金茂棠前售楼处电话→(2025)金茂棠前售楼中心电话→金茂棠前楼盘百科→首页网站→楼盘百科→首页网站→24小时热线电话
扫描到手机,新闻随时看
扫一扫,用手机看文章
更加方便分享给朋友
金茂棠前售楼处电话:400-9939-964金茂棠前官方电话:400-9939-964
上海宝山金茂棠前售楼处电话:400-9939-964...
金茂棠前售楼处电话:400-9939-964金茂棠前官方电话:400-9939-964
上海宝山金茂棠前售楼处电话:400-9939-964...北上海双轨环绕的超级TOD复合体新盘—金茂棠前认购热度空前,截至昨日已累计认购375组,还有最后半天!
其实不止认购火爆,早在5月1日先锋艺术示范区与样板间开放之际,金茂棠前便已 “大火”一波——
超1000位嘉宾及准业主慕名而至,共赴这场先锋艺居盛宴!

金茂棠前售楼处电话:400-9939-964金茂棠前官方电话:400-9939-964
The sales office phone number of Jinmao Tangqian in Baoshan District, Shanghai is: 400-9939-964...
上海宝山金茂棠前售楼处电话:400-9939-964...
The popularity of Jinmao Tangqian is no accident.
金茂棠前的火爆并非偶然。
As a representative of "safety cushion assets", it precisely captures the contradictory demands of Generation Z (born between 1995 and 2010), who grew up during the period of economic landscape reshaping. They not only pursue the stability of assets that can resist market risks but also long for the personalized expression of living Spaces.
它作为“安全垫型资产” 的代表,精准捕捉了成长于经济格局重塑时期的 Z 世代(1995-2010 年生人),既追求抵御市场风险的资产稳健性、又渴望居住空间个性化表达的矛盾性需求。
This project
这个项目——
Understand strategy: Deeply participate in the TOD planning of Baoshan Station as a "city partner", integrate Jinmao Tangqian into the three-dimensional network of rail transit, commercial and residential areas, and activate new driving forces for regional development.
懂战略:以 “城市合伙人” 身份深度参与宝山站 TOD 规划,将金茂棠前融入轨交、商业与居住的立体网络,激活区域发展新动能;
With aesthetic appeal: Large window-to-wall ratio + cross-shaped landscape axis + sunken clubhouse, the aesthetic genes of top luxury are implanted in the 5 million-yuan product, raising the expected value of the living scene.
有审美:大窗墙比+十字景观轴+下沉式会所,在500万级产品中植入顶豪审美基因,拉升居住场景价值预期;
Multi-functional: Diverse floor plans + meticulous design, using product power to hedge against replacement risks.
多功能:多元户型+精研设计,用产品力对冲置换风险。
Baoshan Station and City are integrated with TOD and dual-track encircling
宝山站城融合TOD+双轨环绕
The Greater Wusong area + Northern hub + rich supporting facilities
大吴淞地区+北部枢纽+丰富配套,
Jinmao's first Tang-style product in Shanghai
金茂在上海首个棠系产品
"Before Jin Maotang"
「金茂棠前」
The first opening has a construction area of approximately 85-117 square meters for 2-3 bedrooms
首开建面约85-117㎡2-3房
The average price after passing the review is only 49,441 yuan per square meter
过会均价仅49441元/㎡
A better solution for improving living conditions in northern Shanghai
北上海改善人居更优解
It's now in high demand for subscription!
正在火爆认购!
The sales office phone number of Jinmao Tangqian is 400-9939-964. The official phone number of Jinmao Tangqian is 400-9939-964
金茂棠前售楼处电话:400-9939-964金茂棠前官方电话:400-9939-964
上海宝山金茂棠前售楼处电话:400-9939-964...
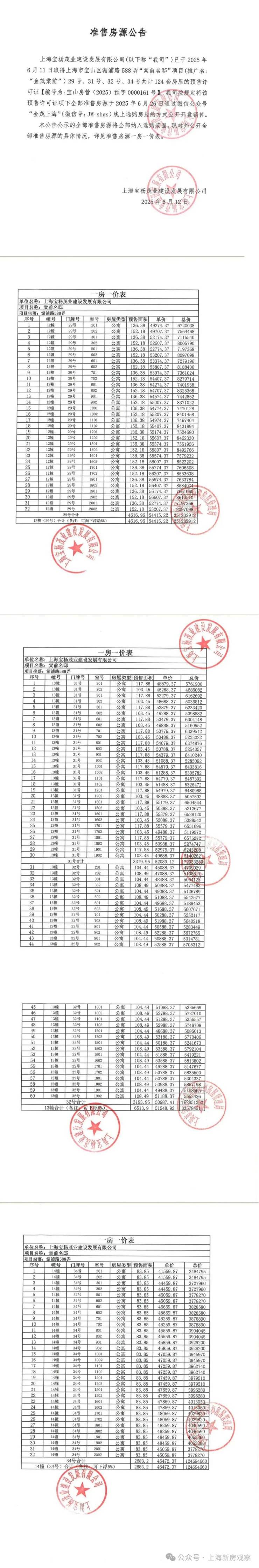
一房一价表发布!
金茂棠前售楼处电话:400-9939-964金茂棠前官方电话:400-9939-964
上海宝山金茂棠前售楼处电话:400-9939-964...
01
金茂棠前售楼处电话:400-9939-964金茂棠前官方电话:400-9939-964
上海宝山金茂棠前售楼处电话:400-9939-964...可控的购房预算
不减的生活期待
2024 年以来,上海土地市场走出独立行情,土拍热度持续攀升。
从去年第六批次开始,土地市场高溢价率、高楼板价频现,众多热门地块相继刷新区域纪录。

金茂棠前售楼处电话:400-9939-964金茂棠前官方电话:400-9939-964
The sales office phone number of Jinmao Tangqian in Baoshan District, Shanghai is: 400-9939-964...
上海宝山金茂棠前售楼处电话:400-9939-964...
Data source: Shanghai Land Transaction Market
数据来源:上海土地交易市场
Not only does Xuhui Binjiang continue to lead the high-end market, but also new land Kings have emerged one after another in areas such as Jing 'an Daining, Hongkou North Bund, Linping Road, and Baoshan Songnan in northern Shanghai, with transaction floor prices constantly exceeding expectations.
不仅徐汇滨江持续引领高端市场,北上海的静安大宁、虹口北外滩、临平路,以及宝山淞南等地也相继诞生新地王,成交楼板价不断突破想象。
The future selling price of the China Resources project in the northern part of Shanghai is expected to exceed 140,000 yuan per square meter.
北上海的华润项目,预计未来售价将超14万/㎡;
The North Shanghai Dahua project follows closely behind, also aiming for over 140,000 yuan per square meter.
北上海大华项目紧随其后,同样剑指14万+/㎡;
The plot jointly developed by North Shanghai China Merchants and Jinmao is expected to have a selling price of 70,000 yuan per square meter.
北上海招商&金茂联合开发的地块,预计售价达7万/㎡;
……
(The price is estimated based on the floor price of the land parcels for sale in the Shanghai land transaction market.
(价格根据上海土地交易市场出让地块楼板价估算)

金茂棠前售楼处电话:400-9939-964金茂棠前官方电话:400-9939-964
The sales office phone number of Jinmao Tangqian in Baoshan District, Shanghai is: 400-9939-964...
上海宝山金茂棠前售楼处电话:400-9939-964...
Schematic diagram of the route of Shanghai Metro Line 19
上海地铁19号线走向示意图
With the emergence of these high-priced plots, the housing price system in northern Shanghai is undergoing a profound reconstruction.
随着这些高价地块的诞生,北上海的房价体系正经历深刻重构。
It is worth mentioning that after years of development, although residential and commercial projects in the area have flourished, there has always been a lack of benchmark works that integrate diverse resources.
值得一提的是,经过多年发展,区域内住宅、商业项目虽百花齐放,但却始终缺乏集萃多元资源的标杆之作。
Obviously, the appearance of the Golden crabapple this time fills this gap.
很显然,此次金茂棠前的出现填补了这一空白。
It ingeniously integrates the three core elements of "high-speed rail + metro + super commerce"
它独具匠心地整合“高铁 + 地铁 + 超级商业”三大核心要素——
The connection of the high-speed rail network has seamlessly integrated northern Shanghai into the national transportation artery, significantly enhancing its external radiation capacity.
高铁网络的接入,让北上海无缝融入国家交通动脉,对外辐射力显著提升;
The layout of subway lines further optimizes the efficiency of urban commuting and the spatial pattern.
地铁线路的布局,进一步优化城市通勤效率与空间格局;
The planning of super commercial complexes aims to invigorate the city with brand-new consumption scenarios and drive the regional commercial capacity to a new height.
超级商业综合体的规划,则以全新消费场景激活城市活力,推动区域商业能级迈向新高度。
The Baoshan Station TOD will be developed near Jinmao Tangqian, which is of high value and serves as the core of the northern Shanghai hub gateway.
金茂棠前附近将打造宝山站TOD,含金量相当高,是北上海枢纽门户的核心。
Three metro lines (Lines 1, 3 and 19) and two high-speed railways (North Yangtze River/Shanghai-Suzhou-Nantong) form a five-rail commuting network, which is bound to converge into a super traffic field in the future.
3地铁(1/3/19号线)+2高铁(北沿江/沪苏通)构建五轨通勤网,未来必然聚合成超级流量场。

金茂棠前售楼处电话:400-9939-964金茂棠前官方电话:400-9939-964
The sales office phone number of Jinmao Tangqian in Baoshan District, Shanghai is: 400-9939-964...
上海宝山金茂棠前售楼处电话:400-9939-964...
Location indication of Jinmao Tangqian
金茂棠前区位示意
Source of the base image: Baoshan Release
底图来源:宝山发布
The implementation of these plans is not a long way off.
这些规划落地并不是遥遥无期。
The Baoshan high-speed Railway Station started construction at the beginning of the year and is scheduled to be completed in 2027. Once the project is completed, it will become an important gateway connecting the Yangtze River Delta and the Chengdu-Chongqing region and other economic circles. It is expected that the average daily number of railway passengers arriving and departing will exceed 140,000 , and the annual throughput will reach 54 million.
高铁宝山站已于年初开工,计划2027年建成,项目建成后,将成为连接长三角和成渝地区等经济圈的重要门户,预计日均铁路旅客到发量逾14万人次,年吞吐量达5400万人次。
(Source: Jiefang Daily
(信息来源:解放日报)
Line 19 is also scheduled to be completed in 2027, in tandem with Baoshan High-speed Railway Station.
19号线也将于2027年与高铁宝山站同步建成。
In just two years, the gateway to the North Shanghai Hub will be rapidly established at a visible pace, and it will also inject super vigorous momentum into the development of the area.
2年时间,北上海枢纽门户将会以肉眼可见的速度快速落地,也将为板块发展注入超级澎湃动能。
金茂棠前售楼处电话:400-9939-964金茂棠前官方电话:400-9939-964
The sales office phone number of Jinmao Tangqian in Baoshan District, Shanghai is: 400-9939-964...
上海宝山金茂棠前售楼处电话:400-9939-964...
Renderings of Baoshan High-Speed Railway Station
宝山高铁站效果图
Image source: Shanghai Release
图片来源:上海发布
The special planning for the Greater Wusong area positions the Baoshan Station TOD as a hub commercial cluster, aiming to create a living area that integrates the station and the city, combines industry and the city, and blends water and greenery with the concept of a "three-dimensional park city".
大吴淞专项规划将宝山站TOD定位为枢纽商贸组团,以“立体公园城市”理念打造站城一体、产城融合、水绿交融的生活片区。
In the future, the focus will be on developing business office, scientific research and residential functions. The planning includes business buildings, ecological residential areas, schools, parks, cultural venues and science and technology innovation industrial parks, etc., to become a strategic engine for the development of northern Shanghai.
未来将重点发展商务办公、科研和居住功能,规划有商务楼、生态住区、学校、公园、文化场馆和科创产业园区等,成为北上海发展的战略引擎。

金茂棠前售楼处电话:400-9939-964金茂棠前官方电话:400-9939-964
上海宝山金茂棠前售楼处电话:400-9939-964...
还不止于此,金茂还将再度施展TOD造城术,联袂合生创展,打造上海第三座、北上海第一座超级合生汇,复刻五角场顶流商圈基因。
金茂棠前售楼处电话:400-9939-964金茂棠前官方电话:400-9939-964
上海宝山金茂棠前售楼处电话:400-9939-964...
2027年投运后,这里将跃升为北上海标杆级商业地标,甚至将改写北上海消费格局。
金茂棠前售楼处电话:400-9939-964金茂棠前官方电话:400-9939-964
上海宝山金茂棠前售楼处电话:400-9939-964...
宝山超级合生汇效果图
图片来源:杨行发布
金茂棠前售楼处电话:400-9939-964金茂棠前官方电话:400-9939-964
The sales office phone number of Jinmao Tangqian in Baoshan District, Shanghai is: 400-9939-964...
上海宝山金茂棠前售楼处电话:400-9939-964...
Renderings of Baoshan Super Heshenghui
宝山超级合生汇效果图
Image source: Yang Xing Release
图片来源:杨行发布
With numerous advantages, in the trend of the real estate market chasing high premiums, Jinmao Tangqian has not attracted people's attention with its exuding prices. It still inherits the brand genes of Jinmao. From community planning to unit design, from landscape creation to property services, every aspect fully demonstrates the pursuit of quality.
优势诸多,在楼市追逐高溢价的风潮里,金茂棠前没有以高昂的售价博人眼球,依然传承金茂品牌基因,从社区规划到户型设计,从景观营造到物业服务,每一处都尽显品质追求。
The highly competitive price of Jinmao Tangqian offers home buyers a ticket to purchase a property in Shanghai with an extremely high cost-performance ratio.
金茂棠前这极具竞争力的价格,为购房者提供了一张质价比极高的上海买房入场券。
02
02
Inherit the brand genes of Jinmao
传承金茂品牌基因
The main stage of quality life for Generation Z
Z世代的品质生活主场
The value narrative of real estate is undergoing a paradigm shift from "hardware consumption of steel and concrete" to "pursuing the emotional value of residences".
房地产的价值叙事正在经历从“钢筋水泥的硬件消费”转向“追求住宅的情绪价值”的范式跃迁。
The debut of the Jinmao Tangqian demonstration area and model rooms this time is a concrete expression of this transformation in human settlements.
此次金茂棠前示范区与样板间的亮相,正是这场人居变革的具象表达。
It precisely echoes the expectations of contemporary youth for their ideal residences as stated in the "White Paper on Home Life Trends" recently released by Xiaohongshu and Bilibili - from diverse living scenarios to the creation of emotional Spaces, from avant-garde artistic aesthetics to personalized functional designs.
它精准呼应了小红书、B 站近期发布的《家生活趋势白皮书》中,当代青年对理想居所的期待——从多元生活场景到情感化空间营造,从先锋艺术审美到个性化功能设计。
Almost every detail coincides with the living ideals of the younger generation.
几乎每一处细节都与年轻群体的居住理想不谋而合。

金茂棠前售楼处电话:400-9939-964金茂棠前官方电话:400-9939-964
The sales office phone number of Jinmao Tangqian in Baoshan District, Shanghai is: 400-9939-964...
上海宝山金茂棠前售楼处电话:400-9939-964...
Image source: DT Business Watch, Xiaohongshu Business News
图片来源:DT商业观察、小红书商业动态
Generation Z demands a fixed, comfortable and comfortable living space.
1.Z世代要求居住空间的定、愈、宜。
The so-called "stability", "healing" and "appropriateness" are the three core demands of contemporary youth for their ideal residences distilled by Xiaohongshu.
所谓定、愈、宜,是小红书提炼出的当代青年对理想住宅的三大核心需求。
"Ding" refers to redefining the role of space.
定,指的是重新定义空间的作用。
There is a reserved space at home that has no fixed purpose. Generally, we call this kind of space "x" space. Family members can do exercise, play games, do handicrafts here. If they are in a bad mood, it can also be used as a "base" for releasing their emotions.
家里预留有一块没有固定用途的空间,一般我们把这种空间称之为“x”空间,家庭成员可以在这里做运动、玩游戏、做手工,要是心情不好,还能当成自己的情绪释放“基地”。
金茂棠前售楼处电话:400-9939-964金茂棠前官方电话:400-9939-964
上海宝山金茂棠前售楼处电话:400-9939-964...
图片来源:明源地产研究院
金茂棠前售楼处电话:400-9939-964金茂棠前官方电话:400-9939-964
The sales office phone number of Jinmao Tangqian in Baoshan District, Shanghai is: 400-9939-964...
上海宝山金茂棠前售楼处电话:400-9939-964...
For instance, this one in Jinmao Tangqian has a construction area of approximately 97 square meters, featuring 3 bedrooms, 2 living rooms and 1 bathroom.
比如,金茂棠前这个建面约97㎡3房2厅1卫。
This apartment type not only has three south-facing bays and the advantage of "three bay Windows + double-sided balcony system", which ensures extremely high lighting transparency, but also allows the owner to flexibly customize the space into a 3-bedroom or 2+ 1-bedroom layout based on the family structure and living needs.
这个户型除了三开间朝南,再加上“3个飘窗+双面阳台系统”,采光通透性非常高优势之外,业主还可根据家庭结构与生活需求,灵活将空间定制为3房或者2+1房。
With a partition wall, the south-facing secondary bedroom can serve as the living space for the homeowner. If the partition wall is removed, this area can become part of the living room, presenting a stunning sense of space!
有隔墙,南向次卧可以作为户主的居住空间,如果把隔墙拿掉,这个区域可以成为客厅的一部分,呈现出了惊艳的空间感!
"Yu" refers to a relatively healing decoration style.
愈,是指一种比较治愈的装修风格。
According to a survey by Xiaohongshu, the forest-themed log style combined with the minimalist style is the most popular among young people nowadays.
据小红书调研统计:森系原木风+简约风最受当下年轻人的欢迎。
If you have seen the model room of Jinmao Tangqian, you can clearly feel that it is really following market research and decorating every space in accordance with the preferences of young people's avant-garde.
如果你看过金茂棠前的样板间,就能明显感觉它真的在遵循市场调研,把年轻人新锐的喜好在装修每一处空间。
样板间实拍图
样板间实拍图
金茂棠前售楼处电话:400-9939-964金茂棠前官方电话:400-9939-964
The sales office phone number of Jinmao Tangqian in Baoshan District, Shanghai is: 400-9939-964...
上海宝山金茂棠前售楼处电话:400-9939-964...
Real photos of the model room
样板间实拍图
Using wooden wall panels, it restores the natural style and creates a forest-like feel.
用木制的墙板,还原自然的风格,营造出森系感。
The color saturation of the entire house is low, giving it a warm and cozy look while exuding a sense of luxury.
全屋颜色饱和度低,看起来温暖、温馨的同时,透着高级感。
"Yi" means that the spatial distribution of each room is harmonious.
宜,意思是每个房间空间分布和谐。
In the past, many house types usually emphasized the master bedroom and living room over the secondary bedroom. For a house with a construction area of about 100 square meters, it was almost like having a 30-square-meter living room to show the grandeur of the residence, a 30-square-meter master bedroom to show the respect of the owner, and the remaining 40 square meters to be shared among the elderly, children, kitchen, bathroom and balcony, with other family members being regarded as accessories of the owner. This is a typical "unsuitable" spatial arrangement.
过去,很多户型通常重主卧和客厅轻次卧,一个建面约100㎡的户型,恨不得做30㎡的客厅彰显住宅气魄,30㎡的主卧彰显主人尊崇,剩下40㎡老人、小孩、厨房、卫生间、阳台瓜分使用,其他家庭成员像是业主的附属品,这就是典型的“不宜”的空间排布。
However, Jinmao Tangqian is different. Besides the unit with a construction area of approximately 97 square meters, you can also take a look at several other unit types in Jinmao Tangqian.
而金茂棠前不同,除了建面约97㎡的户型之外,大家还可以欣赏一下金茂棠前其他几个户型。
It can be clearly felt that Jinmao is giving more consideration to other Spaces from the perspective of spatial equality, so as to better ensure that other family members have equal access to various experiences and resources.
能明显感受到,金茂在从空间平权的角度,给予其他空间更多考虑,以此更好地保障其他家庭成员平等获得各种体验和资源。
金茂棠前售楼处电话:400-9939-964金茂棠前官方电话:400-9939-964
The sales office phone number of Jinmao Tangqian in Baoshan District, Shanghai is: 400-9939-964...
上海宝山金茂棠前售楼处电话:400-9939-964...
Generation Z has more stringent requirements for the whole-house storage system
2.Z世代对全屋收纳体系要求更为严苛
At present, inventory management has become an essential issue in the current real estate market.
当下,卷收纳已经是当下楼市必备课题。
Jin Maotang did an excellent job in this regard.
这一点金茂棠前做的非常好。
The entrance hall, kitchen and bathroom have all been designed with giant storage Spaces, meeting the demand of many young customers for large storage Spaces nowadays.
玄关、厨房、卫生间都打造了巨兽级收纳空间,满足如今很多年轻客群对于大收纳空间的需求。
样板间实拍图
卫生间的收纳镜柜,对于很多美妆达人百来瓶的化妆品收纳,也是绰绰有余。

金茂棠前售楼处电话:400-9939-964金茂棠前官方电话:400-9939-964
The sales office phone number of Jinmao Tangqian in Baoshan District, Shanghai is: 400-9939-964...
上海宝山金茂棠前售楼处电话:400-9939-964...
The beauty refrigerator is not a delivery standard
美妆冰箱非交付标准
Generation Z expects their residences to be equipped with clubhouses
3.Z世代更期待住宅配备会所
Research by the research institution Future Workspace shows that Generation Z prefers face-to-face communication and they consider interpersonal communication to be more important than virtual communication.
研究机构Future Workspace研究显示:Z世代更喜欢面对面交流,他们认为人际交流比虚拟沟通更重要。
So, during the process of buying a house, in addition to preferring young and friendly communities, they also look forward more to clubs where they can establish communication and interaction with others.
于是,买房的过程中,他们除了偏好选择年轻友好的社区,也更加期待可以与人建立沟通交流的会所。
This time, Jinmao has spared no effort to create a high-end sunken clubhouse with a construction area of approximately 1,600 square meters. Its interior configuration is even capable of competing with some of the top luxury residences in the urban area
此次金茂倾力打造了建面约1600㎡的高定下沉式会所,其内部配置甚至足以与市区某些顶级豪宅一较高下:
The clubhouse includes multiple functional Spaces such as a fitness area, a heated swimming pool and a private banquet hall.
会所涵盖了健身区、恒温泳池以及私宴厅等多个功能空间。
The building adopts an enclosed design and is connected to the sunken garden on all sides. Many Spaces are equipped with large floor-to-ceiling glass Windows, bringing the beautiful scenery and bright sunlight of the outdoor courtyard into the interior. Here, people, buildings and nature are integrated as one.
建筑采用围合式设计,并与下沉式庭园四周相连通,许多空间都配备了巨幅落地玻璃窗,将室外庭院的秀丽风景与明媚的阳光引入室内,人、建筑、自然,在这里融为了一体。
会所效果图,仅供参考
会所效果图,仅供参考
会所效果图金茂棠前售楼处电话:400-9939-964金茂棠前官方电话:400-9939-964
The sales office phone number of Jinmao Tangqian in Baoshan District, Shanghai is: 400-9939-964...
上海宝山金茂棠前售楼处电话:400-9939-964...
For reference only
,仅供参考
The immersive sunken courtyard space, with water as its ink, creates a natural space with a flowing artistic atmosphere. The water curtain wall, cascading water features and plants blend and permeate each other, bringing the owner a sense of relaxation like that of a Southeast Asian resort hotel.
沉浸式下沉式庭院空间以水为墨,营造出了具有流动艺术氛围的自然空间,水幕墙、叠水水景、植物相互交融渗透,带给业主东南亚度假酒店般的松弛感。
In addition, some buildings have planned elevated floors, which will be used to create multiple themed clubhouses, including leisure areas and book bars. Here, people of all ages can find their own Spaces for enjoyment.
此外,同时部分楼栋规划了架空层,将打造多个主题泛会所,涵盖休闲、书吧等,在这里,全年龄段都能找到属于自己的乐享空间。
4. Generation Z demands that housing also be "just in terms of appearance".
4.Z世代要求住宅也要“颜值即正义”。
For today's young people, appearance level is justice.
对当下的年轻人来说,颜值即正义。
The practicality of a residence alone can no longer satisfy their imagination; a "high level of appearance" is the key driving force for decision-making.
住宅仅仅拥有实用已经不能满足他们的想象,“高颜值”才是关键的决策动力。
Jinmaotang has carried out a breakthrough facade design this time. The building is based on the concept of "flowing geometry", adopting an asymmetrical line aesthetic. Through the dramatic contrast between metal floating panels and vertical lines, it presents a very strong visual tension.
金茂棠前此次进行了突破性的立面设计,建筑以“流动的几何”为理念,采用不对称线条美学,通过金属飘板与竖向线条的戏剧化对比,展现了极强的视觉张力。
The top is constricted into a 3.2-meter-high crown, which brings a striking recognition.
顶部收束为3.2米高的顶冠,带来了夺目的识别度。
金茂棠前售楼处电话:400-9939-964金茂棠前官方电话:400-9939-964
The sales office phone number of Jinmao Tangqian in Baoshan District, Shanghai is: 400-9939-964...
上海宝山金茂棠前售楼处电话:400-9939-964...
The rendering is for reference only
效果图,仅供参考
The high window-to-wall ratio on the facade is also maximized, making the entire building more transparent and creating a visual impact of an ultra-wide screen.
外立面的高窗墙比也是拉满,让整个建筑更具有通透性,带来超宽屏的视觉冲击;
It is worth mentioning that the outer contour of the balcony and the main window has been treated with a 34° bevel. The light beige and dark gold aluminum plates are combined to form an artistic "picture frame", creating a contrast of reality and illusion with the blue-gray glass.
值得一提的是,阳台及主体窗的外轮廓还采用了34°斜切角处理,浅米色及暗金色铝板组合成艺术范“镜框”,与蓝灰色玻璃形成虚实对比。
金茂棠前售楼处电话:400-9939-964金茂棠前官方电话:400-9939-964
The sales office phone number of Jinmao Tangqian in Baoshan District, Shanghai is: 400-9939-964...
上海宝山金茂棠前售楼处电话:400-9939-964...
The rendering is for reference only
效果图,仅供参考
Generation Z has higher demands for property services
5.Z世代对物业服务要求更高
Research data shows that Generation Z's demands for living quality have significantly increased. Besides tending to choose residences with mature facilities and convenient transportation, their attention to "soft indicators" such as property services is also surpassing the value of traditional locations.
研究数据显示:Z世代对居住品质的要求显著提升,除了倾向于选择配套成熟、交通便利的住宅以外,对物业服务这类“软性指标”的关注度,也正在超越传统地段价值。
Young people expect good property services because good property management not only enhances the quality of life and comfort, but also in the second-hand housing market, communities with high-quality property management have second-hand housing prices that are 4.21% higher than those of surrounding communities with similar building ages and types.
年轻人期待好的物业服务,因为好的物业带来的不仅是生活品质和舒适度的提升,在二手房市场中,拥有优质物业管理的社区,同比周边楼龄、类型相近的小区,二手房价格高出4.21%。
(Data source: China Index Academy
(数据来源:中指研究院)
Coincidentally, Jinmao's property services have always been a benchmark in the industry.
恰好,金茂的物业服务一直是行业内标杆。
Jinmao has reshaped the community with its youthful genes, created scenes with avant-garde art, broken through traditions, and set an example for the future development of the industry.
金茂用年轻基因重塑社区,以先锋艺术造场景,破传统,给行业未来的发展之路打了个样。
03
03
What should be considered when buying a house in Shanghai?
上海买房看什么?
Look at the location, look at the product, and more importantly, look at the "trend"!
看地段,看产品,更看“风口”!
Jinmao Tangqian happened to be right on this "trend", and its premium pricing power is quite astonishing.
金茂棠前恰好就踩在这个“风口”,溢价能力相当惊人。
1.TOD premium
1.TOD溢价
Regarding the premium of TOD, typical cases can be referred to include the "Royal Albert Wharf TOD Project in London", the "Kowloon Station TOD Project in Hong Kong", or the "TODTOWN Tianhui in Xinzhuang, Shanghai".
关于TOD的溢价,典型案例可参考【伦敦皇家阿尔伯特码头TOD项目】、【香港九龙站TOD项目】或者【上海莘庄TODTOWN天荟】。
With the support of TOD, the Royal Albert Terminal in London has successfully transformed from a specific city with a single function of a container terminal into a multi-generational, diverse and multi-functional comprehensive urban space integrating commercial, office, residential, park, school and other public facilities.
伦敦皇家阿尔伯特码头,在TOD加持下,从以集装箱码头为单一功能的特定城市,成功逆袭为集商业、办公、住宅、公园、学校,等公共设施于一体的多世代、多样化、复合功能的综合城市空间。
The sales office phone number of Jinmao Tangqian is 400-9939-964. The official phone number of Jinmao Tangqian is 400-9939-964
金茂棠前售楼处电话:400-9939-964金茂棠前官方电话:400-9939-964
The sales office phone number of Jinmao Tangqian in Baoshan District, Shanghai is: 400-9939-964...
上海宝山金茂棠前售楼处电话:400-9939-964...
The housing prices in Longyin Port around the project have risen by 83% over the past ten years!
项目周边的珑茵港,在过去十年间房价上涨83%!
(Data source: Internet, for reference only.
(数据源于网络,仅供参考)
金茂棠前售楼处电话:400-9939-964金茂棠前官方电话:400-9939-964
The sales office phone number of Jinmao Tangqian in Baoshan District, Shanghai is: 400-9939-964...
上海宝山金茂棠前售楼处电话:400-9939-964...
The schematic diagram is from the Internet and is for reference only
示意图源自网络,仅供参考
The TOD project at Kowloon Station in Hong Kong leads other properties by 6,000 to 12,000 yuan per square meter in the early stage of development and 33,000 to 45,000 yuan per square meter in the later stage.
香港九龙站TOD项目,发展初期领先其他物业6000-12000元/㎡,发展后期领先其他物业33000-45000元/㎡。
(Data source: Internet, for reference only.
(数据源于网络,仅供参考)
示意图源自网络,仅供参考
金茂棠前售楼处电话:400-9939-964金茂棠前官方电话:400-9939-964
上海宝山金茂棠前售楼处电话:400-9939-964...
再看上海本市的莘庄TODTOWN天荟,2019年7.1W均价开盘,目前已有12W+成交,实现约70%的增长!(数据源于网络,仅供参考)
金茂棠前售楼处电话:400-9939-964金茂棠前官方电话:400-9939-964
The sales office phone number of Jinmao Tangqian in Baoshan District, Shanghai is: 400-9939-964...
上海宝山金茂棠前售楼处电话:400-9939-964...
2. Premium at high-speed railway stations
2.高铁站溢价
High-speed railway stations have a profound impact on the housing prices in the surrounding areas, and Hongqiao Railway Station is a clear example.
高铁站对周边区域的房价影响至深,虹桥火车站就是个鲜明的案例。
Its significant enhancement of the value of areas such as Xujing in Qingpu and Huacao in Minhang can be described as a wealth-creating myth!
它对青浦徐泾、闵行华漕等区域价值高度的提升堪称造富神话!
Even in the past two years, after experiencing a period of market downturn, the prices of second-quality new houses within a 5-kilometer radius of Hongqiao Railway Station have remained very firm.
甚至在过去两年,经历过一波市场低迷之后,虹桥火车站周边5公里左右的品质次新房价格非常坚挺。
The past of Hongqiao Station is the present and future of Baoshan Station and Jinmaotangqian.
虹桥站的过去,就是宝山站和金茂棠前的当下和未来。

金茂棠前售楼处电话:400-9939-964金茂棠前官方电话:400-9939-964
The sales office phone number of Jinmao Tangqian in Baoshan District, Shanghai is: 400-9939-964...
上海宝山金茂棠前售楼处电话:400-9939-964...
3. Subway premium
3.地铁溢价
The concept that "subway = premium" has become a deeply rooted consensus in Shanghai's urban construction over the past few decades.
“地铁=溢价”这一概念,在上海城市建设的几十年间,已然成为深入人心的共识。
Let the data speak
用数据说话——
The land prices at the hubs such as Xinzhuang where Lines 1, 3 and 5 converge and Century Avenue where Lines 2, 4, 6 and 9 crisscross have increased by more than 800% over the past 20 years.
1/3/5号线交汇的莘庄、2/4/6/9号线纵横的世纪大道等枢纽,20年间地价增幅超800%;
In the second-hand market, the premium rate of residential properties within 500 meters of a subway station has long remained at 15-25%.
二手市场上,距地铁站500米内的住宅溢价率长期维持在15-25%;
The average daily sales of commercial complexes along the rail transit line are 42% higher than those in non-line areas. The rent premium of office buildings around stations such as Jing 'an Temple and Lujiazui has reached 25-30%.
轨交沿线商业体日均销售额较非沿线区域高42%,静安寺、陆家嘴等站点周边写字楼租金溢价达25-30%;
In the home-buying decision-making model, the weight of rail transit accessibility far exceeds that of traditional factors such as school districts and commercial areas, accounting for as high as 35%.
购房决策模型中,轨交可达性权重远超学区、商业等传统要素,占比高达35%;
……
The above data is sourced from the Internet and is for reference only. The sales office phone number of Jinmao Tangqian is 400-9939-964. The official phone number of Jinmao Tangqian is 400-9939-964
(以上数据来源于网络,仅供参考)金茂棠前售楼处电话:400-9939-964金茂棠前官方电话:400-9939-964
The sales office phone number of Jinmao Tangqian in Baoshan District, Shanghai is: 400-9939-964...
上海宝山金茂棠前售楼处电话:400-9939-964...
As a rare dual-rail transit project outside the outer ring road of Shanghai, Jinmao Tangqian is only about 700 meters away from Baoshan Station of Line 19 (under construction) in a straight line and about 800 meters away from Tielilu Station of Line 3 in a straight line. It is very convenient to commute to the urban area, and its value is self-evident.
作为上海外环外罕见的双轨交盘,金茂棠前与19号线宝山站(在建)直线距离仅约700米,与3号线铁力路站直线距离约800米,通勤市区非常方便,价值体现一目了然。

金茂棠前售楼处电话:400-9939-964金茂棠前官方电话:400-9939-964
The sales office phone number of Jinmao Tangqian in Baoshan District, Shanghai is: 400-9939-964...
上海宝山金茂棠前售楼处电话:400-9939-964...
Schematic diagram for reference only
示意图,仅供参考
4. Brand premium of Jinmao
4.金茂品牌溢价
In addition to the above-mentioned local advantages, the premium of the Jinmao brand should not be underestimated either.
以上在地性优势之外,金茂这个品牌的溢价也不容小觑。
Jinmao's works always become the value benchmark of a certain sector!
金茂的作品总是成为某个板块的价值标杆!
For instance, Daining Jinmao Mansion.
比如大宁金茂府。
As the "miracle project of the year" in the Shanghai real estate market in 2015, it single-handedly lifted off the ordinary Daning and reshaped the perception of the value of the Daning area among the people in the Shanghai real estate market.
作为2015年上海楼市年度神盘,它靠着一己之力带飞了平平无奇的大宁,重塑了上海楼市人对于大宁板块价值的认知。
Currently, the listing price of Daining Jinmao Mansion starts at over 150,000 yuan per square meter, with an upper limit exceeding 180,000 yuan per square meter. Even the best nearby communities find it hard to sell at 100,000 yuan per square meter.
现在大宁金茂府目前挂牌价基本在15万+/㎡起,上限超过18万+/㎡,而旁边最好的小区也很难卖到10万/㎡。
(Data source: Lianjia
(数据来源:链家)
金茂棠前售楼处电话:400-9939-964金茂棠前官方电话:400-9939-964
上海宝山金茂棠前售楼处电话:400-9939-964...
大宁金茂府
左侧为历史成交价👈;右侧为挂牌价👉,图源链家
金茂棠前售楼处电话:400-9939-964金茂棠前官方电话:400-9939-964
The sales office phone number of Jinmao Tangqian in Baoshan District, Shanghai is: 400-9939-964...
上海宝山金茂棠前售楼处电话:400-9939-964...
The listed prices of other properties in the Daining area, as shown by Lianjia. Image source: Lianjia
大宁板块其他楼盘链家挂牌价,图源链家
The second-hand price of Daining Jinmao Mansion is even nearly twice the average price of the area!
大宁金茂府的二手价格甚至是板块均价的将近2倍!
The fact that the public voted for Jinmao with real money is sufficient to demonstrate the brand influence of Jinmao.
大众用真金白银实打实为金茂投票,足以见得金茂的品牌影响力。
Choosing Jinmaotang now is equivalent to seizing the opportunity and the breaking point on the eve of the entire sector's take-off.
现在选择金茂棠前,就相当于,在整个板块起飞的前夜,抓住了风口和断点。
Baoshan Station and City are integrated with TOD and dual-track encircling
宝山站城融合TOD+双轨环绕
The Greater Wusong area + Northern hub + rich supporting facilities
大吴淞地区+北部枢纽+丰富配套,
Jinmao's first Tang-style product in Shanghai
金茂在上海首个棠系产品
"Jinmao Tangqian" Sales office phone number: 400-9939-964 Jinmao Tangqian official phone number: 400-9939-964
「金茂棠前」金茂棠前售楼处电话:400-9939-964金茂棠前官方电话:400-9939-964
上海宝山金茂棠前售楼处电话:400-9939-964...
首开建面约85-117㎡2-3房
过会均价仅49441元/㎡
北上海改善人居更优解
正在火爆认购!金茂棠前售楼处电话:400-9939-964金茂棠前官方电话:400-9939-964
上海宝山金茂棠前售楼处电话:400-9939-964...
金茂棠前售楼处电话:400-9939-964金茂棠前官方电话:400-9939-964北上海超级TOD+
合生汇+双轨环绕!
「金茂棠前」二开二罄!!
三批次加推约105-178㎡3-4房
7月19日已过会均价53850元/㎡
售楼处线上火热预约中!
在刚刚过去的12月30日,上海八批次土拍中,金茂强势崛起,在宝山“连中三元”:
宝山淞南D1-04地块经过65轮竞价,由金茂&招商竞得,成交总价29.29亿,溢价率14.86%;
宝山淞南K1-11地块经过激烈竞争,最终由金茂&招商竞得,成交总价43.07亿,溢价率16.03%;
宝山杨行地块是商业+办公+住宅的综合地块,总建筑量高达34.4万㎡,其中商办+餐饮旅馆业体量高达22万㎡,起拍价约31.16亿,由金茂&宝冶以底价竞得;
双轨环绕的超级TOD复合体,你见过吗?过去的几年,TOD从早前的“地铁+住宅”,升级到“地铁+住宅+商业”。
而金茂精准卡位北部枢纽的发展节奏,带来一座超级TOD复合体,高铁+地铁站+城+产+商+居一体化,引领跨时代的居住方式变革!
4月18日,合生创展集团旗下高端商业品牌“合生汇”,正式签下高铁上海宝山站商业运营管理权,这是上海第三座、宝山第一座超级合生汇!
这一战略合作标志着北上海将崛起一座集交通枢纽、商业体验于一体的城市新地标,将为这座超级枢纽注入全新的商业活力。

金茂眼光独到落子大吴淞北部枢纽,带来上海第一座金茂“棠”系作品,将代表整个区域的人居水平,有着风向标式的意义!

金茂棠前围绕“TOD国际汇合住区”,构建起全维超配的居住体验。社区配置有约280米南北景观主轴+约220米东西副轴+下沉式会所+下沉庭院+部分楼栋首层架空+户型革新+科技系统,媲美千万级豪宅的公区和产品力!
小区总规划户数约1118户,容积率2.3。设计的住宅为16-17f小高层产品,其中部分楼栋设有架空层,其中6#9#12#将有可能为大户型,类一梯一户,其余为一梯两户设计,舒适度较高。
金茂棠前5月首开售罄 供不应求,仅约10天紧急加推新品;再次火爆出圈!二期新品| 售罄!三批次推新!
北上海TOD+合生汇+双轨环绕!
「金茂棠前」二开二罄!!
三批次加推约105-178㎡3-4房
7月19日已过会均价53850元/㎡
售楼处线上火热预约中!
效果图过程稿仅供参考:









大吴淞地区将打造上海下一个世界级滨水城区,总规划面积约110平方公里,其中,吴淞创新城、北部枢纽、吴淞口国际邮轮港是重中之重。
金茂棠前作为宝山站城融合TOD首发产品,未来将实现与高铁站的无缝衔接,承接北部枢纽一线辐射利好。
交通方面:除了19号线以外,地块距轨道交通3号线铁力路站1.1公里,周边有5条公交线路。快速路有逸上海绕城高速、同济高架路、川公路、铁力路、友谊路。
教育方面:项目周边有众多优质学校,西侧约600米就是上海大学附属宝山外国语学校,是九年一贯制学校;向西不远处更有宝山华曜实验学校,是民办“华二系”;上海师范大学附属宝山实验学校,是九年一贯制学校。向南约3公里左右还有华东师范大学第二附属中学(宝山校区)、华东师范大学附属宝山宝杨实验学校等。

大吴淞战略+宝山站开工+合生汇签约+19号线建设,让金茂棠前的配套潜力拉满,再加上金茂惊艳的产品力,在500万级新房赛道中堪称独角兽的存在!!
上海宝山金茂棠前售楼处电话:400-9939-964...
金茂棠前售楼处电话:400-9939-964金茂棠前官方电话:400-9939-964
上海宝山金茂棠前售楼处电话:400-9939-964...
一、销售商品房所必需的条件
房地产开发商在预售其开发的房地产时,必须满足一系列的条件。这些条件包括:已依法登记并取得房地产权利证书的土地使用权;已获取《建筑许可证》和《开工许可证》;确保地价款和土地出让金已全部付清,同时,投入开发建筑的资金需达到工程预算投资总额的25%,并经过注册会计师的验资;还需与金融机构签订预售款监管协议;以及保证土地使用权未抵押或已解除抵押关系。在满足这些条件后,经主管机关核准,将颁发《房地产预售许可证》。若核定为外销的商品住宅,则还需取得《商品住宅外销售许可证》。此外,房地产商在预售过程中,必须具备“五证”,即《建设用地规划许可证》、《建设工程规划许可证》、《建设工程开工证》、《国有土地使用证》和《商品房预售许可证》,同时,还需持有开发商的营业执照。
二、房地产登记的流程
房地产登记需遵循以下步骤:首先提出登记申请,然后由登记部门受理该申请,并对相关申请文件进行审查。接着进行权属调查,以确保房地产权利的真实性和合法性。在依法公告并确认房地产权利后,将核准的登记事项详细记载于房地产登记册。此后,还需计收相关规费并颁发房屋权利证书,最后将登记资料立卷归档,以备查阅。
三、土地使用年限的确定
根据国家规定,与省市规划国土局签订《土地使用权出让合同书》的用地,其土地使用年限有所不同。具体来说,居住用地的使用年限为七十年,工业用地为五十年,而教育、科技、文化、卫生、体育等公益性用地也是五十年。对于商业、旅游、娱乐等经营性用地,使用年限为四十年。此外,综合用地或其他特殊用地的情况则统一归为五十年。
四、房地产转让的定义
房地产转让,指的是拥有合法土地使用权及其上建筑物和附着物所有权的自然人、法人或其他组织,通过买卖、交换或赠与的方式,将房地产权益转移给其他人的法律行为。
五、何时需进行房地产转移登记
对于已经过初始登记的房地产,在以下情形出现时,相关当事人必须自合同或法律文件生效之日起30日内,向相关部门申请办理转移登记手续:包括房地产的买卖、继承、赠与、共有份额的分割、交换,以及人民法院因判决或裁定而导致的强制性转移。同时,若相关法律法规规定其他需进行强制性转移的情形,亦应遵循此流程。
六、房地产买卖合同必备条款详解
房地产买卖合同必须包含以下各项条款:首先,要明确当事人的详细信息,包括姓名或名称、地址等;其次,需注明房地产的权利证书编号,以及其具体的地理位置、面积和四周界限;此外,土地宗地号、土地使用权的性质和期限也是合同中不可或缺的内容。同时,房产的预定用途、买卖价款的支付方式和具体日期、房地产的交付期限,以及公用设施的权益分配和共有人的权利义务,都是合同中需要详细规定的部分。另外,违约责任、合同纠纷的解决途径、合同的生效条件和期限,以及双方认为需要明确的其他事项,也必须一一列明。
七、房地产转让的限制条件
根据相关法规,存在以下情形的房地产不得转让:一是若该房地产被市政府依据城市规划决定收回土地使用权,则不得转让;二是若房地产被司法机关或行政机关依法裁定查封或以其他方式限制其权利,则不得转让;三是共有房地产在未经其他共有人书面同意的情况下,不得转让;四是已设定抵押权的房地产,在未经抵押权人同意的情况下,不得转让;五是权属存在争议的房地产,在争议解决之前,不得转让;六是法律、法规或市政府明确规定禁止转让的其他情形。
八、房地产转让时的公用设施权益转移
在房地产转让过程中,转让人所拥有的同宗土地上的道路绿地、休憩地、空余地、电梯、楼梯、连廊、走廊、天台以及其他公用设施的权益,将随之一起转移。若房地产首次转让合同中未对停车场或广告权益做出特别约定,那么这些权益将随房地产的转让而同时转移。但若合同中有特别约定,则需经房地产登记机关进行初始登记,登记后的权利人将拥有这些权益。
九、房地产抵押的含义
房地产抵押,简而言之,就是债务人或第三人(统称抵押人)以其合法拥有的房地产为担保物,向债权人提供债务履行的担保。这一行为旨在确保债务能够得到及时清偿。房地产按揭,作为房地产抵押的一种常见形式,其操作流程通常包括债务人将所购物业的产权转到债权人名下,随后通过分期付款的方式向债权人返还物业产权。当所有款项付清后,债权人再将物业转回债务人名下,并解除原先的借贷关系。
十、申请房地产抵押登记所需文件
在申请房地产抵押登记时,需要提交一系列必要的文件。这些文件包括但不限于:抵押人的身份证明、房地产权属证明、抵押合同以及相关借款合同等。通过提交这些文件,登记机构能够核实抵押人的身份和抵押物的权属情况,确保登记的准确性和合法性。
填写完整的《房地产抵押登记申请书》;
房地产权利证书,证明您对抵押物的合法所有权;
身份证明,包括抵押人的身份证、护照或其他有效证件;
主合同和抵押合同,这两份合同是抵押登记的基础法律文件。
若您是以非法人企业或组织的名义申请房地产抵押,还需额外提交产权部门出具的同意抵押的批准文件。对于预购的房地产抵押,除需提交上述第1、2、3项规定的文件外,还需提供房地产买卖合同书。
一十一、预购房地产抵押登记的流程
在申请预购房地产抵押登记时,您需要准备并提交一系列文件,包括《房地产抵押登记申请书》、身份证明、主合同、抵押合同,以及房地产买卖合同书。提交完毕后,登记人员会在房地产买卖合同书上加盖抵押专业章,以此完成抵押登记。
一十一二、已抵押房地产的转让规定
根据《中华人民共和国担保法》的相关规定,已抵押的房地产在符合一定条件下是可以进行转让的。然而,为了确保转让的合法性和有效性,必须由抵押人、转让人和受让人三方共同签订一份公证书,该公证书应明确将原抵押权益转移给新的受让方。同时,值得注意的是,如果抵押人未事先通知抵押权人或未向受让人明确告知抵押情况的,那么这种转让行为将被视为无效。
一十二三、房地产抵押贷款的登记要求
若以房地产为抵押物向银行申请贷款,则必须前往房地产登记部门办理抵押登记手续。依据《中华人民共和国担保法》的相关规定,抵押合同在登记完成后方能生效,因此,未办理抵押登记的抵押合同将不具备法律效力。
一十三四、借款人如何偿还银行货款
对于贷款期限在1年以内(含1年)的借款,银行通常采用到期本息一次性清偿的还款方式。而对于贷款期限超过1年的借款,借款人需在借款期内每月等额偿还银行货款本金和利息。
借款人可选择两种还款方式:一是委托代扣,二是到银行分行联网储蓄所还款。若选择委托代扣,借款人在与货款银行签订《借款合同》的同时,还需签订《代扣还款委托书》,并指定扣款账户类型(如储蓄存折、储蓄卡或信用卡)及账号。确保每月扣款日前,该账户内存有不低于月均还款额的款项,即可实现足不出户的自行还款。
一十四五、借款人逾期还款的处理方式
若借款人未能按期还款或因存款不足导致自动扣款失败,需亲自前往贷款经办银行的会计柜台进行还款操作。在约定的还款期限内,若借款人未能按照合同规定的时间偿还贷款本息,贷款经办行将发出催交通知书,要求借款人立即补付所欠的贷款本息及逾期罚息。逾期罚息的计算以逾期金额为基数,按照人民银行公布的逾期贷款罚息率,自逾期之日起每日计收。
一十五六、建筑面积的定义
建筑面积,简而言之,是指建筑物外墙(柱)勒脚以上各层外围的水平投影面积之和。这涵盖了阳台、挑廊、地下室以及室外楼梯等部分。同时,它也要求这些建筑必须具备上盖,结构稳固,且层高达到或超过2.20米,以确保其永久性。
十七、计算全部建筑面积的规则(按国家规定共15条)
对于永久性结构的单层房屋,其建筑面积直接按照一层来计算;而多层房屋的建筑面积则是各层面积的总和。
夹层、插层、技术层以及楼梯、电梯间等,只要其高度超过2.20米,都将被计入建筑面积。
穿过房屋的通道,以及房屋内的门厅、大厅,都按照一层来计算面积。若门厅、大厅内的回廊部分高度超过2.20米,则其水平投影面积也将被计入。
楼梯间、电梯井(如观光梯)、垃圾道、管道井等,其面积将根据房屋的自然层数来计算。
房屋天面上的永久性建筑,如楼梯间、冰箱间、电梯机房等,以及斜面结构屋顶高度超过2.20米的部位,都将按照其外围水平投影面积来计算。
挑楼和全封闭的阳台,其建筑面积同样按照外围水平投影面积来计算。
对于有上盖的室外楼梯,其建筑面积将根据各层水平投影面积来计算;而无顶盖的室外楼梯,则只计算各层水平投影面积的一半。
与房屋相连的有柱走廊,以及两房屋间有上盖和柱的走廊,其建筑面积都将按照柱的外围水平投影面积来计算。
建筑间永久性的封闭架空通廊,也将按照其外围水平投影面积来计算建筑面积。
10、对于地下室和半地下室,以及其相应的出入口,只要它们的层高超过2.20米,其建筑面积就会按照其外围水平投影面积来计算,但需排除采光井、防潮层和保护墙的面积。
11、有柱或围护结构的门廊、门斗,其面积将依据其柱或围护结构的外围水平投影来计算。
此外,如果玻璃幕墙、金属板幕墙、石材幕墙或组合幕墙被用作房屋的外围结构,并且幕墙框架突出主体结构的距离已有明确的设计数据或测量数据,那么建筑面积将按照幕墙的外围水平投影面积来计算。但在建筑施工图报建时,若还未设计相关数据,则幕墙框架突出主体结构的距离一律按150毫米进行计算,并在竣工后计算竣工面积时仍采用此数据。
13、对于房永久性建筑中带有柱的车棚和货棚,其建筑面积将根据柱的外围水平投影面积来计算。
14、在坡地建筑中,若利用吊脚作为架空层且设有围护结构,那么其超出2.20米高度部分的外围水平面积将被计入建筑面积。
15、若房屋存在伸缩缝,且与室内相通,则该伸缩缝的面积将被计入建筑面积。
接下来,我们来看哪些部分的建筑面积只需计算一半:
18、无柱的外走廊和檐廊,其面积将按照顶盖水平投影面积的一半来计算。
19、独立柱的雨篷、单排柱的车棚、货棚和站台等,同样按照其顶盖水平投影面积的一半来计算面积。
20、未封闭的阳台,则按照其水平投影面积的一半进行计算。
21、对于建筑物外有顶盖但无柱的走廊和檐廊,以及建筑物间有顶盖的无骨架空通廊,它们的面积也将按照投影面积的一半来计算。
一十六九、套内建筑面积的定义
套内建筑面积,也就是房层按套(单元)来计算的建筑面积,指的是套(单元)门内的面积总和,它涵盖了套内的实际使用面积、墙体所占的面积以及阳台的面积。
一十七十、公用建筑面积的解释
公用建筑面积,是指那些被各产权主体共同占有或共同使用的建筑面积。这些面积通常位于各套(单元)之外,为客户们共同享用,且不可分割。它可进一步细分为应分摊的公用建筑面积和无法分摊的公用建筑面积。
一十八十一、房屋销售面积的构成
在房屋按套(单元)出售的情况下,房屋的销售面积是指该套(单元)的建筑面积,这一面积由两部分组成:一是该套(单元)的实际使用面积,二是该套(单元)应合理分摊的公用建筑面积。
二十二、各套(单元)应分摊的公用面积计算方法
在房屋按套(单元)出售的情况下,各套(单元)应分摊的公用建筑面积可以通过以下公式进行计算:该套(单元)内的使用面积乘以应分摊的公用面积,再除以所有套(单位)的使用面积之和。
一十九十三、建筑容积率
建筑容积率是指小区内所有建筑物的总面积与小区占地面积的比值,通常以百分比形式表示。其计算公式为:建筑容积率 = (小区内总建筑之和的平方米数)÷(小区总占地面积的平方米数)× 100%。这一指标反映了小区内建筑物的密集程度。
二十四、居住建筑密度
居住建筑密度是指小区内所有居住建筑基地面积与小区居住总用地的比值,同样以百分比形式呈现。其计算方式为:居住建筑密度 = (小区内所有居住建筑基地面积之和的平方米数)÷(小区居住总用地面积的平方米数)× 100%。这一指标衡量了小区内居住建筑的分布密度。
二十一十五、住宅间距
住宅间距是指两栋住宅外墙皮之间的距离与前方住宅高度之间的比值,通常以与南面住宅的距离为准。这一指标对于确保住宅采光、通风和隐私具有重要意义。
二十二十六、层高
层高,即主要卧室的下一层结构顶面与上一层结构顶面之间的垂直距离,通常以米为单位进行测量。这一指标不仅影响住宅的舒适度,还对建筑的结构安全和空间利用效率有着重要影响。
二十三十七、套内使用面积
套内使用面积,即套内住户专享的空间面积,涵盖了卧室、厨房、卫生间、过厅、起居室以及内走道、阳台和壁柜等净面积的汇总。
二十四十八、套外使用面积
套外使用面积,即住宅公共区域的面积,涵盖了楼梯间、电梯间、公共走道以及公共用房等空间。
二十五十九、房地产开发
房地产开发是指在获得合法土地使用权的基础上,依据土地的使用性质和规划要求,进行包括基础设施和房屋建筑在内的综合性开发活动。这一过程涵盖了从项目选址到最终交付使用的所有环节,涉及征地拆迁、规划设计、水电气等市政设施建设、道路交通布局、绿化景观打造以及房屋建筑等多个专业领域。
二十六十、房地产开发的特点
房地产开发不仅周期长、投入大,还伴随着较高的投资风险。其收益则往往与市场的波动紧密相关,增值速度较快。然而,这也意味着投资者需要面对多种潜在风险,包括市场风险(如房价波动)、购买力风险(如通货膨胀导致购买力下降)、拖欠风险(如购房者财务问题导致的收款困难)以及自然灾害和意外事故带来的不可抗力风险。
二十七十一、房屋建筑与楼宇开发
在房地产开发过程中,房屋建筑与楼宇开发是不可或缺的一环。这涵盖了土地的准备工作,如“三通一平”或“七通一平”。其中,“三通一平”意味着供热、供电、供水等基础设施要到位,同时场地需要平整,为建筑工作做好基础准备。而“七通一平”则更为全面,它不仅包括道路、供热、供电、供水等基础设施,还涉及供煤气(天然气)、给排水、排污等更为复杂的系统,同样要求场地平整,为楼宇的顺利建设奠定坚实基础。
二十八十二、绿地率
绿地率,一个衡量居住区绿化水平的指标,其计算公式为:居住区绿地面积除以居住区用地总面积,再乘以100%。这一比率反映了居住区内的绿化程度,对于提升居住环境质量、促进生态平衡具有重要意义。
二十九十三、绿化率
绿化率,通过植被垂直投影面积与居住区总面积的比值来计算,乘以100%后得到百分比。这一指标同样用于衡量居住区的绿化程度,对优化居住环境、维护生态平衡具有深远影响。
三十四、开间
在住宅设计中,开间是指房屋内一面墙皮到另一面墙皮之间的实际距离,也就是自然间的宽度。这个指标不仅影响住宅的布局,还对结构的整体性、稳定性和抗震性有着至关重要的作用。通常,住宅的开间尺寸控制在3.0米至3.9米之间,而砖混结构的住宅则一般不超过3.3米。这样的规定有助于确保楼板的空间跨度在合理范围内,进而增强住宅的结构性能。
另一方面,大开间住宅,其开间尺寸超过5米,进深达到7米以上,能够为住户提供宽敞的居住空间,面积可达40至50平方米甚至更大。与相同建筑面积的小开间住宅相比,大开间住宅的承重墙减少了一半,而使用面积则增加了2%,这使得住户能够更加灵活地进行隔断和装修改造。
三十一十五、进深
进深,在建筑学中,被定义为从一间独立房屋或一幢居住建筑的前墙皮到后墙壁之间的实际长度。虽然增加进深可以节约土地资源,但为了确保住宅具备良好的自然采光和通风条件,其设计时必须遵循一定的规范,进深不宜过大。在我国,大多数城镇住宅的房间进深通常被控制在大约5米以内,以避免随意扩大。
三十六、地下室
地下室,指的是其房间地面低于室外地平面的高度超过该房间净高的1/2的部分。
三十二十七、半地下室
半地下室,顾名思义,是指其房间地面低于室外地平面的高度,介于该房间净高的1/3至1/2之间。
三十八、玄关
玄关,作为进入居室的第一道门槛,不仅是一个缓冲空间,更体现了居室的私密性。它巧妙地阻隔了外界的视线,使得室内的景象得以隐藏。通常,玄关与客厅相连,但两者的功能各异,因此需要运用装饰手法来巧妙划分。无论是回家还是外出,玄关都提供了便捷的服务,如放置雨伞、挂起雨衣、更换鞋子以及放置随身物品。同时,它还是接收邮件和简单会客的理想场所。
三十九、隔断
隔断,作为一种不到顶的半截立面,专门用于分隔室内空间。其设计灵活,可以根据需求来划分不同的功能区域。
四十、过道
过道,作为住宅套内使用的水平交通空间,连接着各个房间,方便人们通行。其设计应充分考虑使用的便捷性和空间的利用率。
三十三十一、已购公房
已购公房,也被称为售后公房,指的是个人购买的原公有住房。
三十四十二、单位产权房
单位产权房,即系统产权房或系统房,是指其产权归属于单位所有的房屋。
四十三、私房
私房,亦被称为私有住宅或私产住宅,是指由个人或家庭自行购买或建造的住宅。在乡村地区,农民的住宅多以自建私有住宅为主。当公有住房通过住宅消费市场售予个人和家庭后,这些住房便转变为私有住宅。
四十四、二手房
二手房,即已经经过一次交易的房产,通常指的是已经有人居住过的旧房。在房地产市场中,新建的商品房首次交易时被称为“一手房”,而再次或多次交易后,这些房产就被统称为“二手房”。通过二手房市场,那些没有房产的人有机会购买到别人多余的住房,而已经拥有小房子并希望改善居住条件的人,则可以通过出售旧房并购买新房来实现升级。同时,对于住房资源充裕的家庭来说,他们也可以选择出售多余住房来获取收益。
四十五、期房
期房,指的是从开发商获得商品房预售许可证开始,到取得房地产权证大产证为止,这一阶段内的商品房。在此期间,消费者若选择购买,需签订预售合同。这种购房方式在港澳地区被称为“买楼花”,如今已成为房地产开发商普遍采用的销售策略。购买期房,即意味着购房者正投资于尚在建设中的房地产项目。而在成都市,期房通常被定义为那些尚未完工、无法入住的房屋。
四十七、现房
现房,即指开发商已经获得房地产权证(大产证)的商品房。当消费者在此阶段购买时,需签订出售合同。在成都市,现房通常被定义为已竣工并可入住的房屋。
四十八、外销房
外销商品房,是指由房地产开发企业精心打造,并获得外销商品房预(销)售许可证的优质房源。这类房屋可自由出售给国内外(包括港、澳、台地区)的企业、组织及个人,为购房者提供了多样化的选择。
四十九、内销房
内销商品房,指由房地产开发企业精心打造并获得销售许可证的房源,这些房屋专为当地企事业单位和居民打造,提供符合特定需求的住宅选择。
五十、准现房
准现房,顾名思义,是指房屋主体结构已基本完工,小区轮廓清晰可见,房型、楼间距等关键因素一目了然。目前,这些房屋正处于内外墙装修及配套设施施工的阶段,为购房者提供了直观且实用的购房体验。
三十五十一、尾房
尾房,又被称为扫尾房,是房地产业进入散户零售时代的特有现象,属于空置房的一种。在商品住宅销售量达到80%之后,房地产项目通常会进入清盘销售阶段,此时所售的房产便称为尾房。这些尾房往往因各种原因而竞争力不足,例如朝向不佳、采光不足,或是楼层位置不佳、处于两端等。特别是一层的房屋,通常不带小花园且遮挡问题较为严重。
三十六十二、烂尾房
烂尾房,顾名思义,是指那些因开发商资金短缺、盲目开发或错误判断市场供需形势而导致的无法继续建设的楼盘。由于开发总量超出市场需求,这些楼盘往往陷入大面积空置的困境,不仅无法收回前期投资,更无法进行后续的开发建设,最终导致整个项目停滞不前。这类问题通常不会在房产销售初期显现,而是随着项目的逐步推进而逐渐暴露。
三十七十三、配套设施
配套设施,简而言之,就是与住宅规模或人口规模相匹配的公共服务设施、道路以及公共绿地的统称。这些设施的建设,旨在满足居民的基本生活需求,提升居住环境的舒适度。
五十四、均价
均价,即每平方米的平均销售价格,是通过将所有销售价格的单位建筑面积相加,再除以总面积来计算的。请注意,均价并不等同于实际销售价。
五十五、基价
基价,也被称为基础价,是经过精心核算所确定的每平方米商品房的基本价格。在商品房销售过程中,销售价通常以基价为基准,再根据楼层和朝向的差异进行相应的增减,从而得出最终的销售价格。
五十六、起价
起价,亦被称为起步价,代表着某物业各楼层销售价格中的最低水平。在多层住宅中,不带花园的房屋通常以一楼或顶楼的价格作为起价;而对于带花园的住宅,则常以二楼或五楼的销售价作为起点。在高层建筑中,最低层的销售价格即被设定为起步价。通过广告中的“×××元/平方米起售”等宣传语,开发商能够以更具吸引力的起价来吸引消费者的目光。
五十七、定金
定金,作为一种法律上的担保方式,旨在确保债务人履行其义务,从而保障债权人的权益。它是指双方当事人预先约定的,由一方向另一方交付的一定数额的货币。根据我国相关法律规定,定金必须以书面形式明确约定,并需在定金合同中明确交付期限。此类合同通常在房地产商获得销售许可证后,自实际交付定金之日起开始生效。值得注意的是,定金的数额并非随意设定,而应由双方当事人共同商定,且不得超过合同标的额的20%。在购房过程中,如果购房者因故改变主意而决定放弃购买,开发商有权根据违约条款不退还定金;而若开发商将已售房屋转售他人,则必须向购房者双倍返还定金。
五十八、订金
订金,有时也被称作诚意金,代表着当事人对履约的诚意。在购房过程中,它通常出现在购房者与发展商就房屋买卖达成初步意向之后,作为进一步协商签订正式合同的桥梁。订金约定了一个期限,在此期限内,买方享有优先购买权,而卖方则不得将房屋转售他人。若双方最终未能签署正式合同,订金将全额退还,以体现双方的诚意。在房地产销售中,订金往往是在正式开盘前,对有意向购买的客户进行收取的一种金额。若客户在房地产商未获得销售许可证前提出退订,房产商必须无条件退还订金。
五十九、违约金
违约金,作为违约方依法和依约应支付给对方的一定货币量,既是对违约方的经济制裁,也兼具惩罚性和补偿性,但主要侧重于惩罚。只要当事人出现违约行为且在主观上存在过错,不论是否给对方造成实际损失,都必须支付相应违约金。
六十、物业管理
物业管理,涵盖了房地产的开发、经营、商品房的销售、租赁以及售后服务等多个环节。
六十一、物业的竣工验收
物业的竣工验收,从物理形态上讲,标志着建筑商已经完成了其最终的产品,而开发商也已圆满完成了物业的开发任务。这一环节,实际上是一个法律上的必要手续,必须由相关方面共同参与并确认。
六十二、入住流程
业主在领取钥匙后,即可接房入住。
六十三、住宅类型
多层住宅是指四层至六层的住宅。
中高层住宅则是指七层至九层的住宅。
高层住宅则是十层及十层以上的住宅。
六十五、跃层住宅
跃层住宅是指套内空间跨越两楼层及以上的住宅。其特点是,卧室、起居室、客厅、卫生间、厨房等辅助用房都可以进行分层布置,且上下层之间的交通不经过公共楼梯,而是采用户内独用的小楼梯进行联接。这类住宅的采光面大,通风良好,居住面积和辅助面积宽敞,布局紧凑且功能明确,相互间的干扰较小。其设计理念借鉴了欧美小二楼独院住宅的精髓。
六十六、复式住宅....
复式住宅,这种经济型住宅的设计理念源于跃层式住宅,并在此基础上进行了创新。每户均拥有上下两层,通过在层高较高的楼层中增设一个1.2米的夹层,巧妙地利用了空间。虽然其两层合计的层高(3.3米)相较于跃层式住宅(5.6米)有所降低,但这样的设计不仅节省了资源,还提供了更为灵活的空间布局。通常,复式住宅的下层用于起居,而上层则专为休息和贮藏设计。通过精心的户内设计,如多处入墙式壁柜和楼梯,以及巧妙的地板布局,使得这种住宅既实用又具特色。
复式住宅非常适合三代、四代同堂的大家庭居住,其设计理念完美地融合了隔代人的相对独立与相互照应的需求。尽管复式住宅在设计施工和使用上存在一些不足,如面宽大、进深小、部分户型朝向不佳、自然通风采光较差,以及层高过低导致的隔音、防火功能不足,还有房间私密性和安全性不够理想等问题,但其精巧实用的特点仍然使得复式住宅成为一种性价比极高的住宅类型。
六十七、错层房型
错层式房型,亦被称为"多层面梯级跃升式住宅",其特色在于拥有两个或以上的层面,但并非简单的上下两层设计。在每套住宅的平面布局中,不同的功能区域被巧妙地安排在多个不同标高的平面上,从而创造出既富于变化又极具韵律感的视觉效果。这种独特的设计不仅提升了住宅的室内环境品质,还对房型设计师提出了更高的挑战。由于错层房型在提升高度和抗震性方面都有一定的要求,因此设计师在创作时必须综合考虑通风、采光等多重因素。此外,错层房型的设计灵感源于小别墅和公寓的空间变化,其创新之处在于推动了住房建设者对房型设计的更多思考,同时也激发了人们对房型与市场、结构安全等问题的深入探讨。
1.错层的设计应确保上下层之间的高度差异适中,通常以30至60厘米为宜。鉴于当前住宅的标准层高为2.8米,净高约2.62米,若错层高差超过60厘米,设计师需仔细考虑上部楼板结构梁或板底的高度,以避免给人带来压抑感或碰撞风险。
2.当错层的高差较大时,可以采用其他错层形式,例如“L”型错层,以更好地适应空间需求。
三十八十八、框架结构住宅
框架结构住宅是以钢筋混凝土为承重主体,辅以轻质板材进行隔墙分户装配而成的建筑形式。这种结构使得住宅在满足承重需求的同时,也具有良好的灵活性和可改造性。
六十九、砖混住宅
砖混结构住宅中的“砖”,主要指的是统一尺寸的建筑材料,尽管也存在其他尺寸的异型粘土砖,例如空心砖等。“混”则代表了由钢筋、水泥、砂石、水等按一定比例混合制成的钢筋混凝土配件,这些配件包括楼板、过梁、楼梯、阳台和挑檐,它们与砖砌的承重墙相结合,共同构成了砖混结构式住宅。值得注意的是,由于抗震的需求,砖混住宅通常被限制在5~6层以下。
七十、钢混结构住宅
钢混结构住宅的结构主体为钢筋混凝土,即钢筋、水泥、粗细骨料(如碎石)、水等材料的混合体。这种结构的住宅不仅抗震性能出色,整体性强,而且抗腐蚀能力强,经久耐用。此外,其房间的开间和进深相对较大,空间分割也更为自由。目前,这种结构被广泛应用于多高层住宅中。然而,其工艺相对复杂,建筑造价也相对较高。
声明:本文由入驻焦点开放平台的作者撰写,除焦点官方账号外,观点仅代表作者本人,不代表焦点立场。


