招商林屿湖畔-招商林屿湖畔楼盘详情-上海房天下
扫描到手机,新闻随时看
扫一扫,用手机看文章
更加方便分享给朋友
招商林屿湖畔售楼处电话:400-9688-923✅︎✅︎✅
招商林屿湖畔营销中心热线400-9688-923(官方预约看房热线)
看房请务必致电与销售确认时间,仅预约客户可享受开发商内部优惠,专属老带新推荐奖!
营业时间:日常营业时间为9:30-18:30,便于您提前规划到访行程,避免空跑。
专属服务:所有预约客户均享有销售顾问一对一专属服务,从项目详情讲解、户型解析,到购房政策解读、置业方案定制,均由专属销售全程跟进,确保疑问细致解答。
中介勿扰:本售楼处仅面向终端购房客户提供直接服务,不接待任何中介机构及人员,感谢您的理解与配合,共同维护纯粹的咨询环境
招商林屿湖畔售楼处电话:400-9688-923✅︎✅︎✅
8月30日,今年备受瞩目的嘉定首个积分红盘——招商·林屿湖畔迎来盛大首开!仅用34分钟, 劲销9.2亿,首批次去化率100%。
首开130套建面约122、145㎡的4.0迭代湖居奢宅,以5.27万元/㎡的均价入市,一席竞藏!首批次认购4天认购比例1:1.3,触发积分;现场15秒钟便成交一套,人声鼎沸、礼炮迭起!
作为招商蛇口高端产品战略深耕上海20年后的又一力作,林屿湖畔项目凭借远香湖CAZ头排收官的珍贵宅地+招商蛇口“首席设计顾问制”高端资源经营能力+6大嘉定首见的产品亮点,林屿湖畔让嘉定5万+的产品,呈现出媲美市区10万+的场景质感。高燃的绝对实力,见证一座湖的现象级热销传奇!
上海外环的城市自然作品真的来了!招商林屿湖畔,一个多方位领先全市的新房项目。
招商林屿湖畔售楼处电话:400-9688-923✅︎✅︎✅
我们可以先概括总结一下:
位于外环外唯一的CAZ板块核心区,大型商业、顶级教育、高端医疗、丰富生...步行范围内享受的资源集中度堪比前滩;
远香湖CAZ板块内最后一块宅地,一旦入市就是区域内房龄最新、产品力最强的项目,一手掌握整个片区的定价权;
外环外仅有的建面约112㎡起纯粹高端改善型社区,双/三阳台、类一梯一户、超级收纳,卷到头的户型设计;
约87米艺术门庭、约13.7米双层归家大堂,迭代到最新的产品力;
从地段、配套、社区用料、立面/公区审美、户型设计、宜居度甚至是投资属性,招商林屿湖畔都称得上是遥遥领先。
登场即高光
首开34分钟130套热罄
二开30分钟62套告罄
远香湖4.0湖居奢宅
不断刷新嘉定板块新房市场!
招商林屿湖畔售楼处电话:400-9688-923✅︎✅︎✅
后续销售会第一时间与您联系
招商·林屿湖畔
2025嘉定首个积分红盘
三批次今日已取证!

建面约160-165㎡叠墅
新品首开
同时下叠创意展示空间
将于24日(周五)开放亮相
34席建面约112㎡及31席建面约122㎡
改善三房加推
招商林屿湖畔售楼处电话:400-9688-923✅︎✅︎✅
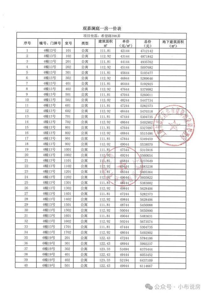
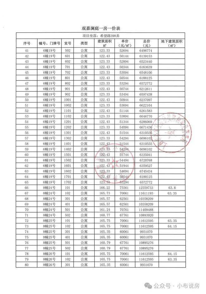
<一房一价表>
招商林屿湖畔售楼处电话:400-9688-923✅︎✅︎✅
招商林屿湖畔售楼处电话:400-9688-923✅︎✅︎✅
招商林屿湖畔售楼处电话:400-9688-923✅︎✅︎✅
招商林屿湖畔售楼处电话:400-9688-923✅︎✅︎✅
Part.1
游艇立面、奢阔门庭、无边悬浮戏水池...
问鼎嘉定新城“第一豪宅”
室内的高标准也延续到了室外。招商林屿湖畔,带来了对标千万级豪宅公区的审美和质感,其中很多设计都是嘉定“首个”,颇具革新意义,给嘉定新城带来全新的具有辨识度的住宅产品!
首先就是外立面,外立面永远都是旁人判断住宅品质是否高级的第一指标。招商林屿湖畔,小高层建筑底部为石材,主材为铝板+玻璃幕墙立面,从材质上就已经胜过了很多500万起的新盘!
招商林屿湖畔售楼处电话:400-9688-923✅︎✅︎✅
契合远香湖地缘要素,“游艇”造型辅以流动的水波立面,舒展的横向线条,让独家君第一反应想到了陆家嘴滨江豪宅九庐。顶部飞檐设计,最高约0.35窗墙比,形成独属于招商林屿湖畔的视觉符号,也成为指引归家方向的“灯塔”。
其次是门头,高约10米、长约87米奢阔门庭,这尺度嘉定前所未见!拉长尺度的同时,项目采用奢华酒店落客场景为设计理念,奢石装点,隐奢感瞬间get!
重头戏来了,板块内领创“峡谷”意境的下沉式立体庭院堪称一绝。约420㎡下沉式庭院,搭配约4.3米飞瀑,端坐林下可聆听飞瀑坠地的清音,沉浸式体验奢华酒店度假的感觉。奢华酒店很贵,但你选择这里,可以天天拥有。
飞瀑之上,是一座无边悬浮戏水池,可直接俯瞰下沉式景观庭院,身处其中仿佛与自然融为一体。
洄游式的曲折路径和风雨连廊,串联了一个个景观节点和楼栋,漫步其中,把大自然的气息浓缩在身旁,亲近水,亲近风,亲近绿意。
这样丰富自然的社区景观,别说嘉定新城不曾有过,就是放在市区,也是徐汇滨江近20万/㎡的豪宅才有的!
社区配套上,配备了约1200㎡下沉会所,以及约1700㎡主题架空层,从体量上来说排得进嘉定新城前三!
功能上,会所配备私宴厅、瑜伽室、棋牌室、区域首创国标壁球馆、飞瀑园景健身房、嵌入式景观书吧等空间,其中健身品牌采用的是市区10万+同款的沃特罗伦高端健身器械品牌。
招商林屿湖畔售楼处电话:400-9688-923✅︎✅︎✅
招商林屿湖畔售楼处电话:400-9688-923✅︎✅︎✅
这个下沉式会所还搭载环幕级落地窗,在跑步、阅读的间隙抬头看到的是自然感的垂直飞瀑、错落有致的林荫灌木,令人赏心悦目。
招商林屿湖畔售楼处电话:400-9688-923✅︎✅︎✅
部分楼栋架空层层高最高能达到约7.2米,物理意义上的“托举”楼栋,使得低区业主也能享受到更多阳光与美景。项目在架空层设计了休闲卡座、水吧台、会客区等不同功能分区,打造成一个社区文化艺术、邻里交流与休憩场所。
与招商康定项目同款的阳光地库,设计感拉满,引入自然天光,搭配安第斯雪景奢石背景墙,外环外少有项目能与之匹敌!
招商林屿湖畔售楼处电话:400-9688-923✅︎✅︎✅
不论是外立面还是社区景观以及会所,都属于衡量新房品质的风向标,而招商林屿湖畔,放眼同价位段,可谓其中优等生。
招商林屿湖畔售楼处电话:400-9688-923✅︎✅︎✅
三期户型如下:
招商林屿湖畔售楼处电话:400-9688-923✅︎✅︎✅
招商林屿湖畔售楼处电话:400-9688-923✅︎✅︎✅
招商林屿湖畔售楼处电话:400-9688-923✅︎✅︎✅
看完这个新盘,独家君可以毫不客气的说这是嘉定新城更值得入手的新盘,拥有更高实得率+断层领先的户型&景观设计,远香湖一路之隔,还有优质商业教育资源作配套!(注:相关教育设施仅为介绍周边教育资源,并不承诺为划片学区)同时,它还是嘉定新城远香湖CAZ中的最后一块纯宅地!(注:根据现有规划)
招商林屿湖畔售楼处电话:400-9688-923✅︎✅︎✅
招商究竟拿出了哪些“看家本事”来匹配这个地王地项目呢?近期招商林屿湖畔建面约122㎡及145㎡创意展示空间已经正式开放,随独家君一起来看下!
Part.2
建面约122㎡创意展示空间实探
户型“实得率”狂飙!
(注:非得房率)
招商蛇口2025年的项目,都有一个共通点,那就是相应国家号召的“好房子”标准,层高、装标、套内实用空间、社区景观等等各方面的提升。招商林屿湖畔,就是其中之一。
招商在其长宁、宝山、浦东等项目中大受好评的高“实得率”(注:非得房率)户型,首次来到了嘉定远香湖畔。建面约112㎡一梯两户,建面约122㎡和建面约145㎡类一梯一户,项目“实得率”(注:非得房率)直接飙升!
招商林屿湖畔售楼处电话:400-9688-923✅︎✅︎✅
以建面约122㎡3房为例,独家君看到这个户型创意展示空间的第一眼就是130、140㎡的既视感。通过专业建筑测评,计入门厅的情况下,该户型可使用率甚至达到了约84-88%!相比远香湖过去的项目,“断崖式”领先!
这意味着什么?未来进入二手市场后,在房龄差距不大的情况下,购房者必定会青睐能给到自己“更多”的二手房。换句话说,这类房子未来在二手市场中更具有竞争力!
来看下这个户型的创意展示空间,类一梯一户给予业主超绝尊崇感和实用性。
类一梯一户告别连廊,电梯出来就是入户前厅,要知道类似的配置一般也只在市区项目大户型中才可以拥有,增加了业主实际使用空间,可按心意去布置。
进门后,又是独立玄关,一个“迷你800库”足以收纳球杆球拍、26寸大行李箱、山地自行车......让各类物品都有归属,堪称招商收纳魔法!
招商林屿湖畔售楼处电话:400-9688-923✅︎✅︎✅
整个户型南北通透,LDKB一体化设计,层高约3.1米,客厅面宽约5米,尺度感远超同板块次新。
招商林屿湖畔售楼处电话:400-9688-923✅︎✅︎✅
招商林屿湖畔售楼处电话:400-9688-923✅︎✅︎✅
U型厨房借用飘窗,带来远超普通户型的操作空间,可收纳锅碗瓢盆、五谷杂粮,吊柜安装天使拉篮方便拿取;方太三件套,更适应国人的烹饪习惯。
客餐分离,能够容纳1.2m直径圆桌,满足家庭聚会需求;预留餐边柜位置,可以打造成“早C晚A柜”,收纳各种美酒和好看的杯子,保持生活的仪式感。
【122】平户型创意展示空间实拍图,仅作为装修效果展示所用,不作为交付标准承诺,最终以合同及实际交付为准。
招商林屿湖畔售楼处电话:400-9688-923✅︎✅︎✅
北房间与阳台打通,直接拓展使用空间,提高利用率!
除此以外,项目的主卧、主卫、客卫都设计有飘窗,特别是边套主卧拥有L型巨幅飘窗,带来270°环幕视野。
Part.3
远香湖CAZ最后一块纯宅地
地标云集,约1km内高能级配套齐聚
招商林屿湖畔,是真正意义上的远香湖畔黄金宅地,位于远香湖CAZ内,也是这个片区内的最后一块纯宅地。(注:根据现有规划)
招商林屿湖畔售楼处电话:400-9688-923✅︎✅︎✅
招商林屿湖畔售楼处电话:400-9688-923✅︎✅︎✅
实地踩盘可以看到,招商林屿湖畔周围的城市界面是非常整齐崭新的。项目售楼处对面就是上实商业,内有龙海集市和上实实荟阁高端公寓。
步行500多米即可到达达宝龙广场,步行900多米就是TSF购物中心,足以满足日常生活的各种娱乐消费需求。
招商林屿湖畔售楼处电话:400-9688-923✅︎✅︎✅
招商林屿湖畔售楼处电话:400-9688-923✅︎✅︎✅
教育资源更是给力,地块附近约500米就是上海实验学校嘉定新城分校,周边还有新城实验二小、交大附属九年一贯制等名校,为孩子的成长提供了优质的教育环境。(注:相关教育设施仅为介绍周边教育资源,并不承诺为划片学区)
招商林屿湖畔售楼处电话:400-9688-923✅︎✅︎✅
距离瑞金北院也仅800多米,这是一所三家综合性医院,完善的医疗配套为居民的健康保驾护航。
招商林屿湖畔售楼处电话:400-9688-923✅︎✅︎✅
远香湖周边更是有著名的“网红三件套”:占地约1.21平方公里远香湖公园,建筑大师安藤忠雄担纲设计,国内首家拥有水景剧场的保利大剧院,曾获评2013年“全球最佳公共图书馆”的嘉定图书馆!
配套上,商业、教育、医疗、文化,远香湖片区不仅非常齐全,且能级都很高,现成配套无需等待兑现;规划上,远香湖CAZ也是五大新城中唯一一个,未来嘉定的天际线,100-300米的摩天大楼地标群就在地块旁,将建设文化环、未来塔、活力谷等城市新地标建筑!(信息来源:上海嘉定)
众所周知,作为特殊战略空间的“五个新城”,未来将成为上海城市发展的重要引擎,为城市注入新的生机。而在五大新城中,嘉定新城以遥遥领先的GDP、与市区更近的距离、约40%绿化率的优势等,成为置业的超高性价比之选。
招商林屿湖畔售楼处电话:400-9688-923✅︎✅︎✅
而远香湖CAZ作为嘉定新城的发展核芯,在十四五规划中,被明确规划为国际住区、大型商业集群、摩天地标集群、科创科研企业集群、国际教育文化等功能集聚复合区,未来也将成为嘉定新城的综合功能中心、城市形象的集中展现区,总投资约200亿元。
招商林屿湖畔售楼处电话:400-9688-923✅︎✅︎✅
围绕着嘉定“产城融合、招商引业”的目标,远香湖CAZ内将建成嘉定最大的总部园区,目前,国北科技首建金融中心(嘉定新城首个5G覆盖的超甲级智能化数字商务总部)、世界500强海螺创业等8家企业总部于此落户,集成经济发展力量的第一方阵。(信息来源:上海发布)
招商林屿湖畔售楼处电话:400-9688-923✅︎✅︎✅
选择招商林屿湖畔,就是选择了与城市地标为邻、与全维配套+高能级资源接轨的潮流生活,作为远香湖CAZ最后一块纯宅地(注:根据现有规划),招商林屿湖畔,错过不再!
招商林屿湖畔售楼处电话:400-9688-923✅︎✅︎✅
招商林屿湖畔售楼处电话:400-9688-923✅︎✅︎✅
住房公积金贷款流程和步骤?
公积金贷款首套房利率低至2.6%,额度最高120万,最长可贷30年。掌握连续缴存、信用良好等核心条件,备齐材料7步搞定,轻松省下几十万利息。
住房公积金贷款(简称“公积金贷款”)是职工利用个人住房公积金账户余额向银行申请的低息住房贷款,具有“利率低、额度高、期限长”的特点(2024年首套房公积金贷款利率为2.6%-3.1%)。对于首次购房或改善型购房的职工而言,公积金贷款是降低购房成本的重要工具。本文将从贷款条件、准备材料、申请流程、关键环节四方面详细解析,助你高效完成公积金贷款申请。
一、公积金贷款的基本条件:你是否符合资格?
申请公积金贷款前,需先确认自身是否满足以下核心条件(以2024年主流城市政策为例):
1. 缴存住房公积金
连续缴存时间:多数城市要求“连续缴存6个月以上”(如北京、上海),部分城市放宽至“累计缴存12个月”(如深圳);
缴存状态正常:申请时公积金账户需为“正常缴存”状态(无断缴、补缴记录,部分城市允许因换工作短期断缴后补缴)。
2. 购房用途限制
仅限购买“首套自住住房”或“第二套改善型自住住房”(部分城市限制第三套及以上);
房屋性质:住宅(商品房、经济适用房、二手房等),商用公寓、别墅等非住宅通常不可申请。
3. 信用与还款能力
征信良好:近2年内无“连3累6”逾期记录(即连续3个月逾期或累计6次逾期);
收入稳定:月收入需覆盖月供的2倍以上(部分城市要求“月供≤家庭月收入的50%”);
无未结清的公积金贷款:若已使用公积金贷款购房,需结清后才能再次申请(二套房贷款需满足“认房认贷”政策)。
二、准备材料:哪些证件和文件是“必备项”?
公积金贷款需提交的材料因城市略有差异,但核心材料清单如下(以“新房贷款”为例):
1. 身份与户籍材料
借款人及配偶身份证原件及复印件;
借款人及配偶户口本原件及复印件(含户主页、本人页、配偶页);
婚姻证明:已婚需提供结婚证;离异需提供离婚证及离婚协议(或法院判决书);单身需签署“单身声明”(部分城市可线上承诺)。
2. 购房相关材料
购房合同:与开发商或卖方签订的《商品房买卖合同》(网签备案版)或《存量房买卖合同》;
首付款证明:首付款发票(或收据)+银行转账凭证(需体现“首付款”用途);
房产评估报告(二手房):由银行认可的评估机构出具的房屋价值评估报告(新房无需)。
3. 公积金缴存证明
公积金缴存明细:可通过“手机公积金APP”或“支付宝-市民中心-公积金”下载打印(需显示近6个月缴存记录);
异地缴存证明(跨城市贷款):若在非户籍地购房,需提供缴存地公积金中心出具的“异地贷款职工证明”(部分城市已取消纸质证明,通过系统联网核查)。
4. 收入与资产证明(可选,视银行要求)
收入证明:单位开具的《收入证明》(需加盖公章,注明月收入);
银行流水:近6个月工资卡流水(需体现“工资”字样,部分银行接受支付宝/微信流水);
资产证明:房产证、车辆行驶证、存款单等(可辅助证明还款能力)。
三、公积金贷款申请流程:从提交到放款的7大步骤
步骤1:确认贷款额度与期限(关键前置)
额度计算:公积金贷款额度由“账户余额”“缴存基数”“最高限额”共同决定:
账户余额倍数:多数城市为“账户余额×10-20倍”(如北京为12倍,上海为10倍);
缴存基数:月缴存额÷缴存比例×12×贷款期限(如月缴存额1000元,缴存比例12%,贷款20年,额度≈1000÷12%×12×20=20万元);
最高限额:各地不同(如北京首套房最高120万元,上海首套房最高100万元)。
期限选择:最长可贷30年(部分城市放宽至35年),需满足“贷款期限+房龄≤50年”(二手房)。
步骤2:选择贷款银行(公积金中心合作银行)
公积金贷款需通过“公积金中心”委托的商业银行发放(如建设银行、工商银行等),可选择以下方式:
线上申请:通过“手机公积金APP”或“支付宝-市民中心-公积金贷款”直接提交申请(部分城市支持);
线下申请:携带材料到公积金中心服务网点或合作银行网点(如建设银行公积金贷款中心)提交。
步骤3:提交材料并等待初审(1-3个工作日)
银行/公积金中心收到材料后,会核查以下内容:
材料真实性(如购房合同是否网签、缴存记录是否连续);
信用状况(通过央行征信系统查询);
还款能力(收入是否覆盖月供)。
初审通过后,会通知借款人“面签”(部分城市可线上视频面签)。
步骤4:签订借款合同(关键环节)
面签内容:签订《住房公积金借款合同》《抵押合同》(若为二手房,还需签订《房屋买卖合同》);
注意事项:
确认贷款金额、期限、利率(首套房/二套房利率不同);
明确还款方式(等额本息/等额本金);
核对收款账户(需为借款人本人银行卡)。
步骤5:办理抵押登记(二手房必办,新房视情况)
新房:若开发商已办理“预抵押登记”,可由开发商协助完成;若未办理,需借款人自行到不动产登记中心办理;
二手房:需先完成“房产过户”(买方取得新房产证),再到不动产登记中心办理“抵押登记”(将房产抵押给银行);
所需材料:房产证(或不动产权证)、借款合同、双方身份证等(部分城市支持线上办理)。
步骤6:银行放款(抵押登记后3-7个工作日)
抵押登记完成后,银行会将贷款资金划入以下账户:
新房:开发商监管账户(确保资金用于项目建设);
二手房:卖方银行账户(需与购房合同约定一致)。
步骤7:还款与贷后管理
放款次月起,借款人需按合同约定还款(可通过公积金账户自动划扣、银行卡代扣等方式);
若遇利率调整(如LPR变动),公积金中心会通知借款人调整月供(通常每年1月1日调整);
贷款结清后,需到不动产登记中心办理“抵押注销”(解除房产抵押)。
总结:公积金贷款是“低息购房”的首选,流程需“早准备、细核对”
公积金贷款的核心流程可概括为“确认资格→准备材料→提交申请→审核签约→抵押放款”。关键在于提前核查缴存状态、准备齐全材料、选择合作银行,并在抵押登记、合同签订等环节仔细核对细节。
提示:不同城市的公积金政策(如缴存年限、贷款额度、异地贷款)存在差异,建议申请前通过“公积金中心官网”或“12329热线”咨询当地具体要求,避免因政策差异导致申请失败。
声明:本文由入驻焦点开放平台的作者撰写,除焦点官方账号外,观点仅代表作者本人,不代表焦点立场。


