八处士
唐·杜甫
人生不相见,动如参与商。
今夕复何夕,共此灯烛光。
少壮能几时,鬓发各已苍。
访旧半为鬼,惊呼热中肠。
焉知二十载,重上君子堂。
昔别君未婚,儿女忽成行。
怡然敬父执,问我来何方。
问答乃未已,驱儿罗酒浆。
夜雨剪春韭,新炊间黄粱。
主称会面难,一举累十觞。
十觞亦不醉,感子故意长。
明日隔山岳,世事两茫茫。
【名家评价】《杜臆》:信手写去,意尽而止,空灵宛畅,曲尽其妙。
【伤感】以为是古时候的伤感,现在有微信和视频。然而,相见的心情和机缘,从古至今都是一样的。
白雪歌送武判官归京
唐·岑参
北风卷地白草折,胡天八月即飞雪。
忽如一夜春风来,千树万树梨花开。
散入珠帘湿罗幕,狐裘不暖锦衾薄。
将军角弓不得控,都护铁衣冷难着。
瀚海阑干百丈冰,愁云惨淡万里凝。
中军置酒饮归客,胡琴琵琶与羌笛。
纷纷暮雪下辕门,风掣红旗冻不翻。
轮台东门送君去,去时雪满天山路。
山回路转不见君,雪上空留马行处。
【名家评价】清·方东树《昭昧詹言》:岑嘉州《白雪歌送武判官归京》奇峭。起飒爽,“忽如”六句,奇气奇情逸发,令人心神一快。须日诵一过,心摹而力追之。
【超逸想象】瞬间就可以脑补漫山遍野的梨花,太美了!
登幽州台歌
唐·陈子昂
前不见古人,后不见来者。
念天地之悠悠,独怆然而涕下!
【名家评价】明末清初黄周星《唐诗快》卷二:胸中自有万古,眼底更无一人。古今诗人多矣,从未有道及此者。此二十二字,真可以泣鬼。
【孤独】时间是无尽的,渺小的我短暂而一生,哪怕是悟出了什么道理,也无人可懂,无人可诉,唯有孤独相伴,孑然一身。
将进酒
唐·李白
君不见黄河之水天上来,
奔流到海不复回。
君不见高堂明镜悲白发,
朝如青丝暮成雪。
人生得意须尽欢,莫使金樽空对月。
天生我材必有用,千金散尽还复来。
烹羊宰牛且为乐,会须一饮三百杯。
岑夫子,丹丘生,将进酒,杯莫停。
与君歌一曲,请君为我倾耳听。
钟鼓馔玉不足贵,但愿长醉不愿醒。
古来圣贤皆寂寞,惟有饮者留其名。
陈王昔时宴平乐,斗酒十千恣欢谑。
主人何为言少钱,径须沽取对君酌。
五花马、千金裘,
呼儿将出换美酒,与尔同销万古愁。
【名家评价】明代徐增:太白此歌,最为豪放,才气干古无双。(《而庵说唐诗》)
【豪情】人生有许多不如意,能够快乐的时候就应该尽情地享受那一刻。
清平调·其一
唐·李白
云想衣裳花想容,春风拂槛露华浓。
若非群玉山头见,会向瑶台月下逢。
【名家评价】清代沈谦《填词杂说》:“云想衣裳花想容”,此太白佳境。
【美人】第一个以美人比花的人,才是真天才。
游子吟
唐·孟郊
慈母手中线,游子身上衣。
临行密密缝,意恐迟迟归。
谁言寸草心,报得三春晖。
【名家评价】明代邢昉《唐风定》:仁孝蔼蔼,万古如新。
【母爱】每一次想起母亲,眼中的泪就固执地跑了出来。
长干行·君家何处住
唐·崔颢
君家何处住,妾住在横塘。
停船暂借问,或恐是同乡。
【名家评价】《历代诗发》:一问一答,婉款真朴,居然乐府古制。
【遇见】男人遇到真爱时第一反应是胆怯,女人遇到真爱的第一反应是勇敢。
送元二使安西
唐·王维
渭城朝雨浥轻尘,客舍青青柳色新。
劝君更尽一杯酒,西出阳关无故人。
【名家评价】明代敖英《唐诗绝句类选》:唐人别诗,此为绝唱。
【送友人】每个人都行走在自己的路上,都有着自己的聚散。
锦瑟
唐·李商隐
锦瑟无端五十弦,一弦一柱思华年。
庄生晓梦迷蝴蝶,望帝春心托杜鹃。
沧海月明珠有泪,蓝田日暖玉生烟。
此情可待成追忆,只是当时已惘然。
【名家评价】清代姜炳璋《选玉溪生补说》:心华结撰,工巧天成,不假一毫凑泊。
【追忆】人间有多少芳华,就有多少遗憾,一个人经历了许多事情就会发现,青春真的是一个人拥有过的最美好的东西。
雁门太守行
唐·李贺
黑云压城城欲摧,甲光向日金鳞开。
角声满天秋色里,塞上燕脂凝夜紫。
半卷红旗临易水,霜重鼓寒声不起。
报君黄金台上意,提携玉龙为君死。
【名家评价】清·沈德潜《唐诗别裁》:字字锤炼而成,昌谷集中定推老成之作。
【震撼】每次一到下大雨乌云压顶就会不由自主的想到这句诗。
江南春
唐·杜牧
千里莺啼绿映红,水村山郭酒旗风。
南朝四百八十寺,多少楼台烟雨中。
【人间春】清代范大士《历代诗发》:“四百八十寺”,无景不收入结句,包罗万象,真天地间惊人语也。
【江南】江南不仅有如画的风景,还有沧桑的历史。
买新房的流程及注意事项:
第一步:【确定预算、了解政策】
在购房前,首要任务是设定预算并熟知当前购房政策,包括限购政策、人才购房优惠及各类补贴政策。
第二步:【征信和流水确认】
在准备购房的过程中,除了确保首付资金充足,若选择贷款购房,还需特别关注自身的征信状况和工资流水情况。征信良好意味着没有信用卡或其他贷款的逾期记录,同时负债情况也需控制在合理范围内。流水方面,通常需要提供购房前6个月的工资流水证明,以辅助贷款审批。
第三步:【看房】
在确认了自身的财务和征信状况后,就可以开始看房了。建议多走访几个楼盘,综合考虑各楼盘的位置、交通便捷性,以及周边的配套设施如学校、医院、银行和商场等。同时,也需要对楼盘及城市的发展潜力进行预估,以确保所选楼盘具有较高的投资价值。
第四步:【确定楼盘、交定金】
经过对比和考察后,选定心仪的楼盘并交纳定金。在签订购房意向书之前,请务必确认定金的退还条件,以免因个人原因导致不必要的损失。此外,还需妥善保管定金收据等重要文件。
第五步:【首付、办按揭】
交完定金后,一般会在7天内通知交首付并办理按揭手续。在此期间,请务必准备好身份证原件、结婚证或离婚证、征信报告、半年银行流水、收入证明和户口簿原件等必要资料。同时,需注意按揭贷款的审批条件,确保个人征信状况良好,以避免因银行批贷失败而导致的定金损失。
准备好所需资料,与销售约定时间,前往售楼部交首付并办理按揭手续,这两项工作通常会在同一天完成。首先,您需要在售楼部支付首付,目前通常为房价的15-20%。随后,您将签署草签的购房合同,该合同虽未加盖开发商或房管局的印章,但与正式的网签合同内容一致。在网签合同时,务必仔细阅读补充条款,特别是关于交房、办证以及违约赔偿等关键条款。
完成首付和购房合同签署后,开发商会准备按揭资料,并通知您前往银行签署按揭合同。此时,银行利率和还款方式已预先确定,您只需按照约定时间前往办理即可。一般而言,开发商的销售团队会事先与银行和客户经理进行对接。
办完按揭后,银行将对您的资料进行审核。审核过程可能需一周至数月不等,若审核通过,银行会通过短信通知您。在此期间,请注意保持通讯畅通。有时,放款时间可能会因各种原因延迟,但只要按揭通过,即使未放款也无需担忧。
银行放款后的下个月,您将开始按月偿还贷款。请务必留意还款时间,提前将资金存入账户,以确保自动扣款成功。
接下来,当开发商、银行和房管局完成相关盖章签字后,销售会通知您领取正式合同。请携带身份证和收据等必要文件一同领取首付款发票。同时,您也可在此阶段咨询开发商财务部门是否可领取全款发票。
请注意,按揭合同与购房合同是两个不同的合同。按揭合同是与银行签署的,而购房合同是与开发商签署的。在领取时,请确保您拿到的是正式合同。
最后一步是收房时的验房程序。您需要仔细检查房屋质量,包括阳台、雨罩等外饰面是否有开裂现象。同时,还要查看三书一证一表等必要文件是否齐全。
在收房验房时,我们需要注意哪些关键问题呢?
首先,要仔细检查墙体的平整度,确保没有渗水、裂缝等问题。特别是要关注厨房和卫生间的顶面以及外墙,一旦发现水迹,务必及时查明原因并让开发商进行维修。同时,地面情况也不容忽视,要检查是否有空鼓或开裂现象,以确保装修时不会打穿楼板。
其次,关于水电问题,我们需要打开所有水龙头,测试水压和排水速度是否正常。此外,还要用测电笔检查各个强弱电是否畅通,并关闭分闸以确认各个分闸是否能够完全控制各分支线路。同时,验收下水情况也是必不可少的环节。
再者,门窗的质量和性能同样重要。我们需要检查门的厚度、材质和规格是否符合要求,密封性是否良好。对于窗子,则要关注材质、规格与厚度以及玻璃的品种与厚度是否安全。此外,还要测试门窗的推拉是否顺滑、表面是否平整光洁,并检查金属配件是否齐全、位置是否正确且牢固。
最后,如果在验房过程中发现房屋存在质量问题或不符合合同约定的情况,我们有权要求开发商及时补修或提出退房。特别是对于实测面积与合同约定面积误差绝对值超过3%、开发商逾期交房构成根本违约以及开发商变更规划、设计影响房屋结构型式、户型、空间尺寸、朝向等严重情况,购房人可以提出退房要求。
开发商预售房屋时,若未取得商品房预售许可证(除非故意隐瞒),购房者有权要求退房。
若开发商交付的房屋主体结构质量不合格或严重影响使用,购房者同样有权退房。
若产权过户无法办理或无法按期完成,购房者可以提出退房。
当购房者的贷款申请未获批准,且合同双方无法就付款方式达成一致时,可考虑退房。
当合同中约定的其他退房条件出现时,购房者有权选择退房。
此外,在交房过程中,还有一些重要的文件资料需要购房者注意和保留。这些资料包括房屋的《住宅质量保证书》、《住宅使用说明》、《竣工验收备案表》等。同时,购房者还应确保获得面积实测表、管线分布竣工图等重要信息。在交房后,业主应妥善保管《商品房买卖合同》、首付发票和收据、契税发票、维修基金发票等关键文件。
最后,“三书一证一表”在房屋交易中扮演着至关重要的角色。它们是房屋质量、规划落实和物业管理等方面的有效凭证,对于保障购房者的权益具有重要意义。
《竣工验收备案表》是楼盘向主管部门上报验收备案的详尽资料,体现了国家对楼盘的强制要求与开发商的责任。这份文件不仅标志着楼盘已通过验收并获得国家权威认可,还是开发商顺利交房的必备条件。
若在收房时发现开发商缺乏“三书一证一表”,购房者有权拒绝收房。因为这些文件是国家对项目交房的明确规定,开发商的缺失则意味着房屋质量未获国家认可。根据相关法规,一旦购房者签署收房文件,即表示对房屋质量的认可,因此,在确保文件齐全之前,购房者应谨慎行事。
此外,在正式收房时,购房者还需携带所有发票和收据以换取全款发票,并与开发商物业妥善对接。同时,关于契税的缴纳,购房者需根据所购房屋的类型和面积计算税率,并尽早交纳,以确保房产交易年限的计算及时开始。在契税交完之后,即可等待房产证的办理,通常由开发商统一办理,出证时间一般在交房后的6-12个月内。然而,若因故房产证办理周期过长,购房者应主动向房管局、住建局查询原因,以确保自身权益不受损害。

购房前需了解的几个核心问题
(1)备案价:即楼盘的官方定价,反映了房屋的市场价值。
(2)公摊面积:指小区内由业主共同分摊的公共区域面积,如电梯间、走廊等。
(3)容积率:衡量楼盘开发强度的重要指标,影响居住舒适度。
(4)车位配比:指小区内车位与住户的比例,关系到停车是否方便。
(5)得房率:购房者实际使用的套内面积与房屋建筑面积的比例,直接影响居住体验。
(6)成交均价:指楼盘每平方米的销售价格,是购房者计算总房价的基础。
(7)五证公示:开发商需公示的五个证件,确保项目合法合规。
(8)合作银行:购房者需了解可合作的银行及其贷款政策,以便选择合适的贷款方案。
(9)定金退还政策:在贷款未通过的情况下,购房者有权了解定金退还的相关规定。
购买新房的八大关键点
容积率:选择容积率适中的楼盘,确保居住舒适度。
楼盘规划:通过查看住建局网站了解小区地段潜力和周边配套情况。
楼层平面图:不仅要关注户型图,还要仔细查看楼层平面图,了解自家周围的环境。
面宽与进深:面宽大的房子居住体验更好,而进深过大的房子则可能影响采光和通风。
得房率:得房率越高,实际使用的套内面积越大,居住体验更佳。
楼栋位置:选择小区中心位置的楼栋,避免噪音干扰。
房间朝向:东边套和西边套的采光和通风效果优于中间套,而西边套在夏季可能会比较热。
户型选择:选择形状方正、布局合理、采光通风良好的户型,确保居住舒适度。
办理房产证所需六大票据
定金收据:证明购房者已缴纳定金。
首付发票:证明购房者已支付首付款项。
网签合同:证明房屋买卖合同已正式签订。
全款发票:证明购房者已全额支付房款。
契税发票:证明购房者已缴纳契税。
其他相关票据:如维修基金发票等,也可能需要提供办理房产证的相关手续。
Ⅵ交房后务必保留维修基金发票。
这些票据是办理房产证的必备要件,缺少任何一项都可能导致无法顺利办证。
购房砍价的五大时机
期房开盘阶段:楼盘在初期认筹时,为吸引客户,通常会给出较大的折扣,但需权衡期房的升值潜力。
全款购房:若经济实力允许,选择一次性付款购买期房,开发商可能会提供2%左右的折扣。
团购买房:在楼市促销活动中,团购买房往往能享受到零售价格之外的优惠,如每平方米100~200元的折扣,甚至可能在与开发商的总房款谈判中获得更大优惠。
购买尾盘:开发商为加速资金回笼或为新楼盘宣传造势,会推出尾房优惠销售,有时甚至能获得意想不到的折扣。
老带新优惠:通过老客户介绍新客户购房,开发商通常会提供某种形式的优惠,如减免物业管理费等。
声明:本文由入驻焦点开放平台的作者撰写,除焦点官方账号外,观点仅代表作者本人,不代表焦点立场。


